batgrbproduct Analysis for Trigger=595162

Analysis Summary

Notes:

======================================================================
                  BAT GRB EVENT DATA PROCESSING REPORT
    Process Script Ver: batgrbproduct v2.46
    Process Start Time (local time): Wed Apr  9 05:03:24 EDT 2014
             Host Name: gcn5
   Current Working Dir: /local/data/raid16/prebascript_archive/trigger595162/GCN5_download_cron
======================================================================

  Trigger: 00595162      Segment: 000

  BAT Trigger Time: 418670512   [s; MET]
      Trigger Stop: 418671352   [s; MET]
               UTC: 2014-04-08T17:21:40.138260    [includes UTCF correction] 
       Where From?: TDRSS position message

  BAT 
    RA: 113.599147353267   Dec: -50.4076924518858  [deg; J2000]

     Catalogged Source?: YES
     Point Source?:      YES
     GRB Indicated?:     NO    [ by BAT flight software ]
     Image S/N Ratio:    5.86
     Image Trigger?:     YES
     Rate S/N Ratio:     0  [ if not an image trigger ]
     Image S/N Ratio:    5.86

  Flight Position:   [ source = BAT ]
    RA: 113.599147353267   Dec: -50.4076924518858  [deg; J2000]

  Ground Position:   [ source = BAT pre-slew burst ]
    RA: 113.596044537585   Dec: -50.4040890558855  [deg; J2000]  
        { 07h 34m 23.1s , -50d 24' 14.7" }
         +/- 4.25139801372963 [arcmin] (estimated 90% radius based on SNR)
         +/- 2.88989759799428 [arcmin] (formal 1-sigma fit error)
    SNR: 3.8478298386969
 
  Angular difference between Flight and Ground position is 0.246623 arcmin
 
  Partial Coding Fraction: 0.40625    [ including projection effects ]

  Duration
     T90: 840 +/- 
        Measured from: 0
                   to: 840     [s; relative to TRIGTIME]
     T50: 840 +/- 
        Measured from: 0
                   to: 840     [s; relative to TRIGTIME]

    WARNING: battblocks failed.  Used TDRSS fore/background intervals

  Fluence
     Peak Flux  (peak 840 second)
        Measured from: 0     
                   to: 840     [s; relative to TRIGTIME]
     Total Fluence        
        Measured from: 0     
                   to: 840     [s; relative to TRIGTIME]
     
             Band 1     Band 2     Band 3     Band 4
              15-25      25-50     50-100    100-350     keV
 Total     1.256188   1.221799   0.242490  -0.042397
           0.272811   0.266400   0.220125   0.186484 [error]
 Peak      1.256188   1.221799   0.242490  -0.042397
           0.272811   0.266400   0.220125   0.186484 [error]

     [ fluence units of on-axis counts / fully illuminated detector ] 

======================================================================
 
=== Fluence/Peak Flux Summary ===
 
              Model    Band1    Band2    Band3    Band4    Band5    Total      
                       15-25    25-50   50-100  100-350   15-150   15-350   keV
Fluence   Power-law 5.26e-07 4.61e-07 2.78e-07 2.52e-07 1.37e-06 1.52e-06   erg/cm2
              Error 1.52e-07 1.45e-07 1.69e-07 3.25e-07 4.34e-07 5.90e-07   erg/cm2
Peak flux Power-law 2.09e-02 1.02e-02 3.08e-03 1.17e-03 3.49e-02 3.54e-02   ph/cm2/s
              Error 6.15e-03 3.10e-03 1.81e-03 1.43e-03 8.86e-03 9.05e-03   ph/cm2/s
 
Fluence   Cutoff-PL 5.23e-07 5.41e-07 1.16e-07 2.59e-09 1.18e-06 1.18e-06   erg/cm2
              Error 1.67e-07 2.02e-07 1.98e-07 1.38e-07 4.10e-07 5.19e-07   erg/cm2
Peak flux Cutoff-PL 2.03e-02 1.22e-02 1.43e-03 1.74e-05 3.40e-02 3.40e-02   ph/cm2/s
              Error 6.69e-03 4.24e-03 2.20e-03 9.08e-04 8.69e-03 8.69e-03   ph/cm2/s
 
