batgrbproduct Analysis for Trigger=575905

Analysis Summary

Notes:

======================================================================
                  BAT GRB EVENT DATA PROCESSING REPORT
    Process Script Ver: batgrbproduct v2.46
    Process Start Time (local time): Sat Oct 26 18:29:29 EDT 2013
             Host Name: gcn5
   Current Working Dir: /local/data/raid16/prebascript_archive/trigger575905/GCN5_download_cron
======================================================================

  Trigger: 00575905      Segment: 000

  BAT Trigger Time: 404462384   [s; MET]
      Trigger Stop: 404462448   [s; MET]
               UTC: 2013-10-26T06:39:32.803900    [includes UTCF correction] 
       Where From?: TDRSS position message

  BAT 
    RA: 15.5467628551536   Dec: 32.4869557018026  [deg; J2000]

     Catalogged Source?: NO
     Point Source?:      YES
     GRB Indicated?:     YES    [ by BAT flight software ]
     Image S/N Ratio:    7.06
     Image Trigger?:     YES
     Rate S/N Ratio:     0  [ if not an image trigger ]
     Image S/N Ratio:    7.06

  Flight Position:   [ source = BAT ]
    RA: 15.5467628551536   Dec: 32.4869557018026  [deg; J2000]

  Ground Position:   [ source = BAT pre-slew burst ]
    RA: 15.5264462668451   Dec: 32.4750551324588  [deg; J2000]  
        { 01h 02m 06.3s , +32d 28' 30.2" }
         +/- 4.44495927591399 [arcmin] (estimated 90% radius based on SNR)
         +/- 2.61162881547332 [arcmin] (formal 1-sigma fit error)
    SNR: 3.61071301054591
 
  Angular difference between Flight and Ground position is 1.251903 arcmin
 
  Partial Coding Fraction: 0.96875    [ including projection effects ]

  Duration
     T90: 64 +/- 
        Measured from: 0
                   to: 64     [s; relative to TRIGTIME]
     T50: 64 +/- 
        Measured from: 0
                   to: 64     [s; relative to TRIGTIME]

    WARNING: battblocks failed.  Used TDRSS fore/background intervals

  Fluence
     Peak Flux  (peak 64 second)
        Measured from: 0     
                   to: 64     [s; relative to TRIGTIME]
     Total Fluence        
        Measured from: 0     
                   to: 64     [s; relative to TRIGTIME]
     
             Band 1     Band 2     Band 3     Band 4
              15-25      25-50     50-100    100-350     keV
 Total     0.108391   0.169383   0.023065   0.027520
           0.039116   0.040225   0.035288   0.031327 [error]
 Peak      0.108391   0.169383   0.023065   0.027520
           0.039116   0.040225   0.035288   0.031327 [error]

     [ fluence units of on-axis counts / fully illuminated detector ] 

======================================================================
 
=== Fluence/Peak Flux Summary ===
 
              Model    Band1    Band2    Band3    Band4    Band5    Total      
                       15-25    25-50   50-100  100-350   15-150   15-350   keV
Fluence   Power-law 3.21e-08 4.54e-08 4.75e-08 9.17e-08 1.54e-07 2.18e-07   erg/cm2
              Error 1.41e-08 1.68e-08 2.78e-08 1.17e-07 6.83e-08 1.41e-07   erg/cm2
Peak flux Power-law 1.67e-02 1.30e-02 6.82e-03 5.17e-03 3.89e-02 4.17e-02   ph/cm2/s
              Error 7.45e-03 4.76e-03 3.87e-03 6.19e-03 1.41e-02 1.54e-02   ph/cm2/s
 
Fluence   Cutoff-PL 2.27e-08 7.97e-08 1.73e-08 3.12e-11 1.20e-07 1.20e-07   erg/cm2
              Error 1.67e-08 2.82e-08 2.61e-08 3.17e-09 4.41e-08 4.41e-08   erg/cm2
Peak flux Cutoff-PL 1.10e-02 2.28e-02 2.96e-03 2.92e-06 3.68e-02 3.68e-02   ph/cm2/s
              Error 8.54e-03 7.95e-03 4.06e-03 2.68e-04 1.31e-02 1.31e-02   ph/cm2/s
 
