batgrbproduct Analysis for Trigger=577968

Analysis Summary

Notes:

======================================================================
                  BAT GRB EVENT DATA PROCESSING REPORT
    Process Script Ver: batgrbproduct v2.46
    Process Start Time (local time): Sat Jan 11 22:16:56 EST 2014
             Host Name: batevent1
   Current Working Dir: /local/data/batevent/batevent_reproc/trigger577968
======================================================================

  Trigger: 00577968      Segment: 000

  BAT Trigger Time: 406341256   [s; MET]
      Trigger Stop: 406341257.024   [s; MET]
               UTC: 2013-11-17T00:34:04.717400    [includes UTCF correction] 
       Where From?: TDRSS position message

  BAT 
    RA: 332.339311275174   Dec: -31.7223097661789  [deg; J2000]

     Catalogged Source?: NO
     Point Source?:      YES
     GRB Indicated?:     YES    [ by BAT flight software ]
     Image S/N Ratio:    6.87
     Image Trigger?:     NO
     Rate S/N Ratio:     11.916375287813  [ if not an image trigger ]
     Image S/N Ratio:    6.87

  Flight Position:   [ source = BAT ]
    RA: 332.339311275174   Dec: -31.7223097661789  [deg; J2000]

  Ground Position:   [ source = BAT pre-slew burst ]
    RA: 332.3502675072   Dec: -31.7616106408069  [deg; J2000]  
        { 22h 09m 24.1s , -31d 45' 41.8" }
         +/- 1.71880751002449 [arcmin] (estimated 90% radius based on SNR)
         +/- 0.742810333980982 [arcmin] (formal 1-sigma fit error)
    SNR: 14.0307039809489
 
  Angular difference between Flight and Ground position is 2.423416 arcmin
 
  Partial Coding Fraction: 0.859375    [ including projection effects ]

  Duration
     T90: 10.8799999952316 +/- 2.81163301773906
        Measured from: 0.0400000214576721
                   to: 10.9200000166893     [s; relative to TRIGTIME]
     T50: 4.1599999666214 +/- 1.17662566602415
        Measured from: 1.5120000243187
                   to: 5.67199999094009     [s; relative to TRIGTIME]



  Fluence
     Peak Flux  (peak 1 second)
        Measured from: -0.236000001430511     
                   to: 0.763999998569489     [s; relative to TRIGTIME]
     Total Fluence        
        Measured from: -0.472000002861023     
                   to: 11.944000005722     [s; relative to TRIGTIME]
     
             Band 1     Band 2     Band 3     Band 4
              15-25      25-50     50-100    100-350     keV
 Total     0.178468   0.253262   0.094479   0.001851
           0.019697   0.020269   0.017303   0.014739 [error]
 Peak      0.022526   0.037075   0.023699  -0.002377
           0.005761   0.006114   0.005120   0.004198 [error]

     [ fluence units of on-axis counts / fully illuminated detector ] 

======================================================================
 
=== Fluence/Peak Flux Summary ===
 
              Model    Band1    Band2    Band3    Band4    Band5    Total      
                       15-25    25-50   50-100  100-350   15-150   15-350   keV
Fluence   Power-law 5.51e-08 8.40e-08 9.61e-08 2.10e-07 2.98e-07 4.46e-07   erg/cm2
              Error 8.12e-09 8.84e-09 1.59e-08 6.80e-08 3.77e-08 8.52e-08   erg/cm2
Peak flux Power-law 2.31e-01 2.22e-01 1.49e-01 1.55e-01 6.65e-01 7.57e-01   ph/cm2/s
              Error 6.76e-02 4.55e-02 3.93e-02 7.70e-02 1.34e-01 1.57e-01   ph/cm2/s
 
Fluence   Cutoff-PL 4.72e-08 1.05e-07 8.27e-08 1.56e-08 2.48e-07 2.50e-07   erg/cm2
              Error 9.68e-09 1.44e-08 2.34e-08 2.79e-08 3.97e-08 4.69e-08   erg/cm2
Peak flux Cutoff-PL 1.62e-01 2.86e-01 1.65e-01 1.99e-02 6.32e-01 6.33e-01   ph/cm2/s
              Error 7.97e-02 6.51e-02 5.30e-02 3.51e-02 1.02e-01 1.37e-01   ph/cm2/s
 
