batgrbproduct Analysis for Trigger=572308

Analysis Summary

Notes:

======================================================================
                  BAT GRB EVENT DATA PROCESSING REPORT
    Process Script Ver: batgrbproduct v2.46
    Process Start Time (local time): Sat Jan 11 23:01:18 EST 2014
             Host Name: batevent1
   Current Working Dir: /local/data/batevent/batevent_reproc/trigger572308
======================================================================

  Trigger: 00572308      Segment: 000

  BAT Trigger Time: 402140204.224   [s; MET]
      Trigger Stop: 402140205.248   [s; MET]
               UTC: 2013-09-29T09:36:33.134240    [includes UTCF correction] 
       Where From?: TDRSS position message

  BAT 
    RA: 135.069036940592   Dec: -47.5650235881594  [deg; J2000]

     Catalogged Source?: NO
     Point Source?:      YES
     GRB Indicated?:     YES    [ by BAT flight software ]
     Image S/N Ratio:    7.91
     Image Trigger?:     NO
     Rate S/N Ratio:     11.916375287813  [ if not an image trigger ]
     Image S/N Ratio:    7.91

  Flight Position:   [ source = BAT ]
    RA: 135.069036940592   Dec: -47.5650235881594  [deg; J2000]

  Ground Position:   [ source = BAT pre-slew burst ]
    RA: 135.024383867106   Dec: -47.5563355147385  [deg; J2000]  
        { 09h 00m 05.9s , -47d 33' 22.8" }
         +/- 1.64196610130637 [arcmin] (estimated 90% radius based on SNR)
         +/- 0.723140109240809 [arcmin] (formal 1-sigma fit error)
    SNR: 14.9780493096766
 
  Angular difference between Flight and Ground position is 1.881589 arcmin
 
  Partial Coding Fraction: 0.4453125    [ including projection effects ]

  Duration
     T90: 12.2400000095367 +/- 4.05928065016228
        Measured from: -1.47999995946884
                   to: 10.7600000500679     [s; relative to TRIGTIME]
     T50: 4.04800003767014 +/- 1.11670942199236
        Measured from: 0.136000037193298
                   to: 4.18400007486343     [s; relative to TRIGTIME]



  Fluence
     Peak Flux  (peak 1 second)
        Measured from: 1.32400000095367     
                   to: 2.32400000095367     [s; relative to TRIGTIME]
     Total Fluence        
        Measured from: -1.92799997329712     
                   to: 12.4080000519753     [s; relative to TRIGTIME]
     
             Band 1     Band 2     Band 3     Band 4
              15-25      25-50     50-100    100-350     keV
 Total     0.388187   0.528107   0.258728  -0.022028
           0.037468   0.041196   0.039912   0.042177 [error]
 Peak      0.074948   0.062017   0.037513   0.013495
           0.010389   0.011578   0.011049   0.010855 [error]

     [ fluence units of on-axis counts / fully illuminated detector ] 

======================================================================
 
=== Fluence/Peak Flux Summary ===
 
              Model    Band1    Band2    Band3    Band4    Band5    Total      
                       15-25    25-50   50-100  100-350   15-150   15-350   keV
Fluence   Power-law 1.52e-07 2.11e-07 2.16e-07 4.04e-07 7.07e-07 9.83e-07   erg/cm2
              Error 2.10e-08 2.09e-08 3.70e-08 1.36e-07 8.53e-08 1.77e-07   erg/cm2
Peak flux Power-law 7.73e-01 5.60e-01 2.69e-01 1.82e-01 1.69e+00 1.78e+00   ph/cm2/s
              Error 1.89e-01 1.01e-01 9.10e-02 1.18e-01 2.98e-01 3.25e-01   ph/cm2/s
 
Fluence   Cutoff-PL 1.38e-07 2.36e-07 2.08e-07 9.45e-08 6.47e-07 6.76e-07   erg/cm2
              Error 2.41e-08 2.88e-08 4.42e-08 1.39e-07 9.24e-08 1.57e-07   erg/cm2
Peak flux Cutoff-PL 7.82e-01 5.59e-01 2.63e-01 1.73e-01 1.69e+00 1.78e+00   ph/cm2/s
              Error 1.89e-01 1.08e-01 8.79e-02 1.61e-01 2.97e-01 3.16e-01   ph/cm2/s
 