Fluence        Band 0.00e+00 0.00e+00 0.00e+00 0.00e+00 0.00e+00 0.00e+00   erg/cm2
              Error 0.00e+00 0.00e+00 0.00e+00 0.00e+00 0.00e+00 0.00e+00   erg/cm2
Peak flux      Band 0.00e+00 0.00e+00 0.00e+00 0.00e+00 0.00e+00 0.00e+00   ph/cm2/s
              Error 0.00e+00 0.00e+00 0.00e+00 0.00e+00 0.00e+00 0.00e+00   ph/cm2/s
 
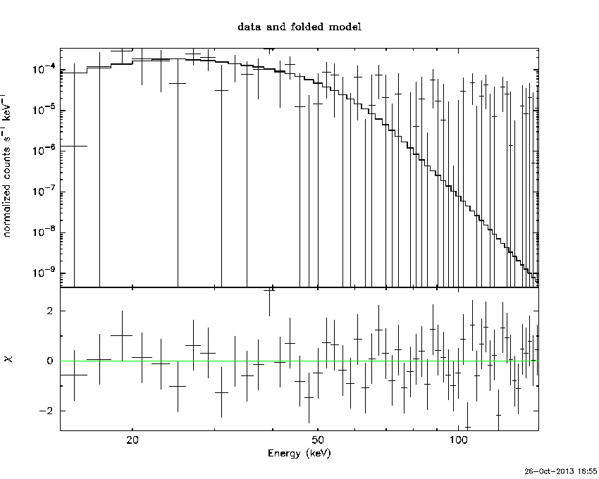
=== Time-averaged spectral analysis ===
 
Model Ph_index Ph_90err Epeak  Epeak_90err Norm     Nomr_90err chi2   dof
PL    1.941    0.595    -      -           2.66e-04 1.21e-04   58.540 57
CPL  -6.533    0.000      35.7    5.2      4.87e+01 0.00e+00   51.250 56
 
The chi2 of BB fit is 52.37 which shows a significant improvement in the fit over a PL.
Check the BB fit.
 
=== 1-s peak spectral analysis ===
 
Model Ph_index Ph_90err Epeak  Epeak_90err Norm     Nomr_90err chi2   dof
PL    1.941    0.595    -      -           2.66e-04 1.21e-04   58.540 57
CPL  -6.533    0.000      35.7    5.2      4.87e+01 0.00e+00   51.250 56
 
Model      : spectral model: simple power-law (PL) and cutoff power-law (CPL)
Ph_index   : photon index: E^-{Ph_index} (minus sign is not included in the index)
Ph_90err   : 90% error of the photon index
Epeak      : Epeak in keV
Epeak_90err: 90% error of Epeak
Norm       : normalization at 50 keV in PL model and at 1 keV in CPL model
Nomr_90err : 90% error of the normalization
chi2       : Chi-Squared
dof        : degree of freedom
 
=== T90/T50 calculation in the 50-300 keV band (BATSE band) using 64 ms lc ===
 
T90 in the 50-300 keV band: 0.000000 sec.
T50 in the 50-300 keV band: 0.000000 sec.
 
=== Table of the duration information ==
 
        Value   tstart    tstop
T100   64.000    0.000   64.000
T90    64.000    0.000   64.000
T50    64.000    0.000   64.000
Peak   64.000    0.000   64.000
  • Click here for the BAT GCN circular template

    Image

    Pre-slew 15-350 keV image (Event data; bkg subtracted)

    #   RAcent  DECcent POSerr  Theta    Phi     Peak Cts     SNR  Name
       15.5264 +32.4751 0.0533    9.5  114.6       0.2867     3.6  TRIG_00575905       
    ------------------------------------------
     
    Foreground time interval of the image:
      0.000  12.640 (delta_t =  12.640 [sec])
     14.000  64.000 (delta_t =  50.000 [sec])
    Background time interval of the image:
    

    Lightcurves

    Notes:

    1 s binning

    From T0-310 s to T0+310 s
    From T100_start - 20 s to T100_end + 30 s
    Full time interval

    64 ms binning

    Full time interval
    From T100_start to T100_end
    From T0-5 sec to T0+5 sec

    16 ms binning

    From T100_start-5 s to T100_start+5 s
    Blue+Cyan dotted lines: Time interval of the scaled map
    From 0.000000 to 64.000000
    

    8 ms binning

    From T100_start-3 s to T100_start+3 s
    Blue+Cyan dotted lines: Time interval of the scaled map
    From 0.000000 to 64.000000
    