Fluence        Band 4.47e-08 1.08e-07 8.01e-08 6.41e-08 2.62e-07 2.98e-07   erg/cm2
              Error 1.02e-08 1.44e-08 1.47e-08 6.84e-08 3.98e-08 --------   erg/cm2
Peak flux      Band -------- -------- -------- -------- -------- --------   ph/cm2/s
              Error -------- -------- -------- -------- -------- --------   ph/cm2/s
 
=== Time-averaged spectral analysis ===
 
Model Ph_index Ph_90err Epeak  Epeak_90err Norm     Nomr_90err chi2   dof
PL    1.806    0.179    -      -           2.60e-03 3.22e-04   52.530 57
CPL  -0.180    1.353      44.3    8.2      3.79e-02 1.70e-01   40.700 56
 
 
=== 1-s peak spectral analysis ===
 
Model Ph_index Ph_90err Epeak  Epeak_90err Norm     Nomr_90err chi2   dof
PL    1.579    0.305    -      -           5.21e-03 1.12e-03   60.310 57
CPL  -0.954    2.105      53.7   15.5      1.18e-01 1.35e+00   51.980 56
 
Model      : spectral model: simple power-law (PL) and cutoff power-law (CPL)
Ph_index   : photon index: E^-{Ph_index} (minus sign is not included in the index)
Ph_90err   : 90% error of the photon index
Epeak      : Epeak in keV
Epeak_90err: 90% error of Epeak
Norm       : normalization at 50 keV in PL model and at 1 keV in CPL model
Nomr_90err : 90% error of the normalization
chi2       : Chi-Squared
dof        : degree of freedom
 
=== T90/T50 calculation in the 50-300 keV band (BATSE band) using 64 ms lc ===
 
T90 in the 50-300 keV band: 0.000000 sec.
T50 in the 50-300 keV band: 0.000000 sec.
 
=== Table of the duration information ==
 
        Value   tstart    tstop
T100   12.416   -0.472   11.944
T90    10.880    0.040   10.920
T50     4.160    1.512    5.672
Peak    1.000   -0.236    0.764
  • Click here for the BAT GCN circular template
  • Special notes of this burst

    Image

    Pre-slew 15.0-350.0 keV image (Event data)

    #   RAcent    DECcent   POSerr    Theta     Phi              Peak Cts       SNR   Name
      332.3503   -31.7616   0.0137    16.4117    48.8996         0.4802669     14.031 TRIG_00577968                 
     
    Foreground time interval of the image:
     -0.472  10.701 (delta_t =  11.173 [sec])
    Background time interval of the image:
    -239.000  -0.472 (delta_t = 238.528 [sec])
    