Fluence        Band 0.00e+00 0.00e+00 0.00e+00 0.00e+00 0.00e+00 0.00e+00   erg/cm2
              Error 0.00e+00 0.00e+00 0.00e+00 0.00e+00 0.00e+00 0.00e+00   erg/cm2
Peak flux      Band 3.40e-02 0.00e+00 0.00e+00 0.00e+00 0.00e+00 0.00e+00   ph/cm2/s
              Error 0.00e+00 0.00e+00 0.00e+00 0.00e+00 0.00e+00 0.00e+00   ph/cm2/s
 
=== Time-averaged spectral analysis ===
 
Model Ph_index Ph_90err Epeak  Epeak_90err Norm     Nomr_90err chi2   dof
PL    2.733    0.572    -      -           1.53e-04 7.00e-05   42.890 57
CPL   0.755    0.000      19.3    0.0      3.54e-03 0.00e+00   41.150 56
 
 
=== 1-s peak spectral analysis ===
 
Model Ph_index Ph_90err Epeak  Epeak_90err Norm     Nomr_90err chi2   dof
PL    2.733    0.572    -      -           1.53e-04 7.00e-05   42.890 57
CPL   0.755    0.000      19.3    0.0      3.54e-03 0.00e+00   41.150 56
 
Model      : spectral model: simple power-law (PL) and cutoff power-law (CPL)
Ph_index   : photon index: E^-{Ph_index} (minus sign is not included in the index)
Ph_90err   : 90% error of the photon index
Epeak      : Epeak in keV
Epeak_90err: 90% error of Epeak
Norm       : normalization at 50 keV in PL model and at 1 keV in CPL model
Nomr_90err : 90% error of the normalization
chi2       : Chi-Squared
dof        : degree of freedom
 
=== T90/T50 calculation in the 50-300 keV band (BATSE band) using 64 ms lc ===
 
T90 in the 50-300 keV band: 0.000000 sec.
T50 in the 50-300 keV band: 0.000000 sec.
 
=== Table of the duration information ==
 
        Value   tstart    tstop
T100  840.000    0.000  840.000
T90   840.000    0.000  840.000
T50   840.000    0.000  840.000
Peak  840.000    0.000  840.000
  • Click here for the BAT GCN circular template

    Image

    Pre-slew 15-350 keV image (Event data; bkg subtracted)

    #   RAcent  DECcent POSerr  Theta    Phi     Peak Cts     SNR  Name
      113.5960 -50.4041 0.0498   44.2  -21.4       3.0185     3.8  TRIG_00595162       
    ------------------------------------------
     
    Foreground time interval of the image:
      0.000  19.730 (delta_t =  19.730 [sec])
     21.000 544.790 (delta_t = 523.790 [sec])
    546.000 665.060 (delta_t = 119.060 [sec])
    666.000 672.360 (delta_t =   6.360 [sec])
    674.000 840.000 (delta_t = 166.000 [sec])
    Background time interval of the image:
    

    Lightcurves

    Notes:

    1 s binning

    From T0-310 s to T0+310 s
    From T100_start - 20 s to T100_end + 30 s
    Full time interval

    64 ms binning

    Full time interval
    From T100_start to T100_end
    From T0-5 sec to T0+5 sec

    16 ms binning

    From T100_start-5 s to T100_start+5 s

    8 ms binning

    From T100_start-3 s to T100_start+3 s

    2 ms binning

    From T100_start-1 s to T100_start+1 s

    SN=5 or 10 sec. binning (whichever binning is satisfied first)

    SN=5 or 10 sec. binning (T < 200 sec)

    The mask-weighted light curves based on cleaned DPHs

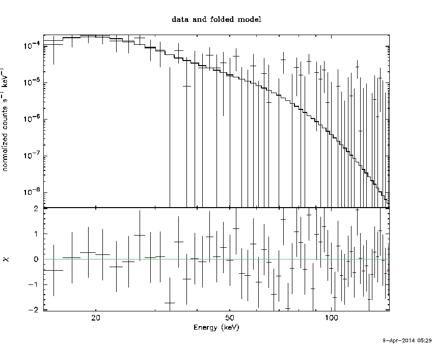
    Spectra

    Notes:

    Time averaged spectrum fit using the pre-slew DRM

    Power-law model
    Multiple GTIs in the spectrum
    tstart tstop
    0.000000 19.730000
    21.000000 544.790000
    546.000000 665.060000
    666.000000 672.360000
    674.000000 840.000000
     