    2 ms binning

    From T100_start-1 s to T100_start+1 s
    Blue+Cyan dotted lines: Time interval of the scaled map
    From 0.000000 to 64.000000
    

    SN=5 or 10 sec. binning (whichever binning is satisfied first)

    SN=5 or 10 sec. binning (T < 200 sec)

    Flight mask-tagged light curves

    Caution: Mask-weight map is always using the same on-axis map

    Quad-rate summed light curves (from T0-300 to T0+1000)

    The mask-weighted light curves based on cleaned DPHs

    Spectra

    Notes:

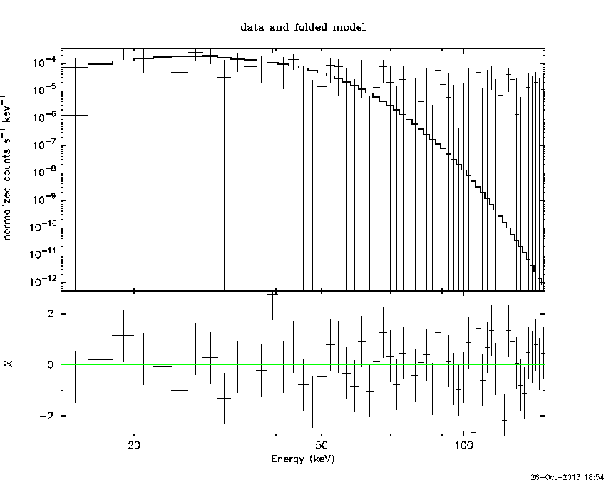
    Time averaged spectrum fit using the pre-slew DRM

    Power-law model
    Multiple GTIs in the spectrum
    tstart tstop
    0.000000 12.640000
    14.000000 64.000000
     
    Spectral model in power-law:
    ------------------------------------------------------------
    Parameters  : value       lower 90%   higher 90%
    Photon index: 1.94137     ( -0.544107   0.646783 )
    Norm@50keV  : 2.66048E-04    ( -0.000120637   0.000121064 )
    ------------------------------------------------------------
    #Fit statistic : Chi-Squared =          58.54 using 59 PHA bins.
    # Reduced chi-squared =          1.027 for     57 degrees of freedom 
    # Null hypothesis probability =   4.185640e-01
     
    Photon flux (15-150 keV)    in 62.64 sec: 3.88845E-02 ( -0.014023  0.0140818 ) ph/cm2/s
    Energy fluence (15-150 keV)             : 1.53904e-07 ( -6.49057e-08  7.17541e-08 ) ergs/cm2
     
    
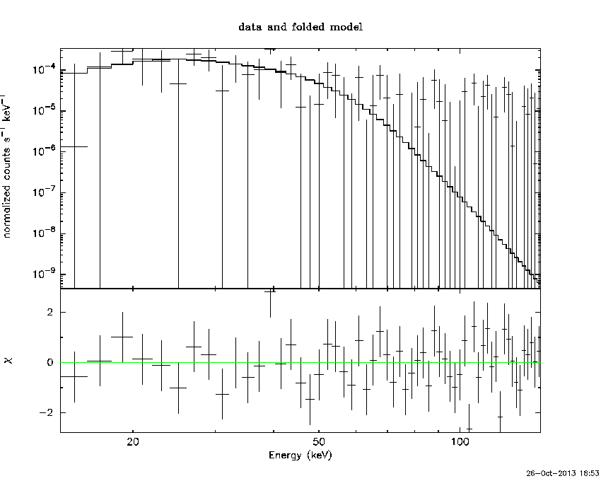
    Cutoff power-law model
    Multiple GTIs in the spectrum
    tstart tstop
    0.000000 12.640000
    14.000000 64.000000
    Spectral model in the cutoff power-law:
    ------------------------------------------------------------
    Parameters  : value       lower 90%   higher 90%
    Photon index: -6.53252     (     )
    Epeak [keV] : 35.7391      ( -6.04937 4.4215 )
    Norm@50keV  : 48.7049    (     )
    ------------------------------------------------------------
    #Fit statistic : Chi-Squared =          51.25 using 59 PHA bins.
    # Reduced chi-squared =         0.9151 for     56 degrees of freedom 
    # Null hypothesis probability =   6.550285e-01
     
    Photon flux (15-150 keV)    in 62.64 sec: 3.67956E-02 ( -0.0129207  0.0132603 ) ph/cm2/s
    Energy fluence (15-150 keV)             : 1.19722e-07 ( -4.09334e-08  4.73189e-08 ) ergs/cm2
     
