batgrbproduct Analysis for Trigger=599546

Analysis Summary

Notes:

======================================================================
                  BAT GRB EVENT DATA PROCESSING REPORT
    Process Script Ver: batgrbproduct v2.46
    Process Start Time (local time): Sat Oct  4 22:40:28 EDT 2014
             Host Name: batevent1
   Current Working Dir: /local/data/batevent/batevent_reproc/trigger599546
======================================================================

  Trigger: 00599546      Segment: 000

  BAT Trigger Time: 422386470.528   [s; MET]
      Trigger Stop: 422386471.04   [s; MET]
               UTC: 2014-05-21T17:34:18.488820    [includes UTCF correction] 
       Where From?: TDRSS position message

  BAT 
    RA: 320.012929795079   Dec: 67.6017447960794  [deg; J2000]

     Catalogged Source?: NO
     Point Source?:      YES
     GRB Indicated?:     YES    [ by BAT flight software ]
     Image S/N Ratio:    7.49
     Image Trigger?:     NO
     Rate S/N Ratio:     21  [ if not an image trigger ]
     Image S/N Ratio:    7.49

  Flight Position:   [ source = BAT ]
    RA: 320.012929795079   Dec: 67.6017447960794  [deg; J2000]

  Ground Position:   [ source = BAT pre-slew burst ]
    RA: 320.176228895895   Dec: 67.5869561798523  [deg; J2000]  
        { 21h 20m 42.3s , +67d 35' 13.0" }
         +/- 1.10825116481743 [arcmin] (estimated 90% radius based on SNR)
         +/- 0.355983870185064 [arcmin] (formal 1-sigma fit error)
    SNR: 26.263314113634
 
  Angular difference between Flight and Ground position is 3.838562 arcmin
 
  Partial Coding Fraction: 0.5546875    [ including projection effects ]

  Duration
     T90: 9.87599992752075 +/- 1.09238088792287
        Measured from: 0.480000019073486
                   to: 10.3559999465942     [s; relative to TRIGTIME]
     T50: 5.41999995708466 +/- 0.604052961815898
        Measured from: 1.65200001001358
                   to: 7.07199996709824     [s; relative to TRIGTIME]



  Fluence
     Peak Flux  (peak 1 second)
        Measured from: 0.643999993801117     
                   to: 1.64399999380112     [s; relative to TRIGTIME]
     Total Fluence        
        Measured from: 0.15200001001358     
                   to: 11.4520000219345     [s; relative to TRIGTIME]
     
             Band 1     Band 2     Band 3     Band 4
              15-25      25-50     50-100    100-350     keV
 Total     0.350072   0.517031   0.419325   0.129458
           0.028258   0.029572   0.025951   0.020019 [error]
 Peak      0.047280   0.051910   0.104210   0.049246
           0.008392   0.009192   0.009165   0.007352 [error]

     [ fluence units of on-axis counts / fully illuminated detector ] 

======================================================================
 
=== Fluence/Peak Flux Summary ===
 
              Model    Band1    Band2    Band3    Band4    Band5    Total      
                       15-25    25-50   50-100  100-350   15-150   15-350   keV
Fluence   Power-law 1.17e-07 2.24e-07 3.32e-07 1.06e-06 9.38e-07 1.74e-06   erg/cm2
              Error 1.31e-08 1.50e-08 2.57e-08 1.82e-07 6.31e-08 1.99e-07   erg/cm2
Peak flux Power-law 3.04e-01 5.03e-01 6.32e-01 1.58e+00 1.88e+00 3.02e+00   ph/cm2/s
              Error 8.79e-02 8.79e-02 6.98e-02 4.09e-01 2.22e-01 4.02e-01   ph/cm2/s
 
Fluence   Cutoff-PL 1.17e-07 2.24e-07 3.33e-07 1.05e-06 9.38e-07 1.73e-06   erg/cm2
              Error 1.41e-08 1.17e-08 2.64e-08 2.95e-07 6.46e-08 2.99e-07   erg/cm2
Peak flux Cutoff-PL 3.07e-01 5.06e-01 6.32e-01 1.56e+00 1.88e+00 3.00e+00   ph/cm2/s
              Error 9.33e-02 -------- 7.83e-02 4.66e-01 2.21e-01 5.65e-01   ph/cm2/s
 