    Spectral model in power-law:
    ------------------------------------------------------------
    Parameters  : value       lower 90%   higher 90%
    Photon index: 2.73335     ( -0.506608   0.637108 )
    Norm@50keV  : 1.52753E-04    ( -6.84796e-05   7.14437e-05 )
    ------------------------------------------------------------
    #Fit statistic : Chi-Squared =          42.89 using 59 PHA bins.
    # Reduced chi-squared =         0.7525 for     57 degrees of freedom 
    # Null hypothesis probability =   9.170458e-01
     
    Photon flux (15-150 keV)    in 834.9 sec: 3.48584E-02 ( -0.00885301  0.00885969 ) ph/cm2/s
    Energy fluence (15-150 keV)             : 1.37294e-06 ( -4.17266e-07  4.51119e-07 ) ergs/cm2
     
    
    Cutoff power-law model
    Multiple GTIs in the spectrum
    tstart tstop
    0.000000 19.730000
    21.000000 544.790000
    546.000000 665.060000
    666.000000 672.360000
    674.000000 840.000000
    Spectral model in the cutoff power-law:
    ------------------------------------------------------------
    Parameters  : value       lower 90%   higher 90%
    Photon index: 0.754942     (     )
    Epeak [keV] : 19.2853      (   )
    Norm@50keV  : 3.54092E-03    (     )
    ------------------------------------------------------------
    #Fit statistic : Chi-Squared =          41.15 using 59 PHA bins.
    # Reduced chi-squared =         0.7349 for     56 degrees of freedom 
    # Null hypothesis probability =   9.313662e-01
     
    Photon flux (15-150 keV)    in 834.9 sec: 3.39741E-02 ( -0.00864  0.0087368 ) ph/cm2/s
    Energy fluence (15-150 keV)             : 1.1831e-06 ( -3.47828e-07  4.72011e-07 ) ergs/cm2
     
    
    Band function
    Multiple GTIs in the spectrum
    tstart tstop
    0.000000 19.730000
    21.000000 544.790000
    546.000000 665.060000
    666.000000 672.360000
    674.000000 840.000000
     
    Spectral model in the Band function:
    ------------------------------------------------------------
    Parameters  : value       lower 90%   higher 90%
    alpha       : 4.71881   ( -7.6679   -4.71881 )
    beta        : -3.49306    ( 3.49306   0.960646 )
    Epeak [keV] : 22.0786      ( -5.40124 5.15574 )
    Norm@50keV   : 71.6969    ( -17.6857   852017 )
    ------------------------------------------------------------
    #Fit statistic : Chi-Squared =          40.63 using 59 PHA bins.
    # Reduced chi-squared =         0.7387 for     55 degrees of freedom 
    # Null hypothesis probability =   9.260032e-01
     
    Photon flux (15-150 keV)    in 834.9 sec:  (    ) ph/cm2/s
    Energy fluence (15-150 keV)             : 0 ( 0  0 ) ergs/cm2
     
    
    Single BB
     
    Spectral model blackbody:
    ------------------------------------------------------------
    Parameters  : value    Lower 90%  Upper 90%
    kT [keV]    : 6.14068  (-1.43778  1.83317)
    R^2/D10^2   : 0.119403  (-0.119368   0.271535)
    (R is the radius in km and D10 is the distance to the source in units of 10 kpc)
    ------------------------------------------------------------
    #Fit statistic : Chi-Squared =          41.51 using 59 PHA bins.
    # Reduced chi-squared =         0.7283 for     57 degrees of freedom 
    # Null hypothesis probability =   9.386847e-01
     
    Energy  Fluence     90% Error
    [keV]   [erg/cm2]   [erg/cm2]
    15- 25  5.160e-07   3.006e-07
    25- 50  5.410e-07   3.325e-07
    50-150  5.443e-08   4.469e-08
    15-150  1.111e-06   6.775e-07
    
    Thermal bremsstrahlung (OTTB)
     
     
    Spectral model: thermal bremsstrahlung
    ------------------------------------------------------------
    Parameters  : value         Lower 90%    Upper 90%
    kT [keV]    : 23.2351       (-9.49151      18.6196)
    Norm        : 0.363854       (-0.161557     0.340098)
    ------------------------------------------------------------
    #Fit statistic : Chi-Squared =          41.35 using 59 PHA bins.
    # Reduced chi-squared =         0.7255 for     57 degrees of freedom 
    # Null hypothesis probability =   9.408525e-01
     
