batgrbproduct Analysis for Trigger=536502

Analysis Summary

Notes:

======================================================================
                  BAT GRB EVENT DATA PROCESSING REPORT
    Process Script Ver: batgrbproduct v2.46
    Process Start Time (local time): Tue Oct 23 16:06:46 EDT 2012
             Host Name: gcn5
   Current Working Dir: /local/data/raid16/prebascript_archive/trigger536502/GCN5_download_cron
======================================================================

  Trigger: 00536502      Segment: 000

  BAT Trigger Time: 372622096   [s; MET]
      Trigger Stop: 372622160   [s; MET]
               UTC: 2012-10-22T18:08:06.211480    [includes UTCF correction] 
       Where From?: TDRSS position message

  BAT 
    RA: 274.514964409207   Dec: -17.0953412624424  [deg; J2000]

     Catalogged Source?: YES
     Point Source?:      YES
     GRB Indicated?:     NO    [ by BAT flight software ]
     Image S/N Ratio:    5.81
     Image Trigger?:     YES
     Rate S/N Ratio:     0  [ if not an image trigger ]
     Image S/N Ratio:    5.81

  Flight Position:   [ source = BAT ]
    RA: 274.514964409207   Dec: -17.0953412624424  [deg; J2000]

  Ground Position:   [ source = BAT pre-slew burst ]
    RA: 274.422089830933   Dec: -17.1418618426101  [deg; J2000]  
        { 18h 17m 41.3s , -17d 08' 30.7" }
         +/- 4.01870184773982 [arcmin] (estimated 90% radius based on SNR)
         +/- 2.34848995147156 [arcmin] (formal 1-sigma fit error)
    SNR: 4.17002525200181
 
  Angular difference between Flight and Ground position is 6.012737 arcmin
 
  Partial Coding Fraction: 0.8203125    [ including projection effects ]

  Duration
     T90: 160 +/- 35.7770876399966
        Measured from: -70.9999998807907
                   to: 89.0000001192093     [s; relative to TRIGTIME]
     T50: 96 +/- 35.7770876399966
        Measured from: -54.9999998807907
                   to: 41.0000001192093     [s; relative to TRIGTIME]



  Fluence
     Peak Flux  (peak 1 second)
        Measured from: -63.5     
                   to: -62.5     [s; relative to TRIGTIME]
     Total Fluence        
        Measured from: -71     
                   to: 105     [s; relative to TRIGTIME]
     
             Band 1     Band 2     Band 3     Band 4
              15-25      25-50     50-100    100-350     keV
 Total     0.500635   1.042675   0.220547   0.111701
           0.110186   0.107020   0.093623   0.086108 [error]
 Peak      0.002471  -0.000033   0.003630   0.013744
           0.008655   0.008733   0.007571   0.007283 [error]

     [ fluence units of on-axis counts / fully illuminated detector ] 

======================================================================
 
=== Fluence/Peak Flux Summary ===
 
              Model    Band1    Band2    Band3    Band4    Band5    Total      
                       15-25    25-50   50-100  100-350   15-150   15-350   keV
Fluence   Power-law 1.93e-07 2.85e-07 3.14e-07 6.52e-07 9.91e-07 1.45e-06   erg/cm2
              Error 4.23e-08 4.70e-08 8.08e-08 3.23e-07 1.95e-07 4.17e-07   erg/cm2
Peak flux Power-law 3.73e-04 2.83e-03 1.90e-02 6.74e-01 6.78e-02 6.95e-01   ph/cm2/s
              Error 7.81e-02 4.14e-02 4.44e-02 7.41e-01 1.28e-01 7.67e-01   ph/cm2/s
 
Fluence   Cutoff-PL 1.16e-07 4.63e-07 1.57e-07 9.68e-10 7.37e-07 0.00e+00   erg/cm2
              Error 5.40e-08 7.82e-08 8.87e-08 6.09e-09 1.34e-07 0.00e+00   erg/cm2
Peak flux Cutoff-PL 1.59e-05 3.72e-04 8.01e-03 1.88e+00 4.96e-02 8.53e-01   ph/cm2/s
              Error 5.65e-02 3.73e-02 4.16e-02 1.96e+00 1.17e-01 0.00e+00   ph/cm2/s
 