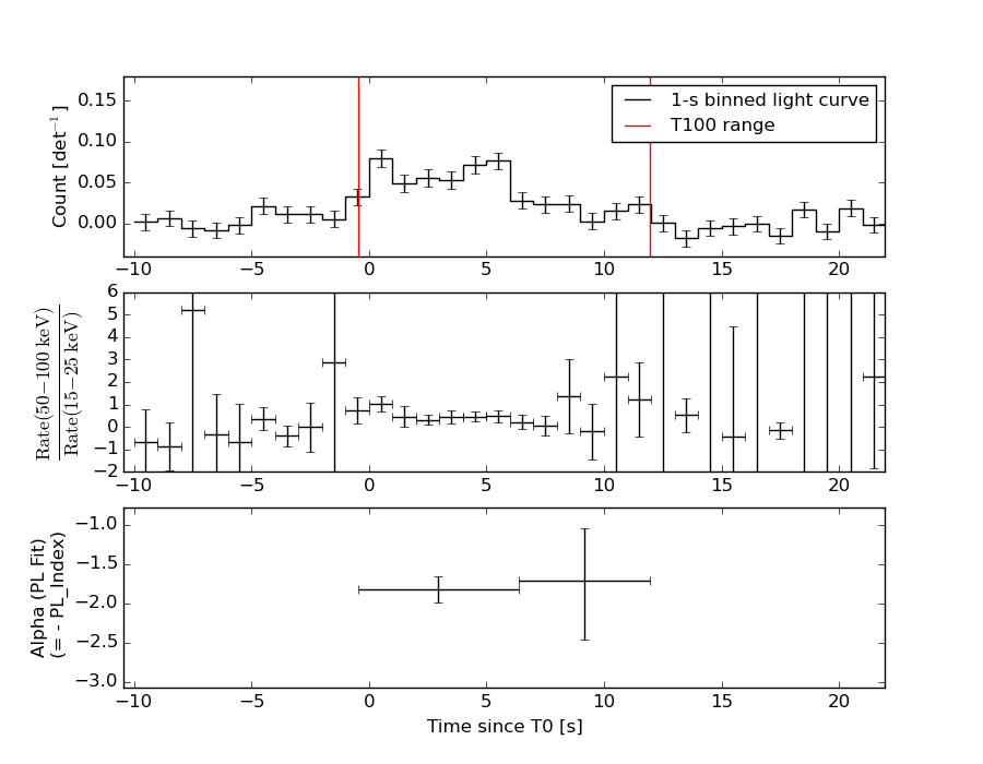
    Lightcurves

    Notes:

    1 s binning

    From T0-310 s to T0+310 s
    From T100_start - 20 s to T100_end + 30 s
    Full time interval

    64 ms binning

    Full time interval
    From T100_start to T100_end
    From T0-5 sec to T0+5 sec

    16 ms binning

    From T100_start-5 s to T100_start+5 s
    Blue+Cyan dotted lines: Time interval of the scaled map
    From 0.000000 to 1.024000
    

    8 ms binning

    From T100_start-3 s to T100_start+3 s
    Blue+Cyan dotted lines: Time interval of the scaled map
    From 0.000000 to 1.024000
    

    2 ms binning

    From T100_start-1 s to T100_start+1 s
    Blue+Cyan dotted lines: Time interval of the scaled map
    From 0.000000 to 1.024000
    

    SN=5 or 10 sec. binning (whichever binning is satisfied first)

    SN=5 or 10 sec. binning (T < 200 sec)

    Quad-rate summed light curves (from T0-300s to T0+1000s)

    Spectral Evolution

    Spectra

    Notes:

    Time averaged spectrum fit using the average DRM

    Power-law model
    Time interval is from   -0.472 sec. to   11.944 sec.
     
    Spectral model in power-law:
    ------------------------------------------------------------
    Parameters  : value       lower 90%   higher 90%
    Photon index: 1.80568     ( -0.175531   0.182261 )
    Norm@50keV  : 2.60469E-03    ( -0.000323883   0.000319202 )
    ------------------------------------------------------------
    #Fit statistic : Chi-Squared =          52.53 using 59 PHA bins.
    # Reduced chi-squared =         0.9215 for     57 degrees of freedom 
    # Null hypothesis probability =   6.434044e-01
     
    Photon flux (15-150 keV)    in 12.42 sec: 0.359715 ( -0.0378566  0.0378615 ) ph/cm2/s
    Energy fluence (15-150 keV)             : 2.97766e-07 ( -3.72698e-08  3.8034e-08 ) ergs/cm2
     
    
    Cutoff power-law model
    Time interval is from   -0.472 sec. to   11.944 sec.
    Spectral model in the cutoff power-law:
    ------------------------------------------------------------
    Parameters  : value       lower 90%   higher 90%
    Photon index: -0.179941     ( -1.59258   1.11293 )
    Epeak [keV] : 44.3046      ( -5.88966 10.5033 )
    Norm@50keV  : 3.78826E-02    ( -0.0383174   0.301742 )
    ------------------------------------------------------------
    #Fit statistic : Chi-Squared =          40.70 using 59 PHA bins.
    # Reduced chi-squared =         0.7268 for     56 degrees of freedom 
    # Null hypothesis probability =   9.380711e-01
     
    Photon flux (15-150 keV)    in 12.42 sec: 0.338416 ( -0.039327  0.039321 ) ph/cm2/s
    Energy fluence (15-150 keV)             : 2.48152e-07 ( -3.71271e-08  4.2341e-08 ) ergs/cm2
     
    
    Band function
    Time interval is from   -0.472 sec. to   11.944 sec.
     
