batgrbproduct Analysis for Trigger=556344

Analysis Summary

Notes:

======================================================================
                  BAT GRB EVENT DATA PROCESSING REPORT
    Process Script Ver: batgrbproduct v2.46
    Process Start Time (local time): Sun Jan 12 03:07:39 EST 2014
             Host Name: batevent1
   Current Working Dir: /local/data/batevent/batevent_reproc/trigger556344
======================================================================

  Trigger: 00556344      Segment: 000

  BAT Trigger Time: 390869367.36   [s; MET]
      Trigger Stop: 390869368.384   [s; MET]
               UTC: 2013-05-21T22:49:16.777540    [includes UTCF correction] 
       Where From?: TDRSS position message

  BAT 
    RA: 87.5593927071589   Dec: 14.4524334755583  [deg; J2000]

     Catalogged Source?: NO
     Point Source?:      YES
     GRB Indicated?:     YES    [ by BAT flight software ]
     Image S/N Ratio:    12.11
     Image Trigger?:     NO
     Rate S/N Ratio:     24.5153013442625  [ if not an image trigger ]
     Image S/N Ratio:    12.11

  Flight Position:   [ source = BAT ]
    RA: 87.5593927071589   Dec: 14.4524334755583  [deg; J2000]

  Ground Position:   [ source = BAT pre-slew burst ]
    RA: 87.5671644965006   Dec: 14.4708670445226  [deg; J2000]  
        { 05h 50m 16.1s , +14d 28' 15.1" }
         +/- 1.61520536666794 [arcmin] (estimated 90% radius based on SNR)
         +/- 0.760141059001048 [arcmin] (formal 1-sigma fit error)
    SNR: 15.3338131634135
 
  Angular difference between Flight and Ground position is 1.194633 arcmin
 
  Partial Coding Fraction: 0.671875    [ including projection effects ]

  Duration
     T90: 10.9559999704361 +/- 2.50452706799813
        Measured from: -0.328000009059906
                   to: 10.6279999613762     [s; relative to TRIGTIME]
     T50: 2.35999995470047 +/- 1.94983590135906
        Measured from: 0.472000002861023
                   to: 2.83199995756149     [s; relative to TRIGTIME]



  Fluence
     Peak Flux  (peak 1 second)
        Measured from: -0.136000037193298     
                   to: 0.863999962806702     [s; relative to TRIGTIME]
     Total Fluence        
        Measured from: -0.643999993801117     
                   to: 12.6399999856949     [s; relative to TRIGTIME]
     
             Band 1     Band 2     Band 3     Band 4
              15-25      25-50     50-100    100-350     keV
 Total     0.345609   0.317768   0.155107   0.034583
           0.027603   0.028142   0.023719   0.019499 [error]
 Peak      0.090310   0.085501   0.041724   0.011170
           0.008862   0.009196   0.007451   0.005254 [error]

     [ fluence units of on-axis counts / fully illuminated detector ] 

======================================================================
 
=== Fluence/Peak Flux Summary ===
 
              Model    Band1    Band2    Band3    Band4    Band5    Total      
                       15-25    25-50   50-100  100-350   15-150   15-350   keV
Fluence   Power-law 1.02e-07 1.31e-07 1.23e-07 2.05e-07 4.25e-07 5.60e-07   erg/cm2
              Error 1.39e-08 1.31e-08 2.24e-08 7.26e-08 5.10e-08 9.84e-08   erg/cm2
Peak flux Power-law 9.24e-01 6.33e-01 2.85e-01 1.78e-01 1.93e+00 2.02e+00   ph/cm2/s
              Error 1.43e-01 7.38e-02 5.87e-02 6.77e-02 2.21e-01 2.33e-01   ph/cm2/s
 
Fluence   Cutoff-PL 1.00e-07 1.35e-07 1.22e-07 1.31e-07 4.14e-07 4.88e-07   erg/cm2
              Error 1.48e-08 1.66e-08 2.42e-08 1.39e-07 5.81e-08 1.41e-07   erg/cm2
Peak flux Cutoff-PL 8.85e-01 6.76e-01 2.83e-01 8.89e-02 1.91e+00 1.93e+00   ph/cm2/s
              Error 1.58e-01 1.01e-01 6.52e-02 1.27e-01 2.24e-01 2.50e-01   ph/cm2/s
 