Fluence        Band 1.37e-07 2.34e-07 2.08e-07 9.71e-08 6.48e-07 6.79e-07   erg/cm2
              Error 2.29e-08 2.84e-08 4.29e-08 1.12e-07 9.07e-08 1.51e-07   erg/cm2
Peak flux      Band -------- -------- -------- -------- -------- --------   ph/cm2/s
              Error -------- -------- -------- -------- -------- --------   ph/cm2/s
 
=== Time-averaged spectral analysis ===
 
Model Ph_index Ph_90err Epeak  Epeak_90err Norm     Nomr_90err chi2   dof
PL    1.965    0.185    -      -           5.36e-03 6.69e-04   51.640 57
CPL   0.968    0.864      43.8   14.6      1.98e-02 3.10e-02   46.630 56
 
 
=== 1-s peak spectral analysis ===
 
Model Ph_index Ph_90err Epeak  Epeak_90err Norm     Nomr_90err chi2   dof
PL    2.059    0.370    -      -           1.10e-02 2.77e-03   76.400 57
CPL   2.112    0.000      62.5    0.0      9.99e-03 0.00e+00   76.290 56
 
Model      : spectral model: simple power-law (PL) and cutoff power-law (CPL)
Ph_index   : photon index: E^-{Ph_index} (minus sign is not included in the index)
Ph_90err   : 90% error of the photon index
Epeak      : Epeak in keV
Epeak_90err: 90% error of Epeak
Norm       : normalization at 50 keV in PL model and at 1 keV in CPL model
Nomr_90err : 90% error of the normalization
chi2       : Chi-Squared
dof        : degree of freedom
 
=== T90/T50 calculation in the 50-300 keV band (BATSE band) using 64 ms lc ===
 
T90 in the 50-300 keV band: 8.576000 sec.
T50 in the 50-300 keV band: 3.648000 sec.
 
=== Table of the duration information ==
 
        Value   tstart    tstop
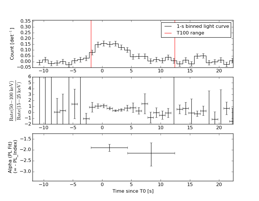
T100   14.336   -1.928   12.408
T90    12.240   -1.480   10.760
T50     4.048    0.136    4.184
Peak    1.000    1.324    2.324
  • Click here for the BAT GCN circular template
  • Special notes of this burst

    Image

    Pre-slew 15.0-350.0 keV image (Event data)

    #   RAcent    DECcent   POSerr    Theta     Phi              Peak Cts       SNR   Name
      135.0244   -47.5563   0.0128    42.5817     1.7264         1.2461214     14.978 TRIG_00572308                 
     
    Foreground time interval of the image:
     -1.928  12.408 (delta_t =  14.336 [sec])
    Background time interval of the image:
    -119.224  -1.928 (delta_t = 117.296 [sec])
    

    Lightcurves

    Notes:

    1 s binning

    From T0-310 s to T0+310 s
    From T100_start - 20 s to T100_end + 30 s
    Full time interval

    64 ms binning

    Full time interval
    From T100_start to T100_end
    From T0-5 sec to T0+5 sec

    16 ms binning

    From T100_start-5 s to T100_start+5 s
    Blue+Cyan dotted lines: Time interval of the scaled map
    From 0.000000 to 1.024000
    

    8 ms binning

    From T100_start-3 s to T100_start+3 s
    Blue+Cyan dotted lines: Time interval of the scaled map
    From 0.000000 to 1.024000
    

    2 ms binning

    From T100_start-1 s to T100_start+1 s
    Blue+Cyan dotted lines: Time interval of the scaled map
    From 0.000000 to 1.024000
    

    SN=5 or 10 sec. binning (whichever binning is satisfied first)

    SN=5 or 10 sec. binning (T < 200 sec)

    Quad-rate summed light curves (from T0-300s to T0+1000s)

    The mask-weighted light curves based on cleaned DPHs

    Spectral Evolution

    Spectra

    Notes:

    Time averaged spectrum fit using the average DRM

    Power-law model
    Time interval is from   -1.928 sec. to   12.408 sec.
     