Fluence        Band -------- -------- -------- -------- -------- --------   erg/cm2
              Error -------- -------- -------- -------- -------- --------   erg/cm2
Peak flux      Band -------- -------- -------- -------- -------- --------   ph/cm2/s
              Error -------- -------- -------- -------- -------- --------   ph/cm2/s
 
=== Time-averaged spectral analysis ===
 
Model Ph_index Ph_90err Epeak  Epeak_90err Norm     Nomr_90err chi2   dof
PL    1.428    0.109    -      -           8.64e-03 5.30e-04   50.800 57
CPL   1.425    0.250    9999.0    0.0      8.67e-03 2.58e-03   50.800 56
 
 
=== 1-s peak spectral analysis ===
 
Model Ph_index Ph_90err Epeak  Epeak_90err Norm     Nomr_90err chi2   dof
PL    0.670    0.219    -      -           1.62e-02 2.06e-03   47.190 57
CPL   0.669    0.221    9999.4    0.0      1.64e-02 7.93e-03   47.200 56
 
Model      : spectral model: simple power-law (PL) and cutoff power-law (CPL)
Ph_index   : photon index: E^-{Ph_index} (minus sign is not included in the index)
Ph_90err   : 90% error of the photon index
Epeak      : Epeak in keV
Epeak_90err: 90% error of Epeak
Norm       : normalization at 50 keV in PL model and at 1 keV in CPL model
Nomr_90err : 90% error of the normalization
chi2       : Chi-Squared
dof        : degree of freedom
 
=== T90/T50 calculation in the 50-300 keV band (BATSE band) using 64 ms lc ===
 
T90 in the 50-300 keV band: 7.168000 sec.
T50 in the 50-300 keV band: 3.712000 sec.
 
=== Table of the duration information ==
 
        Value   tstart    tstop
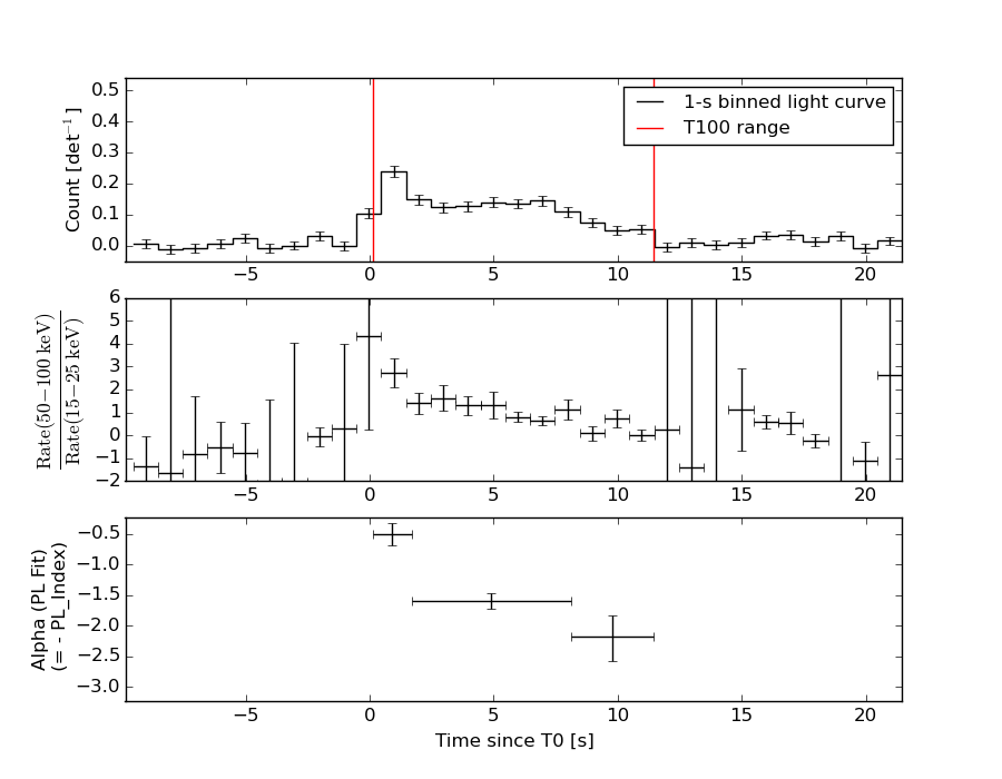
T100   11.300    0.152   11.452
T90     9.876    0.480   10.356
T50     5.420    1.652    7.072
Peak    1.000    0.644    1.644
  • Click here for the BAT GCN circular template
  • Special notes of this burst