Fluence        Band 1.03e-07 1.34e-07 1.18e-07 1.79e-07 4.18e-07 5.35e-07   erg/cm2
              Error -------- 1.41e-08 -------- -------- -------- --------   erg/cm2
Peak flux      Band 8.88e-01 6.71e-01 2.86e-01 9.64e-02 1.91e+00 1.95e+00   ph/cm2/s
              Error -------- -------- -------- -------- -------- --------   ph/cm2/s
 
=== Time-averaged spectral analysis ===
 
Model Ph_index Ph_90err Epeak  Epeak_90err Norm     Nomr_90err chi2   dof
PL    2.088    0.193    -      -           3.45e-03 4.53e-04   50.700 57
CPL   1.862    0.493      25.0    0.0      4.68e-03 0.00e+00   50.370 56
 
 
=== 1-s peak spectral analysis ===
 
Model Ph_index Ph_90err Epeak  Epeak_90err Norm     Nomr_90err chi2   dof
PL    2.153    0.219    -      -           1.19e-02 1.87e-03   48.660 57
CPL   1.636    0.806      29.1   -1.9      2.40e-02 0.00e+00   47.520 56
 
Model      : spectral model: simple power-law (PL) and cutoff power-law (CPL)
Ph_index   : photon index: E^-{Ph_index} (minus sign is not included in the index)
Ph_90err   : 90% error of the photon index
Epeak      : Epeak in keV
Epeak_90err: 90% error of Epeak
Norm       : normalization at 50 keV in PL model and at 1 keV in CPL model
Nomr_90err : 90% error of the normalization
chi2       : Chi-Squared
dof        : degree of freedom
 
=== T90/T50 calculation in the 50-300 keV band (BATSE band) using 64 ms lc ===
 
T90 in the 50-300 keV band: 2.752000 sec.
T50 in the 50-300 keV band: 1.536000 sec.
 
=== Table of the duration information ==
 
        Value   tstart    tstop
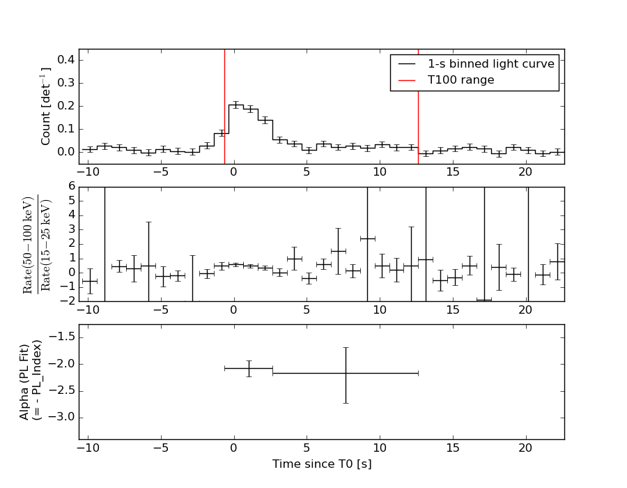
T100   13.284   -0.644   12.640
T90    10.956   -0.328   10.628
T50     2.360    0.472    2.832
Peak    1.000   -0.136    0.864
  • Click here for the BAT GCN circular template
  • Special notes of this burst

    Image

    Pre-slew 15.0-350.0 keV image (Event data)

    #   RAcent    DECcent   POSerr    Theta     Phi              Peak Cts       SNR   Name
       87.5672    14.4709   0.0125    22.9651   -82.6553         0.8141038     15.334 TRIG_00556344                 
     
    Foreground time interval of the image:
     -0.644  12.640 (delta_t =  13.284 [sec])
    Background time interval of the image:
    -210.659  -0.644 (delta_t = 210.015 [sec])
    

    Lightcurves

    Notes:

    1 s binning

    From T0-310 s to T0+310 s
    From T100_start - 20 s to T100_end + 30 s
    Full time interval

    64 ms binning

    Full time interval
    From T100_start to T100_end
    From T0-5 sec to T0+5 sec

    16 ms binning

    From T100_start-5 s to T100_start+5 s

    8 ms binning

    From T100_start-3 s to T100_start+3 s

    2 ms binning

    From T100_start-1 s to T100_start+1 s

    SN=5 or 10 sec. binning (whichever binning is satisfied first)

    SN=5 or 10 sec. binning (T < 200 sec)

    Quad-rate summed light curves (from T0-300s to T0+1000s)

    Spectral Evolution

    Spectra

    Notes:

    Time averaged spectrum fit using the average DRM

    Power-law model
    Time interval is from   -0.644 sec. to   12.640 sec.
     