Fluence        Band 0.00e+00 0.00e+00 0.00e+00 0.00e+00 0.00e+00 0.00e+00   erg/cm2
              Error 0.00e+00 0.00e+00 0.00e+00 0.00e+00 0.00e+00 0.00e+00   erg/cm2
Peak flux      Band 0.00e+00 0.00e+00 0.00e+00 0.00e+00 0.00e+00 0.00e+00   ph/cm2/s
              Error 0.00e+00 0.00e+00 0.00e+00 0.00e+00 0.00e+00 0.00e+00   ph/cm2/s
 
=== Time-averaged spectral analysis ===
 
Model Ph_index Ph_90err Epeak  Epeak_90err Norm     Nomr_90err chi2   dof
PL    0.000    0.000    -      -           0.00e+00 0.00e+00    0.000  0
CPL   0.000    0.000       0.0    0.0      0.00e+00 0.00e+00    0.000  0
 
The chi2 of BB fit is 67.68 which shows a significant improvement in the fit over a PL.
Check the BB fit.
 
=== 1-s peak spectral analysis ===
 
Model Ph_index Ph_90err Epeak  Epeak_90err Norm     Nomr_90err chi2   dof
PL    0.000    0.000    -      -           0.00e+00 0.00e+00    0.000  0
CPL   0.000    0.000       0.0    0.0      0.00e+00 0.00e+00    0.000  0
 
Model      : spectral model: simple power-law (PL) and cutoff power-law (CPL)
Ph_index   : photon index: E^-{Ph_index} (minus sign is not included in the index)
Ph_90err   : 90% error of the photon index
Epeak      : Epeak in keV
Epeak_90err: 90% error of Epeak
Norm       : normalization at 50 keV in PL model and at 1 keV in CPL model
Nomr_90err : 90% error of the normalization
chi2       : Chi-Squared
dof        : degree of freedom
 
=== T90/T50 calculation in the 50-300 keV band (BATSE band) using 64 ms lc ===
 
T90 in the 50-300 keV band: 0.000000 sec.
T50 in the 50-300 keV band: 0.000000 sec.
 
=== Table of the duration information ==
 
        Value   tstart    tstop
T100  176.000  -71.000  105.000
T90   160.000  -71.000   89.000
T50    96.000  -55.000   41.000
Peak    1.000  -63.500  -62.500
  • Click here for the BAT GCN circular template

    Image

    Pre-slew 15-350 keV image (Event data; bkg subtracted)

    #   RAcent  DECcent POSerr  Theta    Phi     Peak Cts     SNR  Name
      274.4221 -17.1419 0.0460   16.1   58.3       1.9224     4.2  TRIG_00536502       
    ------------------------------------------
     
    Foreground time interval of the image:
    -71.000 -56.963 (delta_t =  14.037 [sec])
    -56.000  52.360 (delta_t = 108.360 [sec])
     53.000 105.000 (delta_t =  52.000 [sec])
    Background time interval of the image:
    -119.000 -71.000 (delta_t =  48.000 [sec])
    

    Lightcurves

    Notes:

    1 s binning

    From T0-310 s to T0+310 s
    From T100_start - 20 s to T100_end + 30 s
    Full time interval

    64 ms binning

    Full time interval
    From T100_start to T100_end
    From T0-5 sec to T0+5 sec

    16 ms binning

    From T100_start-5 s to T100_start+5 s
    Blue+Cyan dotted lines: Time interval of the scaled map
    From 0.000000 to 64.000000
    

    8 ms binning

    From T100_start-3 s to T100_start+3 s
    Blue+Cyan dotted lines: Time interval of the scaled map
    From 0.000000 to 64.000000
    

    2 ms binning

    From T100_start-1 s to T100_start+1 s
    Blue+Cyan dotted lines: Time interval of the scaled map
    From 0.000000 to 64.000000
    

    SN=5 or 10 sec. binning (whichever binning is satisfied first)

    SN=5 or 10 sec. binning (T < 200 sec)