    Image

    Pre-slew 15.0-350.0 keV image (Event data)

    #   RAcent    DECcent   POSerr    Theta     Phi              Peak Cts       SNR   Name
      320.1762    67.5870   0.0073    30.2645  -123.5849         1.5601485     26.263 TRIG_00599546                 
     
    Foreground time interval of the image:
      0.152  11.452 (delta_t =  11.300 [sec])
    Background time interval of the image:
    -34.227   0.152 (delta_t =  34.379 [sec])
    

    Lightcurves

    Notes:

    1 s binning

    From T0-310 s to T0+310 s
    From T100_start - 20 s to T100_end + 30 s
    Full time interval

    64 ms binning

    Full time interval
    From T100_start to T100_end
    From T0-5 sec to T0+5 sec

    16 ms binning

    From T100_start-5 s to T100_start+5 s
    Blue+Cyan dotted lines: Time interval of the scaled map
    From 0.000000 to 0.512000
    

    8 ms binning

    From T100_start-3 s to T100_start+3 s
    Blue+Cyan dotted lines: Time interval of the scaled map
    From 0.000000 to 0.512000
    

    2 ms binning

    From T100_start-1 s to T100_start+1 s
    Blue+Cyan dotted lines: Time interval of the scaled map
    From 0.000000 to 0.512000
    

    SN=5 or 10 sec. binning (whichever binning is satisfied first)

    SN=5 or 10 sec. binning (T < 200 sec)

    Quad-rate summed light curves (from T0-300s to T0+1000s)

    Spectral Evolution

    Spectra

    Notes:

    Time averaged spectrum fit using the average DRM

    Power-law model
    Time interval is from    0.152 sec. to   11.452 sec.
     
    Spectral model in power-law:
    ------------------------------------------------------------
    Parameters  : value       lower 90%   higher 90%
    Photon index: 1.42849     ( -0.109397   0.109304 )
    Norm@50keV  : 8.63625E-03    ( -0.000530335   0.000529404 )
    ------------------------------------------------------------
    #Fit statistic : Chi-Squared =          50.80 using 59 PHA bins.
    # Reduced chi-squared =         0.8912 for     57 degrees of freedom 
    # Null hypothesis probability =   7.054513e-01
     
    Photon flux (15-150 keV)    in 11.3 sec: 1.05874 ( -0.0673032  0.0674641 ) ph/cm2/s
    Energy fluence (15-150 keV)             : 9.37655e-07 ( -6.29077e-08  6.32927e-08 ) ergs/cm2
     
    
    Cutoff power-law model
    Time interval is from    0.152 sec. to   11.452 sec.
    Spectral model in the cutoff power-law:
    ------------------------------------------------------------
    Parameters  : value       lower 90%   higher 90%
    Photon index: 1.42549     ( -0.363106   0.136696 )
    Epeak [keV] : 9999.05      (   )
    Norm@50keV  : 8.66601E-03    ( -0.000532368   0.00462162 )
    ------------------------------------------------------------
    #Fit statistic : Chi-Squared =          50.80 using 59 PHA bins.
    # Reduced chi-squared =         0.9072 for     56 degrees of freedom 
    # Null hypothesis probability =   6.713921e-01
     
    Photon flux (15-150 keV)    in 11.3 sec: 1.05853 ( -0.06666  0.06683 ) ph/cm2/s
    Energy fluence (15-150 keV)             : 9.37564e-07 ( -6.60948e-08  6.30563e-08 ) ergs/cm2
     
    
    Band function
    Time interval is from    0.152 sec. to   11.452 sec.
     
