batgrbproduct Analysis for Trigger=530689

Analysis Summary

Notes:

======================================================================
                  BAT GRB EVENT DATA PROCESSING REPORT
    Process Script Ver: batgrbproduct v2.46
    Process Start Time (local time): Mon Jan 13 01:42:57 EST 2014
             Host Name: batevent1
   Current Working Dir: /local/data/batevent/batevent_reproc/trigger530689
======================================================================

  Trigger: 00530689      Segment: 000

  BAT Trigger Time: 366392101.696   [s; MET]
      Trigger Stop: 366392102.72   [s; MET]
               UTC: 2012-08-11T15:34:52.170040    [includes UTCF correction] 
       Where From?: TDRSS position message

  BAT 
    RA: 199.709572292913   Dec: 62.2913515948821  [deg; J2000]

     Catalogged Source?: NO
     Point Source?:      YES
     GRB Indicated?:     YES    [ by BAT flight software ]
     Image S/N Ratio:    12.6
     Image Trigger?:     NO
     Rate S/N Ratio:     22.8910462845192  [ if not an image trigger ]
     Image S/N Ratio:    12.6

  Flight Position:   [ source = BAT ]
    RA: 199.709572292913   Dec: 62.2913515948821  [deg; J2000]

  Ground Position:   [ source = BAT pre-slew burst ]
    RA: 199.691572640752   Dec: 62.2970895444334  [deg; J2000]  
        { 13h 18m 46.0s , +62d 17' 49.5" }
         +/- 0.55783317115792 [arcmin] (estimated 90% radius based on SNR)
         +/- 0.162278695238235 [arcmin] (formal 1-sigma fit error)
    SNR: 70.0253105067732
 
  Angular difference between Flight and Ground position is 0.608808 arcmin
 
  Partial Coding Fraction: 0.890625    [ including projection effects ]

  Duration
     T90: 24.3439999222755 +/- 3.05592145665642
        Measured from: -4.01199996471405
                   to: 20.3319999575615     [s; relative to TRIGTIME]
     T50: 7.07199990749359 +/- 0.495628927585199
        Measured from: 2.52400004863739
                   to: 9.59599995613098     [s; relative to TRIGTIME]



  Fluence
     Peak Flux  (peak 1 second)
        Measured from: 5.26800000667572     
                   to: 6.26800000667572     [s; relative to TRIGTIME]
     Total Fluence        
        Measured from: -9.67599999904633     
                   to: 31.3880000114441     [s; relative to TRIGTIME]
     
             Band 1     Band 2     Band 3     Band 4
              15-25      25-50     50-100    100-350     keV
 Total     2.028852   2.230797   1.140891   0.153598
           0.037779   0.040201   0.036573   0.036458 [error]
 Peak      0.159384   0.194819   0.119972   0.017493
           0.007435   0.008088   0.007071   0.005946 [error]

     [ fluence units of on-axis counts / fully illuminated detector ] 

======================================================================
 
=== Fluence/Peak Flux Summary ===
 
              Model    Band1    Band2    Band3    Band4    Band5    Total      
                       15-25    25-50   50-100  100-350   15-150   15-350   keV
Fluence   Power-law 6.71e-07 9.15e-07 9.20e-07 1.68e-06 3.05e-06 4.18e-06   erg/cm2
              Error 3.30e-08 2.55e-08 3.85e-08 1.53e-07 8.72e-08 1.81e-07   erg/cm2
Peak flux Power-law 1.62e+00 1.39e+00 8.09e-01 7.06e-01 4.12e+00 4.52e+00   ph/cm2/s
              Error 1.33e-01 7.13e-02 5.92e-02 1.03e-01 2.12e-01 2.28e-01   ph/cm2/s
 
Fluence   Cutoff-PL 5.96e-07 9.57e-07 9.15e-07 6.68e-07 2.85e-06 3.14e-06   erg/cm2
              Error 4.22e-08 3.05e-08 4.21e-08 2.20e-07 1.13e-07 2.54e-07   erg/cm2
Peak flux Cutoff-PL 1.44e+00 1.49e+00 8.30e-01 3.05e-01 3.96e+00 4.06e+00   ph/cm2/s
              Error 1.60e-01 8.90e-02 6.60e-02 1.32e-01 2.26e-01 2.66e-01   ph/cm2/s
 