    Spectral model in power-law:
    ------------------------------------------------------------
    Parameters  : value       lower 90%   higher 90%
    Photon index: 2.08788     ( -0.187755   0.198462 )
    Norm@50keV  : 3.44525E-03    ( -0.000457922   0.000447201 )
    ------------------------------------------------------------
    #Fit statistic : Chi-Squared =          50.70 using 59 PHA bins.
    # Reduced chi-squared =         0.8895 for     57 degrees of freedom 
    # Null hypothesis probability =   7.089609e-01
     
    Photon flux (15-150 keV)    in 13.28 sec: 0.538807 ( -0.0527837  0.0527904 ) ph/cm2/s
    Energy fluence (15-150 keV)             : 4.24608e-07 ( -5.04926e-08  5.15743e-08 ) ergs/cm2
     
    
    Cutoff power-law model
    Time interval is from   -0.644 sec. to   12.640 sec.
    Spectral model in the cutoff power-law:
    ------------------------------------------------------------
    Parameters  : value       lower 90%   higher 90%
    Photon index: 1.86176     ( -0.769822   0.216088 )
    Epeak [keV] : 24.9548      (   )
    Norm@50keV  : 4.68167E-03    (     )
    ------------------------------------------------------------
    #Fit statistic : Chi-Squared =          50.37 using 59 PHA bins.
    # Reduced chi-squared =         0.8994 for     56 degrees of freedom 
    # Null hypothesis probability =   6.871255e-01
     
    Photon flux (15-150 keV)    in 13.28 sec: 0.534263 ( -0.053255  0.053773 ) ph/cm2/s
    Energy fluence (15-150 keV)             : 4.14381e-07 ( -5.78118e-08  5.83112e-08 ) ergs/cm2
     
    
    Band function
    Time interval is from   -0.644 sec. to   12.640 sec.
     
    Spectral model in the Band function:
    ------------------------------------------------------------
    Parameters  : value       lower 90%   higher 90%
    alpha       : -1.98309   ( -4.35593   1.98321 )
    beta        : -9.37167    ( 9.3716   19.3716 )
    Epeak [keV] : 6.30936      ( -4.50017 -6.30545 )
    Norm@50keV   : 3.98852E-03    ( -0.000687131   0.000479931 )
    ------------------------------------------------------------
    #Fit statistic : Chi-Squared =          50.45 using 59 PHA bins.
    # Reduced chi-squared =         0.9173 for     55 degrees of freedom 
    # Null hypothesis probability =   6.487859e-01
     
    Photon flux (15-150 keV)    in 13.28 sec: 0.534263 (    ) ph/cm2/s
    Energy fluence (15-150 keV)             : 4.17843e-07 ( 0  0 ) ergs/cm2
     
    
    Single BB
     
    Spectral model blackbody:
    ------------------------------------------------------------
    Parameters  : value    Lower 90%  Upper 90%
    kT [keV]    : 9.00935  (-1.14754  1.31785)
    R^2/D10^2   : 0.361714  (-0.148737   0.256032)
    (R is the radius in km and D10 is the distance to the source in units of 10 kpc)
    ------------------------------------------------------------
    #Fit statistic : Chi-Squared =          78.33 using 59 PHA bins.
    # Reduced chi-squared =          1.374 for     57 degrees of freedom 
    # Null hypothesis probability =   3.195151e-02
     
    Energy  Fluence     90% Error
    [keV]   [erg/cm2]   [erg/cm2]
    15- 25  7.595e-08   1.404e-08
    25- 50  1.617e-07   2.219e-08
    50-150  6.188e-08   1.878e-08
    15-150  2.995e-07   3.785e-08
    
    Thermal bremsstrahlung (OTTB)
     
     
    Spectral model: thermal bremsstrahlung
    ------------------------------------------------------------
    Parameters  : value         Lower 90%    Upper 90%
    kT [keV]    : 57.8890       (-15.2092      23.6814)
    Norm        : 2.85279       (-0.468328     0.558602)
    ------------------------------------------------------------
    #Fit statistic : Chi-Squared =          51.79 using 59 PHA bins.
    # Reduced chi-squared =         0.9085 for     57 degrees of freedom 
    # Null hypothesis probability =   6.704600e-01
     