    Spectral model in the Band function:
    ------------------------------------------------------------
    Parameters  : value       lower 90%   higher 90%
    alpha       : 0.405721   ( -3.39823   -3.39823 )
    beta        : -1.48233    ( -0.150197   0.133965 )
    Epeak [keV] : 35.1972      ( -35.0537 136.561 )
    Norm@50keV   : 0.177456    ( -0.185509   351.341 )
    ------------------------------------------------------------
    #Fit statistic : Chi-Squared =          49.62 using 59 PHA bins.
    # Reduced chi-squared =         0.9021 for     55 degrees of freedom 
    # Null hypothesis probability =   6.797216e-01
     
    Photon flux (15-150 keV)    in 11.3 sec:  (    ) ph/cm2/s
    Energy fluence (15-150 keV)             : 0 ( 0  0 ) ergs/cm2
     
    
    Single BB
     
    Spectral model blackbody:
    ------------------------------------------------------------
    Parameters  : value    Lower 90%  Upper 90%
    kT [keV]    : 16.3179  (  )
    R^2/D10^2   : 8.87813E-02  (   )
    (R is the radius in km and D10 is the distance to the source in units of 10 kpc)
    ------------------------------------------------------------
    #Fit statistic : Chi-Squared =         128.27 using 59 PHA bins.
    # Reduced chi-squared =         2.2504 for     57 degrees of freedom 
    # Null hypothesis probability =   2.077588e-07
     
    Energy  Fluence     90% Error
    [keV]   [erg/cm2]   [erg/cm2]
    15- 25  5.498e-08   6.774e-09
    25- 50  2.353e-07   2.102e-08
    50-150  4.411e-07   4.882e-08
    15-150  7.313e-07   5.531e-08
    
    Thermal bremsstrahlung (OTTB)
     
     
    Spectral model: thermal bremsstrahlung
    ------------------------------------------------------------
    Parameters  : value         Lower 90%    Upper 90%
    kT [keV]    : 200.000       (      )
    Norm        : 4.37307       (-0.267236     0.267214)
    ------------------------------------------------------------
    #Fit statistic : Chi-Squared =          56.46 using 59 PHA bins.
    # Reduced chi-squared =         0.9906 for     57 degrees of freedom 
    # Null hypothesis probability =   4.951195e-01
     
    Energy  Fluence     90% Error
    [keV]   [erg/cm2]   [erg/cm2]
    15- 25  1.231e-07   8.588e-09
    25- 50  2.368e-07   1.927e-08
    50-150  5.192e-07   1.118e-07
    15-150  8.791e-07   1.335e-07
    
    Double BB
     
     
    Spectral model: bbodyrad<1> + bbodyrad<2>
    ------------------------------------------------------------
    Parameters  : value         Lower 90%    Upper 90%
    kT1 [keV]   : 7.35000        (-1.24724      1.46404)
    R1^2/D10^2  : 0.962203        (-0.434084      0.877287)
    kT2 [keV]   : 31.7923        (-6.02793      11.1603)
    R2^2/D10^2  : 7.57462E-03    (-0.00459662   0.00791425)
    ------------------------------------------------------------
    #Fit statistic : Chi-Squared =          49.59 using 59 PHA bins.
    # Reduced chi-squared =         0.9017 for     55 degrees of freedom 
    # Null hypothesis probability =   6.806362e-01
     
    Energy  Fluence     90% Error
    [keV]   [erg/cm2]   [erg/cm2]
    15- 25  1.120e-07   2.462e-08
    25- 50  2.311e-07   3.836e-08
    50-150  6.030e-07   1.596e-07
    15-150  9.462e-07   2.300e-07
    

    Peak spectrum fit

    Power-law model
    Time interval is from    0.644 sec. to    1.644 sec.
     