    Spectral model in the Band function:
    ------------------------------------------------------------
    Parameters  : value       lower 90%   higher 90%
    alpha       : 0.186874   ( -0.750746   1.45926 )
    beta        : -9.99999    ( 9.99999   1.43765e-05 )
    Epeak [keV] : 44.2718      ( -5.73435 10.4955 )
    Norm@50keV   : 3.82564E-02    ( -0.0039286   0.302623 )
    ------------------------------------------------------------
    #Fit statistic : Chi-Squared =          40.70 using 59 PHA bins.
    # Reduced chi-squared =         0.7400 for     55 degrees of freedom 
    # Null hypothesis probability =   9.248575e-01
     
    Photon flux (15-150 keV)    in 12.42 sec: 0.341404 ( 6.6586  -0.039348 ) ph/cm2/s
    Energy fluence (15-150 keV)             : 2.6233e-07 ( -2.62243e-07  -3.90336e-08 ) ergs/cm2
     
    
    Single BB
     
    Spectral model blackbody:
    ------------------------------------------------------------
    Parameters  : value    Lower 90%  Upper 90%
    kT [keV]    : 10.6571  (-1.04686  1.19219)
    R^2/D10^2   : 0.142034  (-0.0470657   0.0676846)
    (R is the radius in km and D10 is the distance to the source in units of 10 kpc)
    ------------------------------------------------------------
    #Fit statistic : Chi-Squared =          42.87 using 59 PHA bins.
    # Reduced chi-squared =         0.7521 for     57 degrees of freedom 
    # Null hypothesis probability =   9.174840e-01
     
    Energy  Fluence     90% Error
    [keV]   [erg/cm2]   [erg/cm2]
    15- 25  4.157e-08   7.415e-09
    25- 50  1.128e-07   1.602e-08
    50-150  7.057e-08   1.915e-08
    15-150  2.249e-07   2.962e-08
    
    Thermal bremsstrahlung (OTTB)
     
     
    Spectral model: thermal bremsstrahlung
    ------------------------------------------------------------
    Parameters  : value         Lower 90%    Upper 90%
    kT [keV]    : 84.7651       (-24.2147      43.5184)
    Norm        : 1.68667       (-0.236593     0.281234)
    ------------------------------------------------------------
    #Fit statistic : Chi-Squared =          46.00 using 59 PHA bins.
    # Reduced chi-squared =         0.8070 for     57 degrees of freedom 
    # Null hypothesis probability =   8.512075e-01
     
    Energy  Fluence     90% Error
    [keV]   [erg/cm2]   [erg/cm2]
    15- 25  5.453e-08   7.967e-09
    25- 50  9.100e-08   1.080e-08
    50-150  1.334e-07   6.145e-08
    15-150  2.790e-07   6.253e-08
    
    Double BB
    ------------------------------------------------------------
    Parameters  : value         Lower 90%    Upper 90%
    kT1 [keV]   : 9.16397        (      )
    R1^2/D10^2  : 0.211382        (-0.186682      0.216805)
    kT2 [keV]   : 27.9695        (-29.3335      -31.6562)
    R2^2/D10^2  : 1.29958E-03    (-0.00092018   0.0625629)
    ------------------------------------------------------------
    #Fit statistic : Chi-Squared =          41.35 using 59 PHA bins.
    #Fit statistic : Chi-Squared =          38.94 using 59 PHA bins.
    # Reduced chi-squared =         0.7518 for     55 degrees of freedom 
    # Reduced chi-squared =         0.7080 for     55 degrees of freedom 
    # Null hypothesis probability =   9.135702e-01
    # Null hypothesis probability =   9.502219e-01
     
    Energy  Fluence     90% Error
    [keV]   [erg/cm2]   [erg/cm2]
    15- 25  4.591e-08   1.610e-08
    25- 50  1.077e-07   3.327e-08
    50-150  7.845e-08   2.928e-08
    15-150  2.321e-07   6.227e-08
    

    Peak spectrum fit

    Power-law model
    Time interval is from   -0.236 sec. to    0.764 sec.
     