    Energy  Fluence     90% Error
    [keV]   [erg/cm2]   [erg/cm2]
    15- 25  5.294e-07   2.020e-07
    25- 50  5.169e-07   2.622e-07
    50-150  1.970e-07   1.579e-07
    15-150  1.243e-06   6.071e-07
    
    Double BB
     
     
    Spectral model: bbodyrad<1> + bbodyrad<2>
    ------------------------------------------------------------
    Parameters  : value         Lower 90%    Upper 90%
    kT1 [keV]   : 4.98612        (-4.98715      -4.98715)
    R1^2/D10^2  : 0.228577        (-0.228468      -0.228468)
    kT2 [keV]   : 11.2174        (-11.2245      -11.2245)
    R2^2/D10^2  : 3.45881E-03    (-0.00344716   0.330235)
    ------------------------------------------------------------
    #Fit statistic : Chi-Squared =          40.87 using 59 PHA bins.
    # Reduced chi-squared =         0.7431 for     55 degrees of freedom 
    # Null hypothesis probability =   9.220284e-01
     
    Energy  Fluence     90% Error
    [keV]   [erg/cm2]   [erg/cm2]
    15- 25  5.352e-07   3.193e-07
    25- 50  5.186e-07   3.806e-07
    50-150  1.713e-07   1.420e-07
    15-150  1.225e-06   7.765e-07
    

    Peak spectrum fit

    Power-law model
    Time interval is from  674.000 sec. to  840.000 sec.
     
    Spectral model in power-law:
    ------------------------------------------------------------
    Parameters  : value       lower 90%   higher 90%
    Photon index: 2.73335     ( -0.506608   0.637108 )
    Norm@50keV  : 1.52753E-04    ( -6.84796e-05   7.14437e-05 )
    ------------------------------------------------------------
    #Fit statistic : Chi-Squared =          42.89 using 59 PHA bins.
    # Reduced chi-squared =         0.7525 for     57 degrees of freedom 
    # Null hypothesis probability =   9.170458e-01
     
    Photon flux (15-150 keV)    in 834.9 sec: 3.48584E-02 ( -0.00885301  0.00885969 ) ph/cm2/s
    Energy fluence (15-150 keV)             : 1.37294e-06 ( -4.17266e-07  4.51119e-07 ) ergs/cm2
     
    
    Cutoff power-law model
    Time interval is from  674.000 sec. to  840.000 sec.
    Spectral model in the cutoff power-law:
    ------------------------------------------------------------
    Parameters  : value       lower 90%   higher 90%
    Photon index: 0.754942     (     )
    Epeak [keV] : 19.2853      (   )
    Norm@50keV  : 3.54092E-03    (     )
    ------------------------------------------------------------
    #Fit statistic : Chi-Squared =          41.15 using 59 PHA bins.
    # Reduced chi-squared =         0.7349 for     56 degrees of freedom 
    # Null hypothesis probability =   9.313662e-01
     
    Photon flux (15-150 keV)    in 834.9 sec: 3.39741E-02 ( -0.00864  0.0087368 ) ph/cm2/s
    Energy fluence (15-150 keV)             : 1.1831e-06 ( -3.47828e-07  4.72011e-07 ) ergs/cm2
     
    
    Band function
    Time interval is from  674.000 sec. to  840.000 sec.
     
    Spectral model in the Band function:
    ------------------------------------------------------------
    Parameters  : value       lower 90%   higher 90%
    alpha       : 4.87222   ( -8.29603   -4.87222 )
    beta        : -3.48713    ( -4.98749   0.954992 )
    Epeak [keV] : 22.0474      ( -22.0474 5.11894 )
    Norm@50keV   : 95.8973    ( -23.6559   851458 )
    ------------------------------------------------------------
    #Fit statistic : Chi-Squared =          40.63 using 59 PHA bins.
    # Reduced chi-squared =         0.7388 for     55 degrees of freedom 
    # Null hypothesis probability =   9.259641e-01
     
    Photon flux (15-150 keV)    in 834.9 sec:  (    ) ph/cm2/s
    Energy fluence (15-150 keV)             : 0 ( 0  0 ) ergs/cm2
     
    
    Single BB
     
    Spectral model blackbody:
    ------------------------------------------------------------
    Parameters  : value    Lower 90%  Upper 90%
    kT [keV]    : 6.14068  (-1.43778  1.83317)
    R^2/D10^2   : 0.119403  (-0.119368   0.271535)
    (R is the radius in km and D10 is the distance to the source in units of 10 kpc)
    ------------------------------------------------------------
    #Fit statistic : Chi-Squared =          41.51 using 59 PHA bins.
    # Reduced chi-squared =         0.7283 for     57 degrees of freedom 
    # Null hypothesis probability =   9.386847e-01
     