    The mask-weighted light curves based on cleaned DPHs

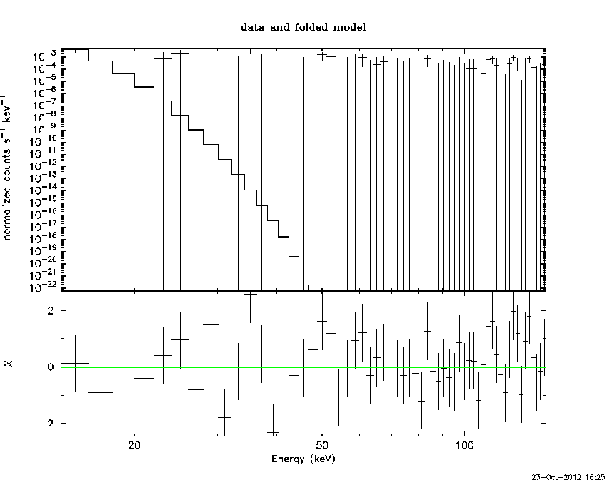
    Spectra

    Notes:

    Time averaged spectrum fit using the pre-slew DRM

    Power-law model
    Multiple GTIs in the spectrum
    tstart tstop
    -71.000000 -56.963300
    -56.000000 52.360000
    53.000000 105.000000
    XSPEC12>exit
     XSPEC: quit
     
     
    Spectral model in power-law:
    ------------------------------------------------------------
    Parameters  : value       lower 90%   higher 90%
    Photon index:      (     )
    Norm@50keV  :     (     )
    ------------------------------------------------------------
     
    Photon flux (15-150 keV)    in  sec: 8.72673E-02 ( -0.0143294  0.0143302 ) ph/cm2/s
    Energy fluence (15-150 keV)             : 0 ( 0  0 ) ergs/cm2
     
    
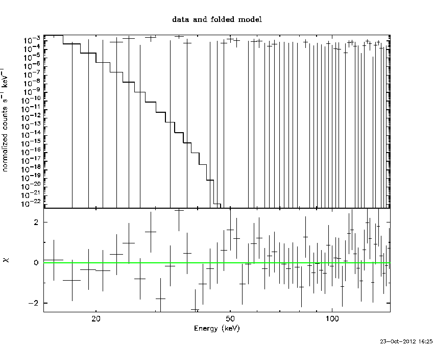
    Cutoff power-law model
    Multiple GTIs in the spectrum
    tstart tstop
    -71.000000 -56.963300
    -56.000000 52.360000
    53.000000 105.000000
     XSPEC: quit
     
     
    Spectral model in the cutoff power-law:
    ------------------------------------------------------------
    Parameters  : value       lower 90%   higher 90%
    Photon index:      (     )
    Epeak [keV] :       (   )
    Norm@50keV  :     (     )
    ------------------------------------------------------------
     
    Photon flux (15-150 keV)    in  sec: 7.64082E-02 ( -0.0137925  0.0140751 ) ph/cm2/s
    Energy fluence (15-150 keV)             : 0 ( 0  0 ) ergs/cm2
     
    
    Band function
    Multiple GTIs in the spectrum
    tstart tstop
    -71.000000 -56.963300
    -56.000000 52.360000
    53.000000 105.000000
    XSPEC12>exit
     XSPEC: quit
     
     
    Spectral model in the Band function:
    ------------------------------------------------------------
    Parameters  : value       lower 90%   higher 90%
    alpha       :    (     )
    beta        :     (     )
    Epeak [keV] :       (   )
    Norm@50keV   :     (     )
    ------------------------------------------------------------
     
    Photon flux (15-150 keV)    in  sec:  (    ) ph/cm2/s
    Energy fluence (15-150 keV)             : 0 ( 0  0 ) ergs/cm2
     
    
    Single BB
     
    Spectral model blackbody:
    ------------------------------------------------------------
    Parameters  : value    Lower 90%  Upper 90%
    kT [keV]    : 10.2357  (-1.213  1.40599)
    R^2/D10^2   : 4.27601E-02  (-0.016865   0.0264276)
    (R is the radius in km and D10 is the distance to the source in units of 10 kpc)
    ------------------------------------------------------------
    # Chi-Squared =          67.68 using 59 PHA bins.
    # Reduced chi-squared =          1.187 for     57 degrees of freedom 
    # Null hypothesis probability =   1.573467e-01
     
    Energy  Fluence     90% Error
    [keV]   [erg/cm2]   [erg/cm2]
    15- 25  1.603e-07   4.301e-08
    25- 50  4.118e-07   8.589e-08
    50-150  2.298e-07   9.247e-08
    15-150  8.019e-07   1.745e-07
    
    Thermal bremsstrahlung (OTTB)
     