    Spectral model in power-law:
    ------------------------------------------------------------
    Parameters  : value       lower 90%   higher 90%
    Photon index: 1.57859     ( -0.298384   0.312324 )
    Norm@50keV  : 5.20681E-03    ( -0.00112725   0.00111371 )
    ------------------------------------------------------------
    #Fit statistic : Chi-Squared =          60.31 using 59 PHA bins.
    # Reduced chi-squared =          1.058 for     57 degrees of freedom 
    # Null hypothesis probability =   3.569044e-01
     
    Photon flux (15-150 keV)    in 1 sec: 0.664717 ( -0.134316  0.134401 ) ph/cm2/s
    Energy fluence (15-150 keV)             : 4.88358e-08 ( -1.11345e-08  1.14345e-08 ) ergs/cm2
     
    
    Cutoff power-law model
    Time interval is from   -0.236 sec. to    0.764 sec.
    Spectral model in the cutoff power-law:
    ------------------------------------------------------------
    Parameters  : value       lower 90%   higher 90%
    Photon index: -0.953679     ( -2.57552   1.63426 )
    Epeak [keV] : 53.7239      ( -10.15 20.8399 )
    Norm@50keV  : 0.118081    ( -0.11829   2.57792 )
    ------------------------------------------------------------
    #Fit statistic : Chi-Squared =          51.98 using 59 PHA bins.
    # Reduced chi-squared =         0.9283 for     56 degrees of freedom 
    # Null hypothesis probability =   6.276191e-01
     
    Photon flux (15-150 keV)    in 1 sec: 0.631556 ( -0.068173  0.134949 ) ph/cm2/s
    Energy fluence (15-150 keV)             : 4.27642e-08 ( -1.0133e-08  1.13238e-08 ) ergs/cm2
     
    
    Band function
    Time interval is from   -0.236 sec. to    0.764 sec.
     
    Spectral model in the Band function:
    ------------------------------------------------------------
    Parameters  : value       lower 90%   higher 90%
    alpha       : 0.944385   ( -1.31891   2.93147 )
    beta        : -10.0000    ( 10   0 )
    Epeak [keV] : 53.7075      ( -10.2131 20.8357 )
    Norm@50keV   : 0.117058    ( -0.117002   2.59766 )
    ------------------------------------------------------------
    #Fit statistic : Chi-Squared =          51.98 using 59 PHA bins.
    # Reduced chi-squared =         0.9452 for     55 degrees of freedom 
    # Null hypothesis probability =   5.906017e-01
     
    Photon flux (15-150 keV)    in 1 sec:  (    ) ph/cm2/s
    Energy fluence (15-150 keV)             : 0 ( 0  0 ) ergs/cm2
     
    
    Single BB
     
    Spectral model blackbody:
    ------------------------------------------------------------
    Parameters  : value    Lower 90%  Upper 90%
    kT [keV]    : 13.4442  (-2.30987  2.85724)
    R^2/D10^2   : 0.123409  (-0.0625144   0.11829)
    (R is the radius in km and D10 is the distance to the source in units of 10 kpc)
    ------------------------------------------------------------
    #Fit statistic : Chi-Squared =          52.17 using 59 PHA bins.
    # Reduced chi-squared =         0.9153 for     57 degrees of freedom 
    # Null hypothesis probability =   6.564761e-01
     
    Energy  Fluence     90% Error
    [keV]   [erg/cm2]   [erg/cm2]
    15- 25  4.726e-09   1.732e-09
    25- 50  1.687e-08   4.555e-09
    50-150  1.964e-08   8.673e-09
    15-150  4.124e-08   1.114e-08
    
    Thermal bremsstrahlung (OTTB)
     
     
    Spectral model: thermal bremsstrahlung
    ------------------------------------------------------------
    Parameters  : value         Lower 90%    Upper 90%
    kT [keV]    : 145.207       (-72.4394      -143.413)
    Norm        : 2.82448       (-0.594061     0.735695)
    ------------------------------------------------------------
    #Fit statistic : Chi-Squared =          57.69 using 59 PHA bins.
    # Reduced chi-squared =          1.012 for     57 degrees of freedom 
    # Null hypothesis probability =   4.495299e-01
     