Fluence        Band 5.78e-07 9.62e-07 8.94e-07 1.08e-06 2.86e-06 3.52e-06   erg/cm2
              Error 4.56e-08 3.31e-08 4.56e-08 -------- 1.10e-07 --------   erg/cm2
Peak flux      Band 1.45e+00 1.48e+00 8.31e-01 3.21e-01 3.98e+00 4.08e+00   ph/cm2/s
              Error -------- -------- -------- -------- -------- --------   ph/cm2/s
 
=== Time-averaged spectral analysis ===
 
Model Ph_index Ph_90err Epeak  Epeak_90err Norm     Nomr_90err chi2   dof
PL    1.991    0.056    -      -           8.05e-03 2.39e-04   65.950 57
CPL   1.331    0.269      47.3    5.0      1.76e-02 5.70e-03   45.520 56
 
 
=== 1-s peak spectral analysis ===
 
Model Ph_index Ph_90err Epeak  Epeak_90err Norm     Nomr_90err chi2   dof
PL    1.777    0.092    -      -           3.02e-02 1.68e-03   62.100 57
CPL   1.020    0.417      60.1   13.2      7.61e-02 4.08e-02   50.670 56
 
Model      : spectral model: simple power-law (PL) and cutoff power-law (CPL)
Ph_index   : photon index: E^-{Ph_index} (minus sign is not included in the index)
Ph_90err   : 90% error of the photon index
Epeak      : Epeak in keV
Epeak_90err: 90% error of Epeak
Norm       : normalization at 50 keV in PL model and at 1 keV in CPL model
Nomr_90err : 90% error of the normalization
chi2       : Chi-Squared
dof        : degree of freedom
 
=== T90/T50 calculation in the 50-300 keV band (BATSE band) using 64 ms lc ===
 
T90 in the 50-300 keV band: 16.896000 sec.
T50 in the 50-300 keV band: 5.824000 sec.
 
=== Table of the duration information ==
 
        Value   tstart    tstop
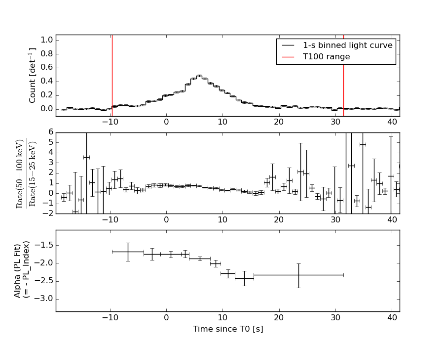
T100   41.064   -9.676   31.388
T90    24.344   -4.012   20.332
T50     7.072    2.524    9.596
Peak    1.000    5.268    6.268
  • Click here for the BAT GCN circular template
  • Special notes of this burst

    Image

    Pre-slew 15.0-350.0 keV image (Event data)

    #   RAcent    DECcent   POSerr    Theta     Phi              Peak Cts       SNR   Name
      199.6916    62.2971   0.0027    21.2378   159.5756         4.7735500     70.025 TRIG_00530689                 
     
    Foreground time interval of the image:
     -9.676  12.205 (delta_t =  21.881 [sec])
    Background time interval of the image:
    -427.295 -408.540 (delta_t =  18.755 [sec])
    -239.696  -9.676 (delta_t = 230.020 [sec])
    

    Lightcurves

    Notes:

    1 s binning

    From T0-310 s to T0+310 s
    From T100_start - 20 s to T100_end + 30 s
    Full time interval

    64 ms binning

    Full time interval
    From T100_start to T100_end
    From T0-5 sec to T0+5 sec

    16 ms binning

    From T100_start-5 s to T100_start+5 s
    Blue+Cyan dotted lines: Time interval of the scaled map
    From 0.000000 to 1.024000
    

    8 ms binning

    From T100_start-3 s to T100_start+3 s
    Blue+Cyan dotted lines: Time interval of the scaled map
    From 0.000000 to 1.024000
    

    2 ms binning

    From T100_start-1 s to T100_start+1 s
    Blue+Cyan dotted lines: Time interval of the scaled map
    From 0.000000 to 1.024000
    

    SN=5 or 10 sec. binning (whichever binning is satisfied first)

    SN=5 or 10 sec. binning (T < 200 sec)

    Quad-rate summed light curves (from T0-300s to T0+1000s)

    Spectral Evolution

    Spectra

    Notes:

    Time averaged spectrum fit using the average DRM

    Power-law model
    Time interval is from   -9.676 sec. to   31.388 sec.
     