    
    Band function
    Multiple GTIs in the spectrum
    tstart tstop
    0.000000 12.640000
    14.000000 64.000000
     
    Spectral model in the Band function:
    ------------------------------------------------------------
    Parameters  : value       lower 90%   higher 90%
    alpha       : 5.00000   ( -4.67365   -4.83028 )
    beta        : -10.0000    ( 10   10 )
    Epeak [keV] : 35.9689      ( -6.28852 7.52233 )
    Norm@50keV   : 5.69273    ( -1.76518   14.4046 )
    ------------------------------------------------------------
    #Fit statistic : Chi-Squared =          51.21 using 59 PHA bins.
    # Reduced chi-squared =         0.9311 for     55 degrees of freedom 
    # Null hypothesis probability =   6.202449e-01
     
    Photon flux (15-150 keV)    in 62.64 sec:  (    ) ph/cm2/s
    Energy fluence (15-150 keV)             : 0 ( 0  0 ) ergs/cm2
     
    
    Single BB
     
    Spectral model blackbody:
    ------------------------------------------------------------
    Parameters  : value    Lower 90%  Upper 90%
    kT [keV]    : 9.45628  (-2.1916  2.93541)
    R^2/D10^2   : 2.69162E-02  (-0.0269352   0.0457077)
    (R is the radius in km and D10 is the distance to the source in units of 10 kpc)
    ------------------------------------------------------------
    #Fit statistic : Chi-Squared =          52.37 using 59 PHA bins.
    # Reduced chi-squared =         0.9187 for     57 degrees of freedom 
    # Null hypothesis probability =   6.492667e-01
     
    Energy  Fluence     90% Error
    [keV]   [erg/cm2]   [erg/cm2]
    15- 25  3.005e-08   1.838e-08
    25- 50  6.889e-08   4.341e-08
    50-150  3.051e-08   2.303e-08
    15-150  1.294e-07   8.190e-08
    
    Thermal bremsstrahlung (OTTB)
     
     
    Spectral model: thermal bremsstrahlung
    ------------------------------------------------------------
    Parameters  : value         Lower 90%    Upper 90%
    kT [keV]    : 56.3928       (-30.2497      -56.1872)
    Norm        : 0.218680       (-0.0929943     0.14732)
    ------------------------------------------------------------
    #Fit statistic : Chi-Squared =          56.65 using 59 PHA bins.
    # Reduced chi-squared =         0.9939 for     57 degrees of freedom 
    # Null hypothesis probability =   4.880526e-01
     
    Energy  Fluence     90% Error
    [keV]   [erg/cm2]   [erg/cm2]
    15- 25  3.406e-08   2.163e-08
    25- 50  5.083e-08   3.220e-08
    50-150  5.487e-08   4.626e-08
    15-150  1.398e-07   9.330e-08
    
    Double BB
     
     
    Spectral model: bbodyrad<1> + bbodyrad<2>
    ------------------------------------------------------------
    Parameters  : value         Lower 90%    Upper 90%
    kT1 [keV]   : 8.33919E-02        (-0.0833919      -0.0833919)
    R1^2/D10^2  : 3.79162E-06        (-3.79164e-06      -3.79164e-06)
    kT2 [keV]   : 9.45419        (-2.1921      2.93491)
    R2^2/D10^2  : 2.69381E-02    (-0.0269382   0.0457048)
    ------------------------------------------------------------
    #Fit statistic : Chi-Squared =          52.37 using 59 PHA bins.
    # Reduced chi-squared =         0.9521 for     55 degrees of freedom 
    # Null hypothesis probability =   5.758509e-01
     
    Energy  Fluence     90% Error
    [keV]   [erg/cm2]   [erg/cm2]
    15- 25  0.000e+00   0.000e+00
    25- 50  0.000e+00   0.000e+00
    50-150  0.000e+00   0.000e+00
    15-150  0.000e+00   0.000e+00
    