    Spectral model in power-law:
    ------------------------------------------------------------
    Parameters  : value       lower 90%   higher 90%
    Photon index: 1.96460     ( -0.179694   0.190435 )
    Norm@50keV  : 5.35846E-03    ( -0.000675567   0.000661932 )
    ------------------------------------------------------------
    #Fit statistic : Chi-Squared =          51.64 using 59 PHA bins.
    # Reduced chi-squared =         0.9059 for     57 degrees of freedom 
    # Null hypothesis probability =   6.758036e-01
     
    Photon flux (15-150 keV)    in 14.34 sec: 0.790965 ( -0.0778136  0.0778268 ) ph/cm2/s
    Energy fluence (15-150 keV)             : 7.0748e-07 ( -8.43284e-08  8.62627e-08 ) ergs/cm2
     
    
    Cutoff power-law model
    Time interval is from   -1.928 sec. to   12.408 sec.
    Spectral model in the cutoff power-law:
    ------------------------------------------------------------
    Parameters  : value       lower 90%   higher 90%
    Photon index: 0.968183     ( -0.950276   0.778723 )
    Epeak [keV] : 43.8469      ( -11.3306 17.9375 )
    Norm@50keV  : 1.97702E-02    ( -0.0124905   0.0494406 )
    ------------------------------------------------------------
    #Fit statistic : Chi-Squared =          46.63 using 59 PHA bins.
    # Reduced chi-squared =         0.8327 for     56 degrees of freedom 
    # Null hypothesis probability =   8.095638e-01
     
    Photon flux (15-150 keV)    in 14.34 sec: 0.761072 ( -0.080558  0.080768 ) ph/cm2/s
    Energy fluence (15-150 keV)             : 6.47095e-07 ( -8.93296e-08  9.54442e-08 ) ergs/cm2
     
    
    Band function
    Time interval is from   -1.928 sec. to   12.408 sec.
     
    Spectral model in the Band function:
    ------------------------------------------------------------
    Parameters  : value       lower 90%   higher 90%
    alpha       : -0.968281   ( -0.612253   1.18172 )
    beta        : -10.0000    ( 10   1.06581e-14 )
    Epeak [keV] : 43.8391      ( -11.2948 17.9423 )
    Norm@50keV   : 1.97666E-02    ( -0.012489   0.0495964 )
    ------------------------------------------------------------
    #Fit statistic : Chi-Squared =          46.63 using 59 PHA bins.
    # Reduced chi-squared =         0.8478 for     55 degrees of freedom 
    # Null hypothesis probability =   7.817513e-01
     
    Photon flux (15-150 keV)    in 14.34 sec: 0.769020 ( 6.23098  -0.090132 ) ph/cm2/s
    Energy fluence (15-150 keV)             : 6.48015e-07 ( -6.47914e-07  -9.08539e-08 ) ergs/cm2
     
    
    Single BB
     
    Spectral model blackbody:
    ------------------------------------------------------------
    Parameters  : value    Lower 90%  Upper 90%
    kT [keV]    : 10.4138  (-1.16935  1.31107)
    R^2/D10^2   : 0.319034  (-0.114767   0.18078)
    (R is the radius in km and D10 is the distance to the source in units of 10 kpc)
    ------------------------------------------------------------
    #Fit statistic : Chi-Squared =          60.47 using 59 PHA bins.
    # Reduced chi-squared =          1.061 for     57 degrees of freedom 
    # Null hypothesis probability =   3.518191e-01
     
    Energy  Fluence     90% Error
    [keV]   [erg/cm2]   [erg/cm2]
    15- 25  1.023e-07   1.738e-08
    25- 50  2.691e-07   3.542e-08
    50-150  1.578e-07   4.202e-08
    15-150  5.292e-07   7.005e-08
    
    Thermal bremsstrahlung (OTTB)
     
     
    Spectral model: thermal bremsstrahlung
    ------------------------------------------------------------
    Parameters  : value         Lower 90%    Upper 90%
    kT [keV]    : 69.2967       (-18.3907      29.2831)
    Norm        : 3.91821       (-0.570547     0.660149)
    ------------------------------------------------------------
    #Fit statistic : Chi-Squared =          47.13 using 59 PHA bins.
    # Reduced chi-squared =         0.8268 for     57 degrees of freedom 
    # Null hypothesis probability =   8.214564e-01
     
    Energy  Fluence     90% Error
    [keV]   [erg/cm2]   [erg/cm2]
    15- 25  1.440e-07   2.032e-08
    25- 50  2.285e-07   2.495e-08
    50-150  2.913e-07   7.973e-08
    15-150  6.637e-07   9.221e-08
    