    Energy  Fluence     90% Error
    [keV]   [erg/cm2]   [erg/cm2]
    15- 25  5.160e-07   3.055e-07
    25- 50  5.410e-07   3.194e-07
    50-150  5.443e-08   4.551e-08
    15-150  1.111e-06   6.604e-07
    
    Thermal bremsstrahlung (OTTB)
     
     
    Spectral model: thermal bremsstrahlung
    ------------------------------------------------------------
    Parameters  : value         Lower 90%    Upper 90%
    kT [keV]    : 23.2351       (-9.49151      18.6196)
    Norm        : 0.363854       (-0.161557     0.340098)
    ------------------------------------------------------------
    #Fit statistic : Chi-Squared =          41.35 using 59 PHA bins.
    # Reduced chi-squared =         0.7255 for     57 degrees of freedom 
    # Null hypothesis probability =   9.408525e-01
     
    Energy  Fluence     90% Error
    [keV]   [erg/cm2]   [erg/cm2]
    15- 25  5.294e-07   2.240e-07
    25- 50  5.169e-07   2.605e-07
    50-150  1.970e-07   1.638e-07
    15-150  1.243e-06   5.413e-07
    
    Double BB
     
     
    Spectral model: bbodyrad<1> + bbodyrad<2>
    ------------------------------------------------------------
    Parameters  : value         Lower 90%    Upper 90%
    kT1 [keV]   : 4.98612        (-4.98715      -4.98715)
    R1^2/D10^2  : 0.228577        (-0.228468      -0.228468)
    kT2 [keV]   : 11.2174        (-11.2245      -11.2245)
    R2^2/D10^2  : 3.45881E-03    (-0.00344716   0.330235)
    ------------------------------------------------------------
    #Fit statistic : Chi-Squared =          40.87 using 59 PHA bins.
    # Reduced chi-squared =         0.7431 for     55 degrees of freedom 
    # Null hypothesis probability =   9.220284e-01
     
    Energy  Fluence     90% Error
    [keV]   [erg/cm2]   [erg/cm2]
    15- 25  5.352e-07   3.580e-07
    25- 50  5.186e-07   3.871e-07
    50-150  1.713e-07   9.927e-08
    15-150  1.225e-06   7.656e-07
    

    Pre-slew spectrum (Pre-slew PHA with pre-slew DRM)

    Power-law model
     
    Spectral model in power-law:
    ------------------------------------------------------------
    Parameters  : value       lower 90%   higher 90%
    Photon index: 2.73335     ( -0.506608   0.637108 )
    Norm@50keV  : 1.52753E-04    ( -6.84796e-05   7.14437e-05 )
    ------------------------------------------------------------
    #Fit statistic : Chi-Squared =          42.89 using 59 PHA bins.
    # Reduced chi-squared =         0.7525 for     57 degrees of freedom 
    # Null hypothesis probability =   9.170458e-01
     
    Photon flux (15-150 keV)    in 834.9 sec: 3.48584E-02 ( -0.00885301  0.00885969 ) ph/cm2/s
    Energy fluence (15-150 keV)             : 1.37294e-06 ( -4.17266e-07  4.51119e-07 ) ergs/cm2
     
    
    Cutoff power-law model
    Spectral model in the cutoff power-law:
    ------------------------------------------------------------
    Parameters  : value       lower 90%   higher 90%
    Photon index: 0.754942     (     )
    Epeak [keV] : 19.2853      (   )
    Norm@50keV  : 3.54092E-03    (     )
    ------------------------------------------------------------
    #Fit statistic : Chi-Squared =          41.15 using 59 PHA bins.
    # Reduced chi-squared =         0.7349 for     56 degrees of freedom 
    # Null hypothesis probability =   9.313662e-01
     
    Photon flux (15-150 keV)    in 834.9 sec: 3.39741E-02 ( -0.00864  0.0087368 ) ph/cm2/s
    Energy fluence (15-150 keV)             : 1.1831e-06 ( -3.47828e-07  4.72011e-07 ) ergs/cm2
     