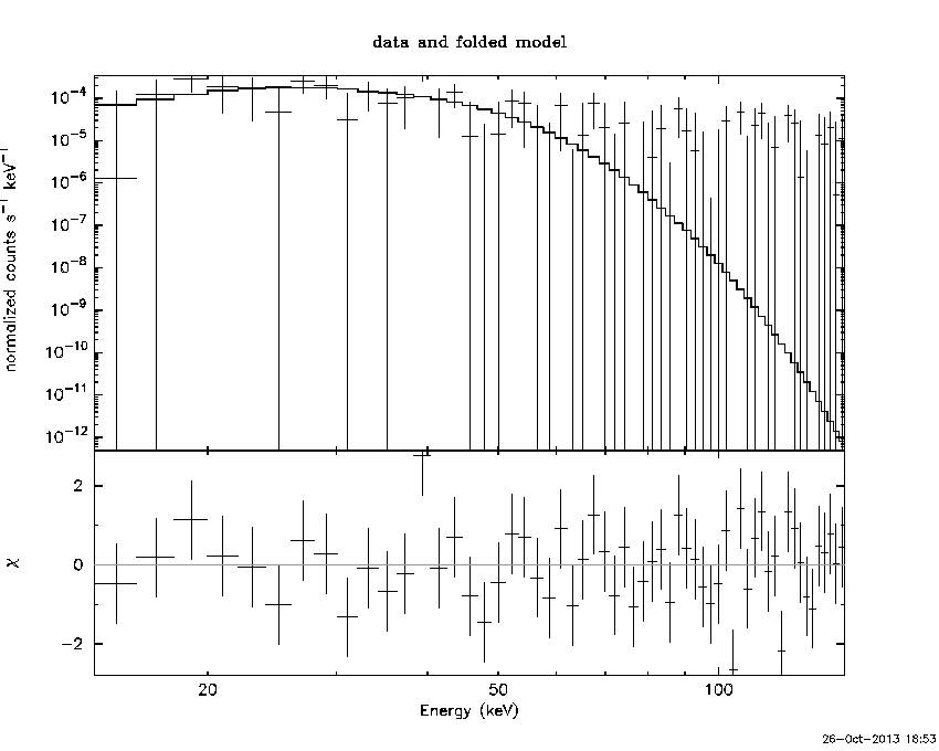
    Peak spectrum fit

    Power-law model
    Time interval is from   14.000 sec. to   64.000 sec.
     
    Spectral model in power-law:
    ------------------------------------------------------------
    Parameters  : value       lower 90%   higher 90%
    Photon index: 1.94137     ( -0.544107   0.646783 )
    Norm@50keV  : 2.66048E-04    ( -0.000120637   0.000121064 )
    ------------------------------------------------------------
    #Fit statistic : Chi-Squared =          58.54 using 59 PHA bins.
    # Reduced chi-squared =          1.027 for     57 degrees of freedom 
    # Null hypothesis probability =   4.185640e-01
     
    Photon flux (15-150 keV)    in 62.64 sec: 3.88845E-02 ( -0.014023  0.0140818 ) ph/cm2/s
    Energy fluence (15-150 keV)             : 1.53904e-07 ( -6.49057e-08  7.17541e-08 ) ergs/cm2
     
    
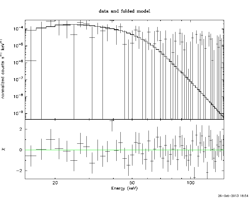
    Cutoff power-law model
    Time interval is from   14.000 sec. to   64.000 sec.
    Spectral model in the cutoff power-law:
    ------------------------------------------------------------
    Parameters  : value       lower 90%   higher 90%
    Photon index: -6.53252     (     )
    Epeak [keV] : 35.7391      ( -6.04937 4.4215 )
    Norm@50keV  : 48.7049    (     )
    ------------------------------------------------------------
    #Fit statistic : Chi-Squared =          51.25 using 59 PHA bins.
    # Reduced chi-squared =         0.9151 for     56 degrees of freedom 
    # Null hypothesis probability =   6.550285e-01
     
    Photon flux (15-150 keV)    in 62.64 sec: 3.67956E-02 ( -0.0129207  0.0132603 ) ph/cm2/s
    Energy fluence (15-150 keV)             : 1.19722e-07 ( -4.09334e-08  4.73189e-08 ) ergs/cm2
     
    
    Band function
    Time interval is from   14.000 sec. to   64.000 sec.
     