    Spectral model in power-law:
    ------------------------------------------------------------
    Parameters  : value       lower 90%   higher 90%
    Photon index: 0.670469     ( -0.224942   0.212756 )
    Norm@50keV  : 1.62315E-02    ( -0.00209424   0.00203134 )
    ------------------------------------------------------------
    #Fit statistic : Chi-Squared =          47.19 using 59 PHA bins.
    # Reduced chi-squared =         0.8278 for     57 degrees of freedom 
    # Null hypothesis probability =   8.198001e-01
     
    Photon flux (15-150 keV)    in 1 sec: 1.88093 ( -0.221375  0.222446 ) ph/cm2/s
    Energy fluence (15-150 keV)             : 2.00808e-07 ( -2.31016e-08  2.31655e-08 ) ergs/cm2
     
    
    Cutoff power-law model
    Time interval is from    0.644 sec. to    1.644 sec.
    Spectral model in the cutoff power-law:
    ------------------------------------------------------------
    Parameters  : value       lower 90%   higher 90%
    Photon index: 0.668556     ( -0.233325   0.20952 )
    Epeak [keV] : 9999.36      ( -9999.36 -9999.36 )
    Norm@50keV  : 1.63793E-02    ( -0.00210748   0.0137464 )
    ------------------------------------------------------------
    #Fit statistic : Chi-Squared =          47.20 using 59 PHA bins.
    # Reduced chi-squared =         0.8429 for     56 degrees of freedom 
    # Null hypothesis probability =   7.926361e-01
     
    Photon flux (15-150 keV)    in 1 sec: 1.88391 ( -0.22424  0.21709 ) ph/cm2/s
    Energy fluence (15-150 keV)             : 2.00766e-07 ( -2.2998e-08  2.3232e-08 ) ergs/cm2
     
    
    Band function
    Time interval is from    0.644 sec. to    1.644 sec.
     
    Spectral model in the Band function:
    ------------------------------------------------------------
    Parameters  : value       lower 90%   higher 90%
    alpha       : -0.954551   ( 0.954551   0.954551 )
    beta        : -0.670467    ( -0.21281   0.225313 )
    Epeak [keV] : 12.6389      ( -12.6389 -12.6389 )
    Norm@50keV   : 2.43677E-02    ( -0.0104433   204683 )
    ------------------------------------------------------------
    #Fit statistic : Chi-Squared =          47.19 using 59 PHA bins.
    # Reduced chi-squared =         0.8579 for     55 degrees of freedom 
    # Null hypothesis probability =   7.640079e-01
     
    Photon flux (15-150 keV)    in 1 sec:  (    ) ph/cm2/s
    Energy fluence (15-150 keV)             : 0 ( 0  0 ) ergs/cm2
     
    
    Single BB
     
    Spectral model blackbody:
    ------------------------------------------------------------
    Parameters  : value    Lower 90%  Upper 90%
    kT [keV]    : 32.7060  (-5.07504  6.95372)
    R^2/D10^2   : 2.28629E-02  (-0.00927042   0.0139866)
    (R is the radius in km and D10 is the distance to the source in units of 10 kpc)
    ------------------------------------------------------------
    #Fit statistic : Chi-Squared =          56.32 using 59 PHA bins.
    # Reduced chi-squared =         0.9881 for     57 degrees of freedom 
    # Null hypothesis probability =   5.005220e-01
     
    Energy  Fluence     90% Error
    [keV]   [erg/cm2]   [erg/cm2]
    15- 25  3.622e-09   9.675e-10
    25- 50  2.311e-08   4.495e-09
    50-150  1.680e-07   3.070e-08
    15-150  1.947e-07   3.225e-08
    
    Thermal bremsstrahlung (OTTB)
     
     
    Spectral model: thermal bremsstrahlung
    ------------------------------------------------------------
    Parameters  : value         Lower 90%    Upper 90%
    kT [keV]    : 200.000       (      )
    Norm        : 7.49795       (-0.925638     0.925583)
    ------------------------------------------------------------
    #Fit statistic : Chi-Squared =          95.26 using 59 PHA bins.
    # Reduced chi-squared =          1.671 for     57 degrees of freedom 
    # Null hypothesis probability =   1.115536e-03
     