    
    Band function
     
    Spectral model in the Band function:
    ------------------------------------------------------------
    Parameters  : value       lower 90%   higher 90%
    alpha       : 4.13985   ( -6.99736   -4.13983 )
    beta        : -3.50989    ( 3.50983   1.04914 )
    Epeak [keV] : 22.1412      ( -22.1417 5.56307 )
    Norm@50keV   : 24.3733    ( -24.3681   23.9279 )
    ------------------------------------------------------------
    #Fit statistic : Chi-Squared =          40.62 using 59 PHA bins.
    # Reduced chi-squared =         0.7386 for     55 degrees of freedom 
    # Null hypothesis probability =   9.261021e-01
     
    Photon flux (15-150 keV)    in 834.9 sec:  (    ) ph/cm2/s
    Energy fluence (15-150 keV)             : 0 ( 0  0 ) ergs/cm2
     
    

    S(25-50 keV) vs. S(50-100 keV) plot

    S(25-50 keV)  = 4.61431e-07
    S(50-100 keV) = 2.77574e-07
    

    T90 vs. Hardness ratio plot

    T90                                   = 840 sec.
    Hardness ratio (energy fluence ratio) = 0.60155
    

    Color vs. Color plot

    Count Ratio  (25-50 keV) / (15-25 keV) = 0.972624
    Count Ratio (50-100 keV) / (15-25 keV) = 0.193036
    

    Mask shadow pattern

    IMX = 9.043265192677391E-01, IMY = 3.542333241190493E-01
    

    TIME vs. PHA plot around the trigger time

    TIME vs. DetID plot around the trigger time

    100 us light curve (15-350 keV)

    Spacecraft aspect plot

    Bright source in the pre-burst/pre-slew/post-slew images

    Pre-burst image of 15-350 keV band

    Time interval of the image:
     
    

    Pre-slew background subtracted image of 15-350 keV band

    Time interval of the image:
    0.000000 19.730000
    21.000000 544.790000
    546.000000 665.060000
    666.000000 672.360000
    674.000000 840.000000
     
    # RAcent  DECcent POSerr Theta    Phi  PeakCts   SNR AngSep     Name
    #  [deg]    [deg]    ['] [deg]  [deg]                   [']
    135.5454 -40.5339    0.5  40.3    5.2  16.2041  22.0    1.5	Vela X-1                      
    170.3174 -60.7765    4.9  11.8  -13.1   1.1561   2.3    9.2	Cen X-3                       
    186.6583 -62.7639    0.4   4.9  -43.7  14.6534  30.9    0.4	GX 301-2                      
    255.9769 -37.9319   20.5  44.2 -176.1   0.4510   0.6    5.3	4U 1700-377                   
    256.3620 -36.3919    9.4  45.6 -177.1   1.0737   1.2    4.0	GX 349+2                      
    264.6376 -44.4329   25.0  43.8 -162.8  -0.4169  -0.5    4.6	4U 1735-44                    
    262.9631 -33.7812    4.2  51.0 -173.7   3.3263   2.7    3.5	GX 354-0                      
    150.8221 -19.7325    3.7  50.1   37.3   7.8072   3.1 ------	UNKNOWN                       
    130.8731 -31.5032    3.6  49.7    9.2   3.6097   3.2 ------	UNKNOWN                       
    121.5060 -28.7753    2.8  56.7    3.0  11.0986   4.0 ------	UNKNOWN                       
    128.9620 -35.5315    2.6  47.5    4.2   3.8978   4.5 ------	UNKNOWN                       
    118.7672 -30.4210    2.8  56.7   -0.5  10.5510   4.1 ------	UNKNOWN                       
    188.1807 -61.8142    2.7   3.8  -40.2   1.8880   4.3 ------	UNKNOWN                       
    255.2238 -41.7933    2.4  40.9 -172.9   3.7056   4.9 ------	UNKNOWN                       
    103.4964 -41.4673    3.2  55.5  -20.4   6.9089   3.6 ------	UNKNOWN                       
    104.8521 -54.7272    3.3  45.0  -31.1   3.0506   3.5 ------	UNKNOWN                       
     97.1921 -40.7904    3.8  58.9  -24.4  11.2076   3.1 ------	UNKNOWN                       
     93.8129 -45.3213    3.3  56.7  -29.9  11.8788   3.5 ------	UNKNOWN                       
     78.6002 -64.6390    3.1  46.9  -53.7  10.1187   3.7 ------	UNKNOWN                       
    

    Post-slew image of 15-350 keV band

    Time interval of the image:
     
    
    Plot creation:
    Wed Apr  9 05:30:21 EDT 2014