    Spectral model in power-law:
    ------------------------------------------------------------
    Parameters  : value       lower 90%   higher 90%
    Photon index: 1.99143     ( -0.0561722   0.0566533 )
    Norm@50keV  : 8.04955E-03    ( -0.000239251   0.000238326 )
    ------------------------------------------------------------
    #Fit statistic : Chi-Squared =          65.95 using 59 PHA bins.
    # Reduced chi-squared =          1.157 for     57 degrees of freedom 
    # Null hypothesis probability =   1.950401e-01
     
    Photon flux (15-150 keV)    in 41.06 sec: 1.20270 ( -0.0361069  0.0362706 ) ph/cm2/s
    Energy fluence (15-150 keV)             : 3.04663e-06 ( -8.70764e-08  8.73256e-08 ) ergs/cm2
     
    
    Cutoff power-law model
    Time interval is from   -9.676 sec. to   31.388 sec.
    Spectral model in the cutoff power-law:
    ------------------------------------------------------------
    Parameters  : value       lower 90%   higher 90%
    Photon index: 1.33096     ( -0.277669   0.260572 )
    Epeak [keV] : 47.3123      ( -4.70882 5.24831 )
    Norm@50keV  : 1.76156E-02    ( -0.00460376   0.00678916 )
    ------------------------------------------------------------
    #Fit statistic : Chi-Squared =          45.52 using 59 PHA bins.
    # Reduced chi-squared =         0.8129 for     56 degrees of freedom 
    # Null hypothesis probability =   8.402219e-01
     
    Photon flux (15-150 keV)    in 41.06 sec: 1.13659 ( -0.043  0.04328 ) ph/cm2/s
    Energy fluence (15-150 keV)             : 2.84559e-06 ( -1.12944e-07  1.13942e-07 ) ergs/cm2
     
    
    Band function
    Time interval is from   -9.676 sec. to   31.388 sec.
     
    Spectral model in the Band function:
    ------------------------------------------------------------
    Parameters  : value       lower 90%   higher 90%
    alpha       : -1.13605   ( -0.365249   0.533791 )
    beta        : -2.43422    ( -0.808421   0.239848 )
    Epeak [keV] : 44.6268      ( -5.7929 5.79261 )
    Norm@50keV   : 2.29537E-02    ( -0.00842525   0.0254864 )
    ------------------------------------------------------------
    #Fit statistic : Chi-Squared =          43.70 using 59 PHA bins.
    # Reduced chi-squared =         0.7946 for     55 degrees of freedom 
    # Null hypothesis probability =   8.635891e-01
     
    Photon flux (15-150 keV)    in 41.06 sec:  (    ) ph/cm2/s
    Energy fluence (15-150 keV)             : 2.85758e-06 ( -2.8573e-06  -1.10928e-07 ) ergs/cm2
     
    
    Single BB
     
    Spectral model blackbody:
    ------------------------------------------------------------
    Parameters  : value    Lower 90%  Upper 90%
    kT [keV]    : 11.6394  (  )
    R^2/D10^2   : 0.291193  (   )
    (R is the radius in km and D10 is the distance to the source in units of 10 kpc)
    ------------------------------------------------------------
    #Fit statistic : Chi-Squared =         218.38 using 59 PHA bins.
    # Reduced chi-squared =         3.8313 for     57 degrees of freedom 
    # Null hypothesis probability =   9.882221e-21
     
    Energy  Fluence     90% Error
    [keV]   [erg/cm2]   [erg/cm2]
    15- 25  3.415e-07   1.747e-08
    25- 50  1.036e-06   3.203e-08
    50-150  8.267e-07   5.440e-08
    15-150  2.205e-06   5.789e-08
    
    Thermal bremsstrahlung (OTTB)
     
     
    Spectral model: thermal bremsstrahlung
    ------------------------------------------------------------
    Parameters  : value         Lower 90%    Upper 90%
    kT [keV]    : 74.6599       (-6.66383      7.74663)
    Norm        : 5.58703       (-0.277037     0.295797)
    ------------------------------------------------------------
    #Fit statistic : Chi-Squared =          45.43 using 59 PHA bins.
    # Reduced chi-squared =         0.7970 for     57 degrees of freedom 
    # Null hypothesis probability =   8.651715e-01
     