     
    Spectral model: thermal bremsstrahlung
    ------------------------------------------------------------
    Parameters  : value         Lower 90%    Upper 90%
    kT [keV]    : 67.1477       (-23.2858      48.8564)
    Norm        : 0.449385       (-0.0970655     0.119072)
    ------------------------------------------------------------
    # Chi-Squared =          82.96 using 59 PHA bins.
    # Reduced chi-squared =          1.455 for     57 degrees of freedom 
    # Null hypothesis probability =   1.398584e-02
     
    Energy  Fluence     90% Error
    [keV]   [erg/cm2]   [erg/cm2]
    15- 25  2.001e-07   4.510e-08
    25- 50  3.148e-07   7.028e-08
    50-150  3.918e-07   2.194e-07
    15-150  9.067e-07   2.602e-07
    
    Double BB
     
     
    Spectral model: bbodyrad<1> + bbodyrad<2>
    ------------------------------------------------------------
    Parameters  : value         Lower 90%    Upper 90%
    kT1 [keV]   : 0.141191        (-0.141191      -0.141191)
    R1^2/D10^2  : 3.30031E-02        (-0.0330031      -0.0330031)
    kT2 [keV]   : 10.2353        (-1.21306      1.40594)
    R2^2/D10^2  : 4.27657E-02    (-0.016864   0.0264286)
    ------------------------------------------------------------
    # Chi-Squared =          67.68 using 59 PHA bins.
    # Reduced chi-squared =          1.231 for     55 degrees of freedom 
    # Null hypothesis probability =   1.171504e-01
     
    Energy  Fluence     90% Error
    [keV]   [erg/cm2]   [erg/cm2]
    15- 25  0.000e+00   0.000e+00
    25- 50  0.000e+00   0.000e+00
    50-150  0.000e+00   0.000e+00
    15-150  0.000e+00   0.000e+00
    

    Peak spectrum fit

    Power-law model
    Time interval is from  -63.500 sec. to  -62.500 sec.
    XSPEC12>exit
     XSPEC: quit
     
     
    Spectral model in power-law:
    ------------------------------------------------------------
    Parameters  : value       lower 90%   higher 90%
    Photon index:      (     )
    Norm@50keV  :     (     )
    ------------------------------------------------------------
     
    Photon flux (15-150 keV)    in  sec: 6.78496E-02 ( -0.0678496  0.18887 ) ph/cm2/s
    Energy fluence (15-150 keV)             : 0 ( 0  0 ) ergs/cm2
     
    
    Cutoff power-law model
    Time interval is from  -63.500 sec. to  -62.500 sec.
     XSPEC: quit
     
     
    Spectral model in the cutoff power-law:
    ------------------------------------------------------------
    Parameters  : value       lower 90%   higher 90%
    Photon index:      (     )
    Epeak [keV] :       (   )
    Norm@50keV  :     (     )
    ------------------------------------------------------------
     
    Photon flux (15-150 keV)    in  sec: 4.95876E-02 ( -0.0495876  0.184703 ) ph/cm2/s
    Energy fluence (15-150 keV)             : 3.58742e-13 ( 0  0 ) ergs/cm2
     
    
    Band function
    Time interval is from  -63.500 sec. to  -62.500 sec.
    XSPEC12>exit
     XSPEC: quit
     
     
    Spectral model in the Band function:
    ------------------------------------------------------------
    Parameters  : value       lower 90%   higher 90%
    alpha       :    (     )
    beta        :     (     )
    Epeak [keV] :       (   )
    Norm@50keV   :     (     )
    ------------------------------------------------------------
     
    Photon flux (15-150 keV)    in  sec:  (    ) ph/cm2/s
    Energy fluence (15-150 keV)             : 0 ( 0  0 ) ergs/cm2
     
    
    Single BB
     
    Spectral model blackbody:
    ------------------------------------------------------------
    Parameters  : value    Lower 90%  Upper 90%
    kT [keV]    : 0.673389  (-0.814148  2.27862)
    R^2/D10^2   : 3.73958E+08  (   )
    (R is the radius in km and D10 is the distance to the source in units of 10 kpc)
    ------------------------------------------------------------
    # Chi-Squared =          53.76 using 59 PHA bins.
    # Reduced chi-squared =         0.9431 for     57 degrees of freedom 
    # Null hypothesis probability =   5.974763e-01
     