    Energy  Fluence     90% Error
    [keV]   [erg/cm2]   [erg/cm2]
    15- 25  7.274e-09   4.190e-09
    25- 50  1.342e-08   7.610e-09
    50-150  2.613e-08   1.623e-08
    15-150  4.682e-08   2.789e-08
    
    Double BB
     
     
    Spectral model: bbodyrad<1> + bbodyrad<2>
    ------------------------------------------------------------
    Parameters  : value         Lower 90%    Upper 90%
    kT1 [keV]   : 6.65144        (-6.65145      -6.65145)
    R1^2/D10^2  : 0.242578        (-0.242499      -0.242499)
    kT2 [keV]   : 14.6665        (-14.6667      -14.6667)
    R2^2/D10^2  : 8.14109E-02    (-0.0814048   0.153322)
    ------------------------------------------------------------
    #Fit statistic : Chi-Squared =          51.93 using 59 PHA bins.
    # Reduced chi-squared =         0.9442 for     55 degrees of freedom 
    # Null hypothesis probability =   5.926259e-01
     
    Energy  Fluence     90% Error
    [keV]   [erg/cm2]   [erg/cm2]
    15- 25  5.309e-09   3.922e-09
    25- 50  1.633e-08   1.003e-08
    50-150  2.102e-08   1.441e-08
    15-150  4.266e-08   2.806e-08
    

    Pre-slew spectrum (Pre-slew PHA with pre-slew DRM)

    Power-law model
     
    Spectral model in power-law:
    ------------------------------------------------------------
    Parameters  : value       lower 90%   higher 90%
    Photon index: 1.84956     ( -0.174393   0.181616 )
    Norm@50keV  : 2.73010E-03    ( -0.000344049   0.000339258 )
    ------------------------------------------------------------
    #Fit statistic : Chi-Squared =          56.90 using 59 PHA bins.
    # Reduced chi-squared =         0.9982 for     57 degrees of freedom 
    # Null hypothesis probability =   4.789755e-01
     
    Photon flux (15-150 keV)    in 11.17 sec: 0.383677 ( -0.040208  0.0402107 ) ph/cm2/s
    Energy fluence (15-150 keV)             : 2.8039e-07 ( -3.50386e-08  3.58087e-08 ) ergs/cm2
     
    
    Cutoff power-law model
    Spectral model in the cutoff power-law:
    ------------------------------------------------------------
    Parameters  : value       lower 90%   higher 90%
    Photon index: -0.534118     ( -1.71574   1.21033 )
    Epeak [keV] : 42.2472      ( -4.87929 7.56866 )
    Norm@50keV  : 6.93040E-02    ( -0.0712188   0.672151 )
    ------------------------------------------------------------
    #Fit statistic : Chi-Squared =          41.50 using 59 PHA bins.
    # Reduced chi-squared =         0.7411 for     56 degrees of freedom 
    # Null hypothesis probability =   9.258593e-01
     
    Photon flux (15-150 keV)    in 11.17 sec: 0.358333 ( -0.041543  0.041486 ) ph/cm2/s
    Energy fluence (15-150 keV)             : 2.29642e-07 ( -3.24835e-08  3.73893e-08 ) ergs/cm2
     
    
    Band function
     
    Spectral model in the Band function:
    ------------------------------------------------------------
    Parameters  : value       lower 90%   higher 90%
    alpha       : 1.39454   ( -1.94301   1.97869 )
    beta        : -3.15400    ( 3.14787   0.747417 )
    Epeak [keV] : 39.3630      ( -4.44133 7.87218 )
    Norm@50keV   : 0.247362    ( -0.246902   5.3276 )
    ------------------------------------------------------------
    #Fit statistic : Chi-Squared =          40.05 using 59 PHA bins.
    # Reduced chi-squared =         0.7282 for     55 degrees of freedom 
    # Null hypothesis probability =   9.351017e-01
     
    Photon flux (15-150 keV)    in 11.17 sec:  (    ) ph/cm2/s
    Energy fluence (15-150 keV)             : 2.43612e-07 ( -2.43534e-07  -3.67571e-08 ) ergs/cm2
     
    