    Energy  Fluence     90% Error
    [keV]   [erg/cm2]   [erg/cm2]
    15- 25  5.922e-07   2.505e-08
    25- 50  9.583e-07   2.669e-08
    50-150  1.290e-06   8.705e-08
    15-150  2.840e-06   8.582e-08
    
    Double BB
     
     
    Spectral model: bbodyrad<1> + bbodyrad<2>
    ------------------------------------------------------------
    Parameters  : value         Lower 90%    Upper 90%
    kT1 [keV]   : 6.39262        (-0.915203      0.985985)
    R1^2/D10^2  : 1.84144        (-0.683913      1.36727)
    kT2 [keV]   : 18.8504        (-2.26577      3.4673)
    R2^2/D10^2  : 3.29623E-02    (-0.0169054   0.0251218)
    ------------------------------------------------------------
    #Fit statistic : Chi-Squared =          56.95 using 59 PHA bins.
    # Reduced chi-squared =          1.035 for     55 degrees of freedom 
    # Null hypothesis probability =   4.023365e-01
     
    Energy  Fluence     90% Error
    [keV]   [erg/cm2]   [erg/cm2]
    15- 25  5.420e-07   5.789e-08
    25- 50  9.638e-07   7.678e-08
    50-150  1.242e-06   1.359e-07
    15-150  2.748e-06   2.620e-07
    

    Peak spectrum fit

    Power-law model
    Time interval is from    5.268 sec. to    6.268 sec.
     
    Spectral model in power-law:
    ------------------------------------------------------------
    Parameters  : value       lower 90%   higher 90%
    Photon index: 1.77651     ( -0.0915318   0.0930843 )
    Norm@50keV  : 3.01951E-02    ( -0.00169052   0.00167843 )
    ------------------------------------------------------------
    #Fit statistic : Chi-Squared =          62.10 using 59 PHA bins.
    # Reduced chi-squared =          1.089 for     57 degrees of freedom 
    # Null hypothesis probability =   2.995141e-01
     
    Photon flux (15-150 keV)    in 1 sec: 4.12353 ( -0.212073  0.212292 ) ph/cm2/s
    Energy fluence (15-150 keV)             : 2.78243e-07 ( -1.59984e-08  1.61154e-08 ) ergs/cm2
     
    
    Cutoff power-law model
    Time interval is from    5.268 sec. to    6.268 sec.
    Spectral model in the cutoff power-law:
    ------------------------------------------------------------
    Parameters  : value       lower 90%   higher 90%
    Photon index: 1.01966     ( -0.43709   0.39746 )
    Epeak [keV] : 60.0748      ( -8.36932 18.0877 )
    Norm@50keV  : 7.61234E-02    ( -0.0288086   0.052776 )
    ------------------------------------------------------------
    #Fit statistic : Chi-Squared =          50.67 using 59 PHA bins.
    # Reduced chi-squared =         0.9049 for     56 degrees of freedom 
    # Null hypothesis probability =   6.760537e-01
     
    Photon flux (15-150 keV)    in 1 sec: 3.96417 ( -0.22603  0.22625 ) ph/cm2/s
    Energy fluence (15-150 keV)             : 2.60351e-07 ( -1.8051e-08  1.8333e-08 ) ergs/cm2
     
    
    Band function
    Time interval is from    5.268 sec. to    6.268 sec.
     
    Spectral model in the Band function:
    ------------------------------------------------------------
    Parameters  : value       lower 90%   higher 90%
    alpha       : -1.01960   ( -0.357853   0.379318 )
    beta        : -10.0000    ( 10   1.77636e-15 )
    Epeak [keV] : 60.0616      ( -7.89251 18.0859 )
    Norm@50keV   : 7.61246E-02    ( -0.0287922   0.0528565 )
    ------------------------------------------------------------
    #Fit statistic : Chi-Squared =          50.67 using 59 PHA bins.
    # Reduced chi-squared =         0.9213 for     55 degrees of freedom 
    # Null hypothesis probability =   6.405193e-01
     
    Photon flux (15-150 keV)    in 1 sec: 3.97511 (    ) ph/cm2/s
    Energy fluence (15-150 keV)             : 2.60097e-07 ( 0  0 ) ergs/cm2
     