    Energy  Fluence     90% Error
    [keV]   [erg/cm2]   [erg/cm2]
    15- 25  9.464e-08   1.176e-08
    25- 50  1.424e-07   1.546e-08
    50-150  1.573e-07   4.510e-08
    15-150  3.943e-07   5.544e-08
    
    Double BB
     
     
    Spectral model: bbodyrad<1> + bbodyrad<2>
    ------------------------------------------------------------
    Parameters  : value         Lower 90%    Upper 90%
    kT1 [keV]   : 5.02382        (-1.13177      1.34884)
    R1^2/D10^2  : 2.71104        (-1.61865      5.11318)
    kT2 [keV]   : 18.5639        (-4.61226      8.3503)
    R2^2/D10^2  : 1.60612E-02    (-0.0121997   0.0206488)
    ------------------------------------------------------------
    #Fit statistic : Chi-Squared =          49.26 using 59 PHA bins.
    # Reduced chi-squared =         0.8956 for     55 degrees of freedom 
    # Null hypothesis probability =   6.928103e-01
     
    Energy  Fluence     90% Error
    [keV]   [erg/cm2]   [erg/cm2]
    15- 25  1.038e-07   4.485e-08
    25- 50  1.279e-07   4.265e-08
    50-150  1.761e-07   9.777e-08
    15-150  4.078e-07   1.440e-07
    

    Peak spectrum fit

    Power-law model
    Time interval is from   -0.136 sec. to    0.864 sec.
     
    Spectral model in power-law:
    ------------------------------------------------------------
    Parameters  : value       lower 90%   higher 90%
    Photon index: 2.15322     ( -0.210152   0.228189 )
    Norm@50keV  : 1.19360E-02    ( -0.00189673   0.00184138 )
    ------------------------------------------------------------
    #Fit statistic : Chi-Squared =          48.66 using 59 PHA bins.
    # Reduced chi-squared =         0.8537 for     57 degrees of freedom 
    # Null hypothesis probability =   7.762194e-01
     
    Photon flux (15-150 keV)    in 1 sec: 1.92872 ( -0.221082  0.221092 ) ph/cm2/s
    Energy fluence (15-150 keV)             : 1.11541e-07 ( -1.54492e-08  1.57531e-08 ) ergs/cm2
     
    
    Cutoff power-law model
    Time interval is from   -0.136 sec. to    0.864 sec.
    Spectral model in the cutoff power-law:
    ------------------------------------------------------------
    Parameters  : value       lower 90%   higher 90%
    Photon index: 1.63598     ( -0.990141   0.621463 )
    Epeak [keV] : 29.0944      ( -25.2868 -29.0943 )
    Norm@50keV  : 2.40157E-02    (     )
    ------------------------------------------------------------
    #Fit statistic : Chi-Squared =          47.52 using 59 PHA bins.
    # Reduced chi-squared =         0.8486 for     56 degrees of freedom 
    # Null hypothesis probability =   7.828199e-01
     
    Photon flux (15-150 keV)    in 1 sec: 1.90520 ( -0.22405  0.22402 ) ph/cm2/s
    Energy fluence (15-150 keV)             : 1.07204e-07 ( -1.64725e-08  1.7128e-08 ) ergs/cm2
     
    
    Band function
    Time interval is from   -0.136 sec. to    0.864 sec.
     
    Spectral model in the Band function:
    ------------------------------------------------------------
    Parameters  : value       lower 90%   higher 90%
    alpha       : -1.63605   ( -4.05779   1.97814 )
    beta        : -10.0000    ( 10   0 )
    Epeak [keV] : 29.0874      ( -10.8552 106.044 )
    Norm@50keV   : 2.40084E-02    ( -0.0115309   0.0678698 )
    ------------------------------------------------------------
    #Fit statistic : Chi-Squared =          47.52 using 59 PHA bins.
    # Reduced chi-squared =         0.8640 for     55 degrees of freedom 
    # Null hypothesis probability =   7.529782e-01
     
    Photon flux (15-150 keV)    in 1 sec: 1.91040 (    ) ph/cm2/s
    Energy fluence (15-150 keV)             : 1.07321e-07 ( 0  0 ) ergs/cm2
     