    S(25-50 keV) vs. S(50-100 keV) plot

    S(25-50 keV)  = 8.40e-08
    S(50-100 keV) = 9.61e-08
    

    T90 vs. Hardness ratio plot

    T90                                   = 10.8799999952316 sec.
    Hardness ratio (energy fluence ratio) = 1.14405
    

    Color vs. Color plot

    Count Ratio  (25-50 keV) / (15-25 keV) = 1.41909
    Count Ratio (50-100 keV) / (15-25 keV) = 0.529389
    

    Mask shadow pattern

    IMX = 1.936229680931073E-01, IMY = -2.219509725843758E-01
    

    TIME vs. PHA plot around the trigger time

    Blue+Cyan dotted lines: Time interval of the scaled map
    From 0.000000 to 1.024000
    

    TIME vs. DetID plot around the trigger time

    Blue+Cyan dotted lines: Time interval of the scaled map
    From 0.000000 to 1.024000
    

    100 us light curve (15-350 keV)

    Blue+Cyan dotted lines: Time interval of the scaled map
    From 0.000000 to 1.024000
    

    Spacecraft aspect plot

    Bright source in the pre-burst/pre-slew/post-slew images

    Pre-burst image of 15-350 keV band

    Time interval of the image:
    -239.000000 -0.472000
     
    # RAcent  DECcent POSerr Theta    Phi  PeakCts   SNR AngSep     Name
    #  [deg]    [deg]    ['] [deg]  [deg]                   [']
    265.0006 -44.3917    0.0  40.5  -84.7  -1.8837  -2.1   11.6	4U 1735-44                    
    276.0622 -30.2429   20.8  40.5  -59.0   0.2989   0.6   10.3	H1820-303                     
    285.0116 -24.9561   80.2  38.1  -44.4  -0.0433  -0.1    2.5	HT1900.1-2455                 
    341.5814  -4.2270    2.6  45.3   48.7   3.4616   4.5 ------	UNKNOWN                       
    315.9188  -0.9278    3.0  46.6   12.5   1.5347   3.9 ------	UNKNOWN                       
     73.2076 -63.7450    2.5  56.1  173.9   5.4577   4.6 ------	UNKNOWN                       
    304.3507  -1.0840    2.9  49.1   -2.7   1.5861   4.1 ------	UNKNOWN                       
    259.1652 -52.1655    3.3  41.1  -98.0   3.5003   3.5 ------	UNKNOWN                       
    

    Pre-slew background subtracted image of 15-350 keV band

    Time interval of the image:
    -0.472000 10.700600
     
    # RAcent  DECcent POSerr Theta    Phi  PeakCts   SNR AngSep     Name
    #  [deg]    [deg]    ['] [deg]  [deg]                   [']
    264.6562 -44.5494   26.0  40.7  -85.1   0.0612   0.4    7.0	4U 1735-44                    
    276.0834 -30.4038    5.0  40.4  -59.2   0.1858   2.3    8.5	H1820-303                     
    285.0179 -24.7862   12.0  38.2  -44.3   0.0533   1.0    8.1	HT1900.1-2455                 
    332.3503 -31.7616    0.8  16.4   48.9   0.4802  14.0 ------	UNKNOWN                       
     20.5372 -84.8007    2.1  40.3 -162.5   0.2641   5.5 ------	UNKNOWN                       
    

    Post-slew image of 15-350 keV band

    Time interval of the image:
    49.900610 685.900600
     
    # RAcent  DECcent POSerr Theta    Phi  PeakCts   SNR AngSep     Name
    #  [deg]    [deg]    ['] [deg]  [deg]                   [']
    285.1016 -24.8487    4.9  41.8  -71.5  -4.4126  -2.4    5.6	HT1900.1-2455                 
     38.8105 -78.4109    3.2  54.3 -171.7   4.7951   3.6 ------	UNKNOWN                       
    290.9302 -25.8021    3.3  36.5  -70.0   3.0620   3.6 ------	UNKNOWN                       
    281.8027 -42.2154    4.2  41.1  -98.1   6.3447   2.7 ------	UNKNOWN                       
    
    Plot creation:
    Sat May 30 15:06:53 EDT 2015