    
    Single BB
     
    Spectral model blackbody:
    ------------------------------------------------------------
    Parameters  : value    Lower 90%  Upper 90%
    kT [keV]    : 12.3587  (-0.74083  0.789652)
    R^2/D10^2   : 0.885053  (-0.181182   0.227326)
    (R is the radius in km and D10 is the distance to the source in units of 10 kpc)
    ------------------------------------------------------------
    #Fit statistic : Chi-Squared =         109.69 using 59 PHA bins.
    # Reduced chi-squared =         1.9245 for     57 degrees of freedom 
    # Null hypothesis probability =   3.441067e-05
     
    Energy  Fluence     90% Error
    [keV]   [erg/cm2]   [erg/cm2]
    15- 25  2.865e-08   2.610e-09
    25- 50  9.328e-08   5.595e-09
    50-150  8.733e-08   1.075e-08
    15-150  2.093e-07   1.270e-08
    
    Thermal bremsstrahlung (OTTB)
     
     
    Spectral model: thermal bremsstrahlung
    ------------------------------------------------------------
    Parameters  : value         Lower 90%    Upper 90%
    kT [keV]    : 108.296       (-20.885      24.7182)
    Norm        : 17.7314       (-1.17371     1.47117)
    ------------------------------------------------------------
    #Fit statistic : Chi-Squared =          52.02 using 59 PHA bins.
    # Reduced chi-squared =         0.9127 for     57 degrees of freedom 
    # Null hypothesis probability =   6.618317e-01
     
    Energy  Fluence     90% Error
    [keV]   [erg/cm2]   [erg/cm2]
    15- 25  4.632e-08   4.155e-09
    25- 50  8.134e-08   4.940e-09
    50-150  1.377e-07   4.085e-08
    15-150  2.654e-07   4.390e-08
    
    Double BB
     
     
    Spectral model: bbodyrad<1> + bbodyrad<2>
    ------------------------------------------------------------
    Parameters  : value         Lower 90%    Upper 90%
    kT1 [keV]   : 5.98899        (-1.18623      1.34121)
    R1^2/D10^2  : 7.28773        (-3.53781      9.09589)
    kT2 [keV]   : 18.8678        (-2.55556      3.88649)
    R2^2/D10^2  : 0.142830    (-0.0779398   0.12098)
    ------------------------------------------------------------
    #Fit statistic : Chi-Squared =          50.64 using 59 PHA bins.
    # Reduced chi-squared =         0.9208 for     55 degrees of freedom 
    # Null hypothesis probability =   6.416435e-01
     
    Energy  Fluence     90% Error
    [keV]   [erg/cm2]   [erg/cm2]
    15- 25  4.466e-08   1.186e-08
    25- 50  8.236e-08   1.395e-08
    50-150  1.284e-07   3.025e-08
    15-150  2.554e-07   5.275e-08
    

    Pre-slew spectrum (Pre-slew PHA with pre-slew DRM)

    Power-law model
     
    Spectral model in power-law:
    ------------------------------------------------------------
    Parameters  : value       lower 90%   higher 90%
    Photon index: 1.94291     ( -0.0507956   0.051157 )
    Norm@50keV  : 1.32114E-02    ( -0.000354636   0.000353585 )
    ------------------------------------------------------------
    #Fit statistic : Chi-Squared =          71.43 using 59 PHA bins.
    # Reduced chi-squared =          1.253 for     57 degrees of freedom 
    # Null hypothesis probability =   9.462917e-02
     
    Photon flux (15-150 keV)    in 21.88 sec: 1.93148 ( -0.0543608  0.0545901 ) ph/cm2/s
    Energy fluence (15-150 keV)             : 2.65962e-06 ( -6.99797e-08  7.0123e-08 ) ergs/cm2
     
    
    Cutoff power-law model
    Spectral model in the cutoff power-law:
    ------------------------------------------------------------
    Parameters  : value       lower 90%   higher 90%
    Photon index: 1.27029     ( -0.246933   0.233467 )
    Epeak [keV] : 51.7554      ( -4.24973 5.47113 )
    Norm@50keV  : 2.89943E-02    ( -0.0068018   0.00955058 )
    ------------------------------------------------------------
    #Fit statistic : Chi-Squared =          44.79 using 59 PHA bins.
    # Reduced chi-squared =         0.7998 for     56 degrees of freedom 
    # Null hypothesis probability =   8.589065e-01
     