    
    Single BB
     
    Spectral model blackbody:
    ------------------------------------------------------------
    Parameters  : value    Lower 90%  Upper 90%
    kT [keV]    : 9.27493  (-1.29653  1.45199)
    R^2/D10^2   : 1.19215  (-0.511892   0.94202)
    (R is the radius in km and D10 is the distance to the source in units of 10 kpc)
    ------------------------------------------------------------
    #Fit statistic : Chi-Squared =          65.20 using 59 PHA bins.
    # Reduced chi-squared =          1.144 for     57 degrees of freedom 
    # Null hypothesis probability =   2.130501e-01
     
    Energy  Fluence     90% Error
    [keV]   [erg/cm2]   [erg/cm2]
    15- 25  2.026e-08   3.980e-09
    25- 50  4.512e-08   7.330e-09
    50-150  1.886e-08   5.995e-09
    15-150  8.424e-08   1.299e-08
    
    Thermal bremsstrahlung (OTTB)
     
     
    Spectral model: thermal bremsstrahlung
    ------------------------------------------------------------
    Parameters  : value         Lower 90%    Upper 90%
    kT [keV]    : 53.2779       (-14.4644      22.9275)
    Norm        : 10.6446       (-1.89853     2.48957)
    ------------------------------------------------------------
    #Fit statistic : Chi-Squared =          47.86 using 59 PHA bins.
    # Reduced chi-squared =         0.8397 for     57 degrees of freedom 
    # Null hypothesis probability =   8.003880e-01
     
    Energy  Fluence     90% Error
    [keV]   [erg/cm2]   [erg/cm2]
    15- 25  2.639e-08   4.125e-09
    25- 50  3.874e-08   5.210e-09
    50-150  3.989e-08   1.170e-08
    15-150  1.050e-07   1.708e-08
    
    Double BB
     
     
    Spectral model: bbodyrad<1> + bbodyrad<2>
    ------------------------------------------------------------
    Parameters  : value         Lower 90%    Upper 90%
    kT1 [keV]   : 4.21872        (-1.35667      1.83605)
    R1^2/D10^2  : 17.8709        (-13.0537      95.8191)
    kT2 [keV]   : 14.5405        (-3.21709      6.07983)
    R2^2/D10^2  : 0.158408    (-0.124155   0.305483)
    ------------------------------------------------------------
    #Fit statistic : Chi-Squared =          47.24 using 59 PHA bins.
    # Reduced chi-squared =         0.8590 for     55 degrees of freedom 
    # Null hypothesis probability =   7.621053e-01
     
    Energy  Fluence     90% Error
    [keV]   [erg/cm2]   [erg/cm2]
    15- 25  2.796e-08   1.471e-08
    25- 50  3.595e-08   1.731e-08
    50-150  3.871e-08   2.325e-08
    15-150  1.026e-07   4.140e-08
    

    Pre-slew spectrum (Pre-slew PHA with pre-slew DRM)

    Power-law model
     
    Spectral model in power-law:
    ------------------------------------------------------------
    Parameters  : value       lower 90%   higher 90%
    Photon index: 2.08788     ( -0.187755   0.198462 )
    Norm@50keV  : 3.44525E-03    ( -0.000457922   0.000447201 )
    ------------------------------------------------------------
    #Fit statistic : Chi-Squared =          50.70 using 59 PHA bins.
    # Reduced chi-squared =         0.8895 for     57 degrees of freedom 
    # Null hypothesis probability =   7.089609e-01
     
    Photon flux (15-150 keV)    in 13.28 sec: 0.538807 ( -0.0527837  0.0527904 ) ph/cm2/s
    Energy fluence (15-150 keV)             : 4.24608e-07 ( -5.04926e-08  5.15743e-08 ) ergs/cm2
     
    
    Cutoff power-law model
    Spectral model in the cutoff power-law:
    ------------------------------------------------------------
    Parameters  : value       lower 90%   higher 90%
    Photon index: 1.86176     ( -0.769822   0.216088 )
    Epeak [keV] : 24.9548      (   )
    Norm@50keV  : 4.68167E-03    (     )
    ------------------------------------------------------------
    #Fit statistic : Chi-Squared =          50.37 using 59 PHA bins.
    # Reduced chi-squared =         0.8994 for     56 degrees of freedom 
    # Null hypothesis probability =   6.871255e-01
     