    Energy  Fluence     90% Error
    [keV]   [erg/cm2]   [erg/cm2]
    15- 25  6.799e-10   6.220e-11
    25- 50  1.509e-14   3.911e-17
    50-150  0.000e+00   0.000e+00
    15-150  6.799e-10   6.210e-11
    
    Thermal bremsstrahlung (OTTB)
     
     
    Spectral model: thermal bremsstrahlung
    ------------------------------------------------------------
    Parameters  : value         Lower 90%    Upper 90%
    kT [keV]    : 0.775687       (      )
    Norm        : 1.19628E+08       (     )
    ------------------------------------------------------------
    # Chi-Squared =          53.71 using 59 PHA bins.
    # Reduced chi-squared =         0.9424 for     57 degrees of freedom 
    # Null hypothesis probability =   5.991249e-01
     
    Energy  Fluence     90% Error
    [keV]   [erg/cm2]   [erg/cm2]
    15- 25  6.477e-10   7.660e-11
    25- 50  2.389e-14   2.317e-15
    50-150  1.117e-25   0.000e+00
    15-150  6.477e-10   4.945e-11
    
    Double BB
    R1^2/D10^2  : 4.33543E+15        (      )
    kT2 [keV]   : 200.000        (      )
    R2^2/D10^2  : 5.30387E-05    (-5.30388e-05   7.01407e-05)
    ------------------------------------------------------------
    # Chi-Squared =          55.52 using 59 PHA bins.
    # Chi-Squared =          52.05 using 59 PHA bins.
    # Chi-Squared =          51.84 using 59 PHA bins.
    # Reduced chi-squared =          1.009 for     55 degrees of freedom 
    # Reduced chi-squared =         0.9463 for     55 degrees of freedom 
    # Reduced chi-squared =         0.9426 for     55 degrees of freedom 
    # Null hypothesis probability =   4.551880e-01
    # Null hypothesis probability =   5.881618e-01
    # Null hypothesis probability =   5.960338e-01
     
    Energy  Fluence     90% Error
    [keV]   [erg/cm2]   [erg/cm2]
    15- 25  6.905e-11   7.765e+09
    25- 50  5.866e-10   6.895e+10
    50-150  1.428e-08   1.598e+12
    15-150  1.493e-08   1.482e+12
    

    Pre-slew spectrum (Pre-slew PHA with pre-slew DRM)

    Power-law model
    XSPEC12>exit
     XSPEC: quit
     
     
    Spectral model in power-law:
    ------------------------------------------------------------
    Parameters  : value       lower 90%   higher 90%
    Photon index:      (     )
    Norm@50keV  :     (     )
    ------------------------------------------------------------
     
    Photon flux (15-150 keV)    in  sec: 8.72673E-02 ( -0.0143294  0.0143302 ) ph/cm2/s
    Energy fluence (15-150 keV)             : 0 ( 0  0 ) ergs/cm2
     
    
    Cutoff power-law model
     XSPEC: quit
     
     
    Spectral model in the cutoff power-law:
    ------------------------------------------------------------
    Parameters  : value       lower 90%   higher 90%
    Photon index:      (     )
    Epeak [keV] :       (   )
    Norm@50keV  :     (     )
    ------------------------------------------------------------
     
    Photon flux (15-150 keV)    in  sec: 7.64082E-02 ( -0.0137925  0.0140751 ) ph/cm2/s
    Energy fluence (15-150 keV)             : 0 ( 0  0 ) ergs/cm2
     
    
    Band function
    XSPEC12>exit
     XSPEC: quit
     
     
    Spectral model in the Band function:
    ------------------------------------------------------------
    Parameters  : value       lower 90%   higher 90%
    alpha       :    (     )
    beta        :     (     )
    Epeak [keV] :       (   )
    Norm@50keV   :     (     )
    ------------------------------------------------------------
     
    Photon flux (15-150 keV)    in  sec:  (    ) ph/cm2/s
    Energy fluence (15-150 keV)             : 0 ( 0  0 ) ergs/cm2
     
    

    S(25-50 keV) vs. S(50-100 keV) plot

    S(25-50 keV)  = 2.85289e-07
    S(50-100 keV) = 3.14328e-07
    

    T90 vs. Hardness ratio plot

    T90                                   = 160 sec.
    Hardness ratio (energy fluence ratio) = 1.10179
    