    Spectral model in the Band function:
    ------------------------------------------------------------
    Parameters  : value       lower 90%   higher 90%
    alpha       : 5.00000   ( -4.67365   -4.83028 )
    beta        : -10.0000    ( 10   10 )
    Epeak [keV] : 35.9689      ( -6.28852 7.52233 )
    Norm@50keV   : 5.69273    ( -1.76518   14.4046 )
    ------------------------------------------------------------
    #Fit statistic : Chi-Squared =          51.21 using 59 PHA bins.
    # Reduced chi-squared =         0.9311 for     55 degrees of freedom 
    # Null hypothesis probability =   6.202449e-01
     
    Photon flux (15-150 keV)    in 62.64 sec:  (    ) ph/cm2/s
    Energy fluence (15-150 keV)             : 0 ( 0  0 ) ergs/cm2
     
    
    Single BB
     
    Spectral model blackbody:
    ------------------------------------------------------------
    Parameters  : value    Lower 90%  Upper 90%
    kT [keV]    : 9.45628  (-2.1916  2.93541)
    R^2/D10^2   : 2.69162E-02  (-0.0269352   0.0457077)
    (R is the radius in km and D10 is the distance to the source in units of 10 kpc)
    ------------------------------------------------------------
    #Fit statistic : Chi-Squared =          52.37 using 59 PHA bins.
    # Reduced chi-squared =         0.9187 for     57 degrees of freedom 
    # Null hypothesis probability =   6.492667e-01
     
    Energy  Fluence     90% Error
    [keV]   [erg/cm2]   [erg/cm2]
    15- 25  3.005e-08   1.852e-08
    25- 50  6.889e-08   4.225e-08
    50-150  3.051e-08   2.217e-08
    15-150  1.294e-07   8.409e-08
    
    Thermal bremsstrahlung (OTTB)
     
     
    Spectral model: thermal bremsstrahlung
    ------------------------------------------------------------
    Parameters  : value         Lower 90%    Upper 90%
    kT [keV]    : 56.3928       (-30.2497      -56.1872)
    Norm        : 0.218680       (-0.0929943     0.14732)
    ------------------------------------------------------------
    #Fit statistic : Chi-Squared =          56.65 using 59 PHA bins.
    # Reduced chi-squared =         0.9939 for     57 degrees of freedom 
    # Null hypothesis probability =   4.880526e-01
     
    Energy  Fluence     90% Error
    [keV]   [erg/cm2]   [erg/cm2]
    15- 25  3.406e-08   2.194e-08
    25- 50  5.083e-08   3.279e-08
    50-150  5.487e-08   4.617e-08
    15-150  1.398e-07   9.396e-08
    
    Double BB
     
     
    Spectral model: bbodyrad<1> + bbodyrad<2>
    ------------------------------------------------------------
    Parameters  : value         Lower 90%    Upper 90%
    kT1 [keV]   : 8.33919E-02        (-0.0833919      -0.0833919)
    R1^2/D10^2  : 3.79162E-06        (-3.79164e-06      -3.79164e-06)
    kT2 [keV]   : 9.45419        (-2.1921      2.93491)
    R2^2/D10^2  : 2.69381E-02    (-0.0269382   0.0457048)
    ------------------------------------------------------------
    #Fit statistic : Chi-Squared =          52.37 using 59 PHA bins.
    # Reduced chi-squared =         0.9521 for     55 degrees of freedom 
    # Null hypothesis probability =   5.758509e-01
     
    Energy  Fluence     90% Error
    [keV]   [erg/cm2]   [erg/cm2]
    15- 25  0.000e+00   0.000e+00
    25- 50  0.000e+00   0.000e+00
    50-150  0.000e+00   0.000e+00
    15-150  0.000e+00   0.000e+00
    

    Pre-slew spectrum (Pre-slew PHA with pre-slew DRM)

    Power-law model
     
    Spectral model in power-law:
    ------------------------------------------------------------
    Parameters  : value       lower 90%   higher 90%
    Photon index: 1.94137     ( -0.544107   0.646783 )
    Norm@50keV  : 2.66048E-04    ( -0.000120637   0.000121064 )
    ------------------------------------------------------------
    #Fit statistic : Chi-Squared =          58.54 using 59 PHA bins.
    # Reduced chi-squared =          1.027 for     57 degrees of freedom 
    # Null hypothesis probability =   4.185640e-01
     
    Photon flux (15-150 keV)    in 62.64 sec: 3.88845E-02 ( -0.014023  0.0140818 ) ph/cm2/s
    Energy fluence (15-150 keV)             : 1.53904e-07 ( -6.49057e-08  7.17541e-08 ) ergs/cm2
     