    Energy  Fluence     90% Error
    [keV]   [erg/cm2]   [erg/cm2]
    15- 25  1.868e-08   1.047e-08
    25- 50  3.592e-08   1.985e-08
    50-150  7.879e-08   4.334e-08
    15-150  1.334e-07   7.365e-08
    
    Double BB
     
     
    Spectral model: bbodyrad<1> + bbodyrad<2>
    ------------------------------------------------------------
    Parameters  : value         Lower 90%    Upper 90%
    kT1 [keV]   : 4.18689        (-1.50104      2.52182)
    R1^2/D10^2  : 9.57982        (-8.38631      89.7039)
    kT2 [keV]   : 37.9059        (-6.82784      10.9033)
    R2^2/D10^2  : 1.47117E-02    (-0.00706396   0.0107748)
    ------------------------------------------------------------
    #Fit statistic : Chi-Squared =          41.30 using 59 PHA bins.
    # Reduced chi-squared =         0.7509 for     55 degrees of freedom 
    # Null hypothesis probability =   9.144878e-01
     
    Energy  Fluence     90% Error
    [keV]   [erg/cm2]   [erg/cm2]
    15- 25  1.366e-08   7.238e-09
    25- 50  2.346e-08   6.485e-09
    50-150  1.699e-07   4.420e-08
    15-150  2.070e-07   4.935e-08
    

    Pre-slew spectrum (Pre-slew PHA with pre-slew DRM)

    Power-law model
     
    Spectral model in power-law:
    ------------------------------------------------------------
    Parameters  : value       lower 90%   higher 90%
    Photon index: 1.42849     ( -0.109397   0.109304 )
    Norm@50keV  : 8.63625E-03    ( -0.000530335   0.000529404 )
    ------------------------------------------------------------
    #Fit statistic : Chi-Squared =          50.80 using 59 PHA bins.
    # Reduced chi-squared =         0.8912 for     57 degrees of freedom 
    # Null hypothesis probability =   7.054513e-01
     
    Photon flux (15-150 keV)    in 11.3 sec: 1.05874 ( -0.0673032  0.0674641 ) ph/cm2/s
    Energy fluence (15-150 keV)             : 9.37655e-07 ( -6.29077e-08  6.32927e-08 ) ergs/cm2
     
    
    Cutoff power-law model
    Spectral model in the cutoff power-law:
    ------------------------------------------------------------
    Parameters  : value       lower 90%   higher 90%
    Photon index: 1.42549     ( -0.363106   0.136696 )
    Epeak [keV] : 9999.05      (   )
    Norm@50keV  : 8.66601E-03    ( -0.000532368   0.00462162 )
    ------------------------------------------------------------
    #Fit statistic : Chi-Squared =          50.80 using 59 PHA bins.
    # Reduced chi-squared =         0.9072 for     56 degrees of freedom 
    # Null hypothesis probability =   6.713921e-01
     
    Photon flux (15-150 keV)    in 11.3 sec: 1.05853 ( -0.06666  0.06683 ) ph/cm2/s
    Energy fluence (15-150 keV)             : 9.37564e-07 ( -6.60948e-08  6.30563e-08 ) ergs/cm2
     
    
    Band function
     
    Spectral model in the Band function:
    ------------------------------------------------------------
    Parameters  : value       lower 90%   higher 90%
    alpha       : 0.405721   ( -3.39823   -3.39823 )
    beta        : -1.48233    ( -0.150197   0.133965 )
    Epeak [keV] : 35.1972      ( -35.0537 175.82 )
    Norm@50keV   : 0.177456    ( -0.185509   419.549 )
    ------------------------------------------------------------
    #Fit statistic : Chi-Squared =          49.62 using 59 PHA bins.
    # Reduced chi-squared =         0.9021 for     55 degrees of freedom 
    # Null hypothesis probability =   6.