    Color vs. Color plot

    Count Ratio  (25-50 keV) / (15-25 keV) = 2.0827
    Count Ratio (50-100 keV) / (15-25 keV) = 0.440535
    

    Mask shadow pattern

    IMX = 1.518666326358280E-01, IMY = -2.456632472377230E-01
    

    TIME vs. PHA plot around the trigger time

    Blue+Cyan dotted lines: Time interval of the scaled map
    From 0.000000 to 64.000000
    

    TIME vs. DetID plot around the trigger time

    Blue+Cyan dotted lines: Time interval of the scaled map
    From 0.000000 to 64.000000
    

    100 us light curve (15-350 keV)

    Blue+Cyan dotted lines: Time interval of the scaled map
    From 0.000000 to 64.000000
    

    Spacecraft aspect plot

    Bright source in the pre-burst/pre-slew/post-slew images

    Pre-burst image of 15-350 keV band

    Time interval of the image:
    -119.000000 -71.000000
     
    # RAcent  DECcent POSerr Theta    Phi  PeakCts   SNR AngSep     Name
    #  [deg]    [deg]    ['] [deg]  [deg]                   [']
    244.9549 -15.6291    2.4  16.4  -63.4   0.1135   4.8    1.6	Sco X-1                       
    255.8042 -37.8185   20.5  13.2 -173.2   0.0123   0.6    8.8	4U 1700-377                   
    256.4773 -36.3407   12.0  11.6 -174.0   0.0209   1.0    5.3	GX 349+2                      
    262.9252 -24.8904    6.5   3.3   83.5   0.0389   1.8    9.8	GX 1+4                        
    264.5359 -44.5450    6.4  20.0  163.6   0.0407   1.8   10.5	4U 1735-44                    
    268.3814  -1.6032    3.7  25.0   16.4  -0.0788  -3.1    9.1	SW J1753.5-0127               
    270.1211 -24.9290    0.0   9.8   86.4  -0.0073  -0.3   12.6	GX 5-1                        
    270.1367 -25.7016    6.1   9.8   91.0  -0.0409  -1.9    9.3	GRS 1758-258                  
    274.0491 -14.1838   11.5  17.6   49.3  -0.0240  -1.0    9.2	GX 17+2                       
    276.0449 -30.5068    6.6  15.8  108.7  -0.0426  -1.7   10.4	H1820-303                     
    284.9806 -24.8862    9.8  23.2   89.7  -0.0344  -1.2    3.7	HT1900.1-2455                 
    288.6463  11.1125    0.0  46.1   36.4  -0.2538  -3.6   13.4	GRS 1915+105                  
    262.9285 -33.9816    4.6   9.5  156.1  -0.0548  -2.5    9.3	GX 354-0                      
    253.0082  25.0467    2.3  50.4  -12.9   0.2429   5.1 ------	UNKNOWN                       
    237.3314  22.6749    2.2  52.2  -31.4   0.3635   5.3 ------	UNKNOWN                       
    

    Pre-slew background subtracted image of 15-350 keV band

    Time interval of the image:
    -71.000000 -56.963300
    -56.000000 52.360000
    53.000000 105.000000
     