    Double BB
     
     
    Spectral model: bbodyrad<1> + bbodyrad<2>
    ------------------------------------------------------------
    Parameters  : value         Lower 90%    Upper 90%
    kT1 [keV]   : 5.24258        (-2.21553      2.43674)
    R1^2/D10^2  : 2.42210        (-1.71781      22.5501)
    kT2 [keV]   : 15.5836        (-3.63895      7.68716)
    R2^2/D10^2  : 5.21924E-02    (-0.0435683   0.116273)
    ------------------------------------------------------------
    #Fit statistic : Chi-Squared =          46.59 using 59 PHA bins.
    # Reduced chi-squared =         0.8470 for     55 degrees of freedom 
    # Null hypothesis probability =   7.831339e-01
     
    Energy  Fluence     90% Error
    [keV]   [erg/cm2]   [erg/cm2]
    15- 25  1.395e-07   6.922e-08
    25- 50  2.300e-07   1.079e-07
    50-150  2.649e-07   1.546e-07
    15-150  6.343e-07   2.872e-07
    

    Peak spectrum fit

    Power-law model
    Time interval is from    1.324 sec. to    2.324 sec.
     
    Spectral model in power-law:
    ------------------------------------------------------------
    Parameters  : value       lower 90%   higher 90%
    Photon index: 2.05878     ( -0.347403   0.392056 )
    Norm@50keV  : 1.09533E-02    ( -0.00284461   0.00270444 )
    ------------------------------------------------------------
    #Fit statistic : Chi-Squared =          76.40 using 59 PHA bins.
    # Reduced chi-squared =          1.340 for     57 degrees of freedom 
    # Null hypothesis probability =   4.413103e-02
     
    Photon flux (15-150 keV)    in 1 sec: 1.68901 ( -0.297663  0.297689 ) ph/cm2/s
    Energy fluence (15-150 keV)             : 1.01401e-07 ( -2.30335e-08  2.41823e-08 ) ergs/cm2
     
    
    Cutoff power-law model
    Time interval is from    1.324 sec. to    2.324 sec.
    Spectral model in the cutoff power-law:
    ------------------------------------------------------------
    Parameters  : value       lower 90%   higher 90%
    Photon index: 2.11204     (     )
    Epeak [keV] : 62.5299      (   )
    Norm@50keV  : 9.98731E-03    (     )
    ------------------------------------------------------------
    #Fit statistic : Chi-Squared =          76.29 using 59 PHA bins.
    # Reduced chi-squared =          1.362 for     56 degrees of freedom 
    # Null hypothesis probability =   3.704195e-02
     
    Photon flux (15-150 keV)    in 1 sec: 1.68728 ( -0.29704  0.29754 ) ph/cm2/s
    Energy fluence (15-150 keV)             : 1.01436e-07 ( -1.29819e-08  2.376e-08 ) ergs/cm2
     
    
    Band function
    Time interval is from    1.324 sec. to    2.324 sec.
     
    Spectral model in the Band function:
    ------------------------------------------------------------
    Parameters  : value       lower 90%   higher 90%
    alpha       : 4.75828   ( -4.75828   -4.75828 )
    beta        : -2.21259    ( -0.577592   0.425158 )
    Epeak [keV] : 21.1318      ( -21.1318 5.80571 )
    Norm@50keV   : 3727.45    ( -653.267   2.01158e+07 )
    ------------------------------------------------------------
    #Fit statistic : Chi-Squared =          75.59 using 59 PHA bins.
    # Reduced chi-squared =          1.374 for     55 degrees of freedom 
    # Null hypothesis probability =   3.416285e-02
     
    Photon flux (15-150 keV)    in 1 sec:  (    ) ph/cm2/s
    Energy fluence (15-150 keV)             : 0 ( 0  0 ) ergs/cm2
     
    
    Single BB
     
    Spectral model blackbody:
    ------------------------------------------------------------
    Parameters  : value    Lower 90%  Upper 90%
    kT [keV]    : 7.33083  (-1.54636  2.25262)
    R^2/D10^2   : 2.52580  (-1.6221   4.06061)
    (R is the radius in km and D10 is the distance to the source in units of 10 kpc)
    ------------------------------------------------------------
    #Fit statistic : Chi-Squared =          85.67 using 59 PHA bins.
    # Reduced chi-squared =          1.503 for     57 degrees of freedom 
    # Null hypothesis probability =   8.333690e-03
     
    Energy  Fluence     90% Error
    [keV]   [erg/cm2]   [erg/cm2]
    15- 25  2.282e-08   8.470e-09
    25- 50  3.412e-08   1.221e-08
    50-150  6.663e-09   3.929e-09
    15-150  6.361e-08   2.108e-08
    