    Photon flux (15-150 keV)    in 13.28 sec: 0.534263 ( -0.053255  0.053773 ) ph/cm2/s
    Energy fluence (15-150 keV)             : 4.14381e-07 ( -5.78118e-08  5.83112e-08 ) ergs/cm2
     
    
    Band function
     
    Spectral model in the Band function:
    ------------------------------------------------------------
    Parameters  : value       lower 90%   higher 90%
    alpha       : -1.98309   ( -4.35593   1.98321 )
    beta        : -9.37167    ( 9.3716   19.3716 )
    Epeak [keV] : 6.30936      ( -4.50017 -6.30545 )
    Norm@50keV   : 3.98852E-03    ( -0.000687131   0.000479931 )
    ------------------------------------------------------------
    #Fit statistic : Chi-Squared =          50.45 using 59 PHA bins.
    # Reduced chi-squared =         0.9173 for     55 degrees of freedom 
    # Null hypothesis probability =   6.487859e-01
     
    Photon flux (15-150 keV)    in 13.28 sec: 0.534263 (    ) ph/cm2/s
    Energy fluence (15-150 keV)             : 4.17843e-07 ( 0  0 ) ergs/cm2
     
    

    S(25-50 keV) vs. S(50-100 keV) plot

    S(25-50 keV)  = 1.31e-07
    S(50-100 keV) = 1.23e-07
    

    T90 vs. Hardness ratio plot

    T90                                   = 10.9559999704361 sec.
    Hardness ratio (energy fluence ratio) = 0.938931
    

    Color vs. Color plot

    Count Ratio  (25-50 keV) / (15-25 keV) = 0.919444
    Count Ratio (50-100 keV) / (15-25 keV) = 0.448793
    

    Mask shadow pattern

    IMX = 5.417203364954370E-02, IMY = 4.202798181786878E-01
    

    TIME vs. PHA plot around the trigger time

    TIME vs. DetID plot around the trigger time

    100 us light curve (15-350 keV)

    Spacecraft aspect plot

    Bright source in the pre-burst/pre-slew/post-slew images

    Pre-burst image of 15-350 keV band

    Time interval of the image:
    -210.659410 -0.644000
     
    # RAcent  DECcent POSerr Theta    Phi  PeakCts   SNR AngSep     Name
    #  [deg]    [deg]    ['] [deg]  [deg]                   [']
     83.6366  22.0178    0.4  31.0  -77.3   8.5240  28.9    0.3	Crab                          
    126.4361 -25.7633    2.9  32.3   99.5   1.4378   4.0 ------	UNKNOWN                       
     80.2897 -49.3385    2.7  51.2  159.7   4.0091   4.3 ------	UNKNOWN                       
    128.0260  49.1245    3.0  55.5  -20.3   2.4155   3.9 ------	UNKNOWN                       
    111.5837  53.0211    2.3  55.6  -33.7   5.6750   4.9 ------	UNKNOWN                       
     55.9775  -0.9222    2.3  47.6 -128.8   4.2925   4.9 ------	UNKNOWN                       
    

    Pre-slew background subtracted image of 15-350 keV band

    Time interval of the image:
    -0.644000 12.640000
     
    # RAcent  DECcent POSerr Theta    Phi  PeakCts   SNR AngSep     Name
    #  [deg]    [deg]    ['] [deg]  [deg]                   [']
     83.5246  21.9261    3.8  31.0  -77.6   0.2038   3.0    8.0	Crab                          
    137.2958 -12.4180    2.6  35.0   69.2   0.3945   4.4 ------	UNKNOWN                       
    149.7731  10.5896    2.5  47.7   34.0   0.6301   4.7 ------	UNKNOWN                       
     99.5743 -43.9954    2.7  42.0  144.7   0.4354   4.4 ------	UNKNOWN                       
     87.5671  14.4708    0.7  23.0  -82.7   0.8138  15.3 ------	UNKNOWN                       
    

    Post-slew image of 15-350 keV band

    Time interval of the image:
    153.740600 334.540600
     
    # RAcent  DECcent POSerr Theta    Phi  PeakCts   SNR AngSep     Name
    #  [deg]    [deg]    ['] [deg]  [deg]                   [']
     16.7415  55.4782    2.6  50.7  -44.5   3.8282   4.4 ------	UNKNOWN                       
    
    Plot creation:
    Sat May 30 16:49:45 EDT 2015