    
    Cutoff power-law model
    Spectral model in the cutoff power-law:
    ------------------------------------------------------------
    Parameters  : value       lower 90%   higher 90%
    Photon index: -6.53252     (     )
    Epeak [keV] : 35.7391      ( -6.04937 4.4215 )
    Norm@50keV  : 48.7049    (     )
    ------------------------------------------------------------
    #Fit statistic : Chi-Squared =          51.25 using 59 PHA bins.
    # Reduced chi-squared =         0.9151 for     56 degrees of freedom 
    # Null hypothesis probability =   6.550285e-01
     
    Photon flux (15-150 keV)    in 62.64 sec: 3.67956E-02 ( -0.0129207  0.0132603 ) ph/cm2/s
    Energy fluence (15-150 keV)             : 1.19722e-07 ( -4.09334e-08  4.73189e-08 ) ergs/cm2
     
    
    Band function
     
    Spectral model in the Band function:
    ------------------------------------------------------------
    Parameters  : value       lower 90%   higher 90%
    alpha       : 5.00000   ( -4.67365   -4.83028 )
    beta        : -10.0000    ( 10   10 )
    Epeak [keV] : 35.9689      ( -6.28852 7.52233 )
    Norm@50keV   : 5.69273    ( -1.76518   14.4046 )
    ------------------------------------------------------------
    #Fit statistic : Chi-Squared =          51.21 using 59 PHA bins.
    # Reduced chi-squared =         0.9311 for     55 degrees of freedom 
    # Null hypothesis probability =   6.202449e-01
     
    Photon flux (15-150 keV)    in 62.64 sec:  (    ) ph/cm2/s
    Energy fluence (15-150 keV)             : 0 ( 0  0 ) ergs/cm2
     
    

    S(25-50 keV) vs. S(50-100 keV) plot

    S(25-50 keV)  = 4.53893e-08
    S(50-100 keV) = 4.75381e-08
    

    T90 vs. Hardness ratio plot

    T90                                   = 64 sec.
    Hardness ratio (energy fluence ratio) = 1.04734
    

    Color vs. Color plot

    Count Ratio  (25-50 keV) / (15-25 keV) = 1.5627
    Count Ratio (50-100 keV) / (15-25 keV) = 0.212794
    

    Mask shadow pattern

    IMX = -6.988315660494449E-02, IMY = -1.527007004603563E-01
    

    TIME vs. PHA plot around the trigger time

    Blue+Cyan dotted lines: Time interval of the scaled map
    From 0.000000 to 64.000000
    

    TIME vs. DetID plot around the trigger time

    Blue+Cyan dotted lines: Time interval of the scaled map
    From 0.000000 to 64.000000
    

    100 us light curve (15-350 keV)

    Blue+Cyan dotted lines: Time interval of the scaled map
    From 0.000000 to 64.000000
    

    Spacecraft aspect plot

    Bright source in the pre-burst/pre-slew/post-slew images

    Pre-burst image of 15-350 keV band

    Time interval of the image:
     
    

    Pre-slew background subtracted image of 15-350 keV band

    Time interval of the image:
    0.000000 12.640000
    14.000000 64.000000
     
    # RAcent  DECcent POSerr Theta    Phi  PeakCts   SNR AngSep     Name
    #  [deg]    [deg]    ['] [deg]  [deg]                   [']
    326.3397  38.2098   17.9  33.9 -120.5  -0.0833  -0.6   10.4	Cyg X-2                       
     57.7141  62.9968    3.1  34.9   -4.9   0.3536   3.7 ------	UNKNOWN                       
    340.1681  23.8723    2.2  30.8 -155.1   0.4610   5.2 ------	UNKNOWN                       
    134.0482  73.6978    2.6  58.9  -24.5   2.4386   4.4 ------	UNKNOWN                       
    

    Post-slew image of 15-350 keV band

    Time interval of the image:
    104.800600 932.880000
    934.000000 936.000600
     
    # RAcent  DECcent POSerr Theta    Phi  PeakCts   SNR AngSep     Name
    #  [deg]    [deg]    ['] [deg]  [deg]                   [']
    326.2291  38.3474    4.4  40.1 -118.6   2.9945   2.6    3.1	Cyg X-2                       
    348.4734   0.7921    2.5  40.7  173.0   3.1355   4.6 ------	UNKNOWN                       
     21.0158  52.4593    3.0  20.3  -41.7   1.6480   3.8 ------	UNKNOWN                       
    
    Plot creation:
    Sat Oct 26 18:56:22 EDT 2013