    Thermal bremsstrahlung (OTTB)
     
     
    Spectral model: thermal bremsstrahlung
    ------------------------------------------------------------
    Parameters  : value         Lower 90%    Upper 90%
    kT [keV]    : 57.0574       (-25.9417      68.4432)
    Norm        : 8.98987       (-2.52367     4.06044)
    ------------------------------------------------------------
    #Fit statistic : Chi-Squared =          78.06 using 59 PHA bins.
    # Reduced chi-squared =          1.369 for     57 degrees of freedom 
    # Null hypothesis probability =   3.347319e-02
     
    Energy  Fluence     90% Error
    [keV]   [erg/cm2]   [erg/cm2]
    15- 25  2.240e-08   5.175e-09
    25- 50  3.356e-08   8.840e-09
    50-150  3.659e-08   1.939e-08
    15-150  9.255e-08   3.077e-08
    
    Double BB
     
     
    Spectral model: bbodyrad<1> + bbodyrad<2>
    ------------------------------------------------------------
    Parameters  : value         Lower 90%    Upper 90%
    kT1 [keV]   : 5.82540        (-1.59638      2.02771)
    R1^2/D10^2  : 5.66200        (-3.77358      14.2836)
    kT2 [keV]   : 37.7399        (-22.3209      -38.0422)
    R2^2/D10^2  : 4.78962E-03    (-0.00447793   0.0526856)
    ------------------------------------------------------------
    #Fit statistic : Chi-Squared =          74.15 using 59 PHA bins.
    # Reduced chi-squared =          1.348 for     55 degrees of freedom 
    # Null hypothesis probability =   4.354096e-02
     
    Energy  Fluence     90% Error
    [keV]   [erg/cm2]   [erg/cm2]
    15- 25  2.536e-08   1.307e-08
    25- 50  2.899e-08   1.355e-08
    50-150  5.643e-08   3.580e-08
    15-150  1.108e-07   5.612e-08
    

    Pre-slew spectrum (Pre-slew PHA with pre-slew DRM)

    Power-law model
     
    Spectral model in power-law:
    ------------------------------------------------------------
    Parameters  : value       lower 90%   higher 90%
    Photon index: 1.96460     ( -0.179694   0.190435 )
    Norm@50keV  : 5.35846E-03    ( -0.000675567   0.000661932 )
    ------------------------------------------------------------
    #Fit statistic : Chi-Squared =          51.64 using 59 PHA bins.
    # Reduced chi-squared =         0.9059 for     57 degrees of freedom 
    # Null hypothesis probability =   6.758036e-01
     
    Photon flux (15-150 keV)    in 14.34 sec: 0.790965 ( -0.0778136  0.0778268 ) ph/cm2/s
    Energy fluence (15-150 keV)             : 7.0748e-07 ( -8.43284e-08  8.62627e-08 ) ergs/cm2
     
    
    Cutoff power-law model
    Spectral model in the cutoff power-law:
    ------------------------------------------------------------
    Parameters  : value       lower 90%   higher 90%
    Photon index: 0.968183     ( -0.950276   0.778723 )
    Epeak [keV] : 43.8469      ( -11.3306 17.9375 )
    Norm@50keV  : 1.97702E-02    ( -0.0124905   0.0494406 )
    ------------------------------------------------------------
    #Fit statistic : Chi-Squared =          46.63 using 59 PHA bins.
    # Reduced chi-squared =         0.8327 for     56 degrees of freedom 
    # Null hypothesis probability =   8.095638e-01
     
    Photon flux (15-150 keV)    in 14.34 sec: 0.761072 ( -0.080558  0.080768 ) ph/cm2/s
    Energy fluence (15-150 keV)             : 6.47095e-07 ( -8.93296e-08  9.54442e-08 ) ergs/cm2
     
    
    Band function
     
    Spectral model in the Band function:
    ------------------------------------------------------------
    Parameters  : value       lower 90%   higher 90%
    alpha       : -0.968281   ( -0.612253   1.18172 )
    beta        : -10.0000    ( 10   1.77636e-14 )
    Epeak [keV] : 43.8391      ( -11.2948 17.9423 )
    Norm@50keV   : 1.97666E-02    ( -0.012489   0.0495964 )
    ------------------------------------------------------------
    #Fit statistic : Chi-Squared =          46.63 using 59 PHA bins.
    # Reduced chi-squared =         0.8478 for     55 degrees of freedom 
    # Null hypothesis probability =   7.817513e-01
     