    Photon flux (15-150 keV)    in 21.88 sec: 1.82480 ( -0.06354  0.06391 ) ph/cm2/s
    Energy fluence (15-150 keV)             : 2.49032e-06 ( -8.81764e-08  8.87015e-08 ) ergs/cm2
     
    
    Band function
     
    Spectral model in the Band function:
    ------------------------------------------------------------
    Parameters  : value       lower 90%   higher 90%
    alpha       : -1.04037   ( -0.366103   0.753681 )
    beta        : -2.36188    ( 2.3619   0.221329 )
    Epeak [keV] : 47.3524      ( -8.26423 7.08932 )
    Norm@50keV   : 3.96456E-02    ( -0.0147011   0.0821402 )
    ------------------------------------------------------------
    #Fit statistic : Chi-Squared =          42.67 using 59 PHA bins.
    # Reduced chi-squared =         0.7757 for     55 degrees of freedom 
    # Null hypothesis probability =   8.873688e-01
     
    Photon flux (15-150 keV)    in 21.88 sec:  (    ) ph/cm2/s
    Energy fluence (15-150 keV)             : 2.50134e-06 ( -2.50119e-06  -8.69511e-08 ) ergs/cm2
     
    

    S(25-50 keV) vs. S(50-100 keV) plot

    S(25-50 keV)  = 9.15e-07
    S(50-100 keV) = 9.20e-07
    

    T90 vs. Hardness ratio plot

    T90                                   = 24.3439999222755 sec.
    Hardness ratio (energy fluence ratio) = 1.00546
    

    Color vs. Color plot

    Count Ratio  (25-50 keV) / (15-25 keV) = 1.09954
    Count Ratio (50-100 keV) / (15-25 keV) = 0.562333
    

    Mask shadow pattern

    IMX = -3.642017794637605E-01, IMY = -1.356221535428241E-01
    

    TIME vs. PHA plot around the trigger time

    Blue+Cyan dotted lines: Time interval of the scaled map
    From 0.000000 to 1.024000
    

    TIME vs. DetID plot around the trigger time

    Blue+Cyan dotted lines: Time interval of the scaled map
    From 0.000000 to 1.024000
    

    100 us light curve (15-350 keV)

    Blue+Cyan dotted lines: Time interval of the scaled map
    From 0.000000 to 1.024000
    

    Spacecraft aspect plot

    Bright source in the pre-burst/pre-slew/post-slew images

    Pre-burst image of 15-350 keV band

    Time interval of the image:
    -427.295400 -408.540500
    -239.696000 -9.676000
     
    # RAcent  DECcent POSerr Theta    Phi  PeakCts   SNR AngSep     Name
    #  [deg]    [deg]    ['] [deg]  [deg]                   [']
    206.0618  21.8673    2.6  58.4 -171.7   5.2825   4.5 ------	UNKNOWN                       
    143.2927  28.6510    3.0  41.2  -98.0   4.2448   3.8 ------	UNKNOWN                       
    

    Pre-slew background subtracted image of 15-350 keV band

    Time interval of the image:
    -9.676000 12.204600
     
    # RAcent  DECcent POSerr Theta    Phi  PeakCts   SNR AngSep     Name
    #  [deg]    [deg]    ['] [deg]  [deg]                   [']
    199.6916  62.2971    0.2  21.2  159.6   4.7736  70.0 ------	UNKNOWN                       
    189.8005  19.7735    2.2  55.7 -153.7   1.5486   5.2 ------	UNKNOWN                       
    

    Post-slew image of 15-350 keV band

    Time interval of the image:
    55.404620 962.350700
     
    # RAcent  DECcent POSerr Theta    Phi  PeakCts   SNR AngSep     Name
    #  [deg]    [deg]    ['] [deg]  [deg]                   [']
    254.6205  35.4400   24.0  43.0  124.6  -1.0657  -0.5    9.9	Her X-1                       
     49.2633  60.3147    2.8  55.3    5.1   8.1982   4.1 ------	UNKNOWN                       
     94.1333  74.3180    3.3  35.0   -4.6   2.4068   3.5 ------	UNKNOWN                       
    215.1824  12.2801    2.6  51.2 -177.2   6.0958   4.5 ------	UNKNOWN                       
     88.4414  55.3760    2.6  50.7  -20.8   5.0558   4.4 ------	UNKNOWN                       
    
    Plot creation:
    Sat May 30 18:45:08 EDT 2015