    # RAcent  DECcent POSerr Theta    Phi  PeakCts   SNR AngSep     Name
    #  [deg]    [deg]    ['] [deg]  [deg]                   [']
    244.9729 -15.6456    0.6  16.4  -63.4   8.9030  18.7    0.5	Sco X-1                       
    256.0356 -37.7794    2.5  13.1 -173.9   1.7811   4.6    4.5	4U 1700-377                   
    256.5976 -36.5703    7.7  11.8 -174.7   0.6054   1.5   11.8	GX 349+2                      
    262.8514 -24.6417   18.5   3.2   79.0   0.2656   0.6   10.6	GX 1+4                        
    264.5568 -44.2972    0.0  19.8  163.4  -0.3253  -0.8   12.2	4U 1735-44                    
    268.3101  -1.5840  137.3  25.0   16.2  -0.0377  -0.1    8.6	SW J1753.5-0127               
    270.4485 -25.1698    7.0  10.1   87.9   0.7226   1.6   10.5	GX 5-1                        
    270.4672 -25.8690    4.6  10.1   91.9   1.1410   2.5   11.7	GRS 1758-258                  
    273.8558 -14.1434    6.3  17.4   48.8  -0.8632  -1.8   10.8	GX 17+2                       
    275.7473 -30.2295    0.0  15.4  108.0   0.1001   0.2   12.4	H1820-303                     
    285.0616 -25.0566   15.1  23.3   90.2   0.4168   0.8    8.3	HT1900.1-2455                 
    288.7479  10.9453    4.7  46.0   36.6  -3.1973  -2.5    3.0	GRS 1915+105                  
    262.8104 -33.8309    4.3   9.3  156.4   1.0760   2.7    8.9	GX 354-0                      
    283.6550   8.5025    2.2  41.0   32.9   4.2470   5.2 ------	UNKNOWN                       
    270.9696  20.1860    2.5  46.6    9.6   3.8204   4.6 ------	UNKNOWN                       
    266.2555 -26.4397    2.1   6.4   99.0   2.3556   5.3 ------	UNKNOWN                       
    245.2931  28.7442    3.7  55.4  -20.5   4.8820   3.1 ------	UNKNOWN                       
    190.4402 -65.9982    4.7  58.7 -159.1   7.2687   2.5 ------	UNKNOWN                       
    231.3334  -4.2255    3.7  34.0  -62.4   2.0138   3.2 ------	UNKNOWN                       
    205.6110 -43.4646    2.9  47.2 -132.6   5.8897   3.9 ------	UNKNOWN                       
    194.6836 -54.0201    3.2  55.3 -145.2  10.7389   3.7 ------	UNKNOWN                       
    

    Post-slew image of 15-350 keV band

    Time interval of the image:
    503.300600 669.710000
    671.000000 682.200000
    686.000000 727.280000
    728.000000 728.475400
    730.000000 750.710000
    756.000000 963.047900
     
    # RAcent  DECcent POSerr Theta    Phi  PeakCts   SNR AngSep     Name
    #  [deg]    [deg]    ['] [deg]  [deg]                   [']
    244.9826 -15.6434    0.3  28.3  -86.4  23.5874  38.7    0.3	Sco X-1                       
    254.5732  35.4750    8.3  55.9  -14.6   2.3138   1.4    9.8	Her X-1                       
    255.9066 -37.8751    1.9  26.4 -140.6   2.7671   6.1    4.2	4U 1700-377                   
    256.4085 -36.4928    4.8  25.1 -139.1   1.0703   2.4    4.4	GX 349+2                      
    262.9374 -24.7104    4.3  13.2 -122.2   1.0760   2.7    4.4	GX 1+4                        
    264.7520 -44.3681   10.0  28.5 -160.3   0.4989   1.1    4.9	4U 1735-44                    
    268.3663  -1.4531    5.0  16.8  -16.7   0.8523   2.3    0.1	SW J1753.5-0127               
    270.3800 -25.0576    3.9   8.8 -150.0   1.1944   3.0    5.4	GX 5-1                        
    270.3413 -25.8893    5.1   9.6 -152.1   0.9235   2.3    9.0	GRS 1758-258                  
    273.8450 -13.9679    6.6   3.2   -6.4   0.7302   1.7   10.2	GX 17+2                       
    275.8265 -30.3356    3.5  13.3  180.0   1.2768   3.3    5.4	H1820-303                     
    285.1747 -24.7526   23.9  12.6  134.3  -0.1906  -0.5   12.6	HT1900.1-2455                 
    288.8163  10.9262    2.7  31.4   32.8   2.3119   4.3    1.6	GRS 1915+105                  
    263.1635 -33.8582    7.3  19.6 -145.9   0.6605   1.6    8.8	GX 354-0                      
    268.7198  17.5633    4.5  35.1   -4.6   1.3719   2.6 ------	UNKNOWN                       
    264.5447  33.5209    3.1  51.5   -5.6   3.4734   3.8 ------	UNKNOWN                       
    266.3018 -26.3940    0.8  12.0 -137.2   6.0112  14.8 ------	UNKNOWN                       
    266.5100 -32.1558    2.7  16.7 -150.9   1.7320   4.3 ------	UNKNOWN                       
    241.6395 -67.3138    2.6  54.5 -160.1   6.2612   4.5 ------	UNKNOWN                       
    239.7442 -64.9857    2.8  53.2 -157.5   5.0176   4.1 ------	UNKNOWN                       
    
    Plot creation:
    Tue Oct 23 16:26:52 EDT 2012