    Photon flux (15-150 keV)    in 14.34 sec: 0.769020 ( 6.23098  -0.090132 ) ph/cm2/s
    Energy fluence (15-150 keV)             : 6.48015e-07 ( -6.47914e-07  -9.08539e-08 ) ergs/cm2
     
    

    S(25-50 keV) vs. S(50-100 keV) plot

    S(25-50 keV)  = 2.11e-07
    S(50-100 keV) = 2.16e-07
    

    T90 vs. Hardness ratio plot

    T90                                   = 12.2400000095367 sec.
    Hardness ratio (energy fluence ratio) = 1.0237
    

    Color vs. Color plot

    Count Ratio  (25-50 keV) / (15-25 keV) = 1.36044
    Count Ratio (50-100 keV) / (15-25 keV) = 0.666504
    

    Mask shadow pattern

    IMX = 9.185392598813594E-01, IMY = -2.768482040946642E-02
    

    TIME vs. PHA plot around the trigger time

    Blue+Cyan dotted lines: Time interval of the scaled map
    From 0.000000 to 1.024000
    

    TIME vs. DetID plot around the trigger time

    Blue+Cyan dotted lines: Time interval of the scaled map
    From 0.000000 to 1.024000
    

    100 us light curve (15-350 keV)

    Blue+Cyan dotted lines: Time interval of the scaled map
    From 0.000000 to 1.024000
    

    Spacecraft aspect plot

    Bright source in the pre-burst/pre-slew/post-slew images

    Pre-burst image of 15-350 keV band

    Time interval of the image:
    -119.224000 -1.928000
     
    # RAcent  DECcent POSerr Theta    Phi  PeakCts   SNR AngSep     Name
    #  [deg]    [deg]    ['] [deg]  [deg]                   [']
    135.4880 -40.5509    1.9  35.6    1.3   1.2795   6.1    1.9	Vela X-1                      
    108.4441 -25.5352    3.3  33.1   50.0   0.9178   3.5 ------	UNKNOWN                       
    139.4625  51.8505    2.7  56.9 -175.8   3.6857   4.2 ------	UNKNOWN                       
    167.7385 -51.3737    2.4  53.6  -23.2   2.2314   4.9 ------	UNKNOWN                       
    176.0594 -23.8025    2.6  43.4  -58.9   2.2979   4.4 ------	UNKNOWN                       
    

    Pre-slew background subtracted image of 15-350 keV band

    Time interval of the image:
    -1.928000 12.408000
     
    # RAcent  DECcent POSerr Theta    Phi  PeakCts   SNR AngSep     Name
    #  [deg]    [deg]    ['] [deg]  [deg]                   [']
    135.6875 -40.5099    5.2  35.5    1.0   0.1502   2.2    7.7	Vela X-1                      
     98.1733 -31.0731    2.1  43.6   50.0   1.1027   5.5 ------	UNKNOWN                       
    135.0243 -47.5563    0.8  42.6    1.7   1.2462  15.0 ------	UNKNOWN                       
    159.5894  45.0508    2.3  54.5 -157.9   0.8349   5.1 ------	UNKNOWN                       
    

    Post-slew image of 15-350 keV band

    Time interval of the image:
    85.076600 962.851800
     
    # RAcent  DECcent POSerr Theta    Phi  PeakCts   SNR AngSep     Name
    #  [deg]    [deg]    ['] [deg]  [deg]                   [']
    135.5137 -40.5664    0.7   7.0 -147.9   9.2105  17.3    1.0	Vela X-1                      
    170.3609 -60.6703    3.2  24.0  -14.4   2.1024   3.5    3.1	Cen X-3                       
    186.6389 -62.7529    0.8  32.0  -13.0   9.8017  15.2    1.2	GX 301-2                      
     88.5375 -63.4385    3.1  29.8   70.4   3.8067   3.8 ------	UNKNOWN                       
    183.8679 -73.8103    2.1  33.6    7.3   3.4426   5.5 ------	UNKNOWN                       
    205.1560 -37.5882    3.4  50.7  -44.5  11.0295   4.0 ------	UNKNOWN                       
    204.8634 -37.4823    5.3  50.6  -44.8   8.4985   3.0 ------	UNKNOWN                       
    
    Plot creation:
    Sat May 30 15:30:03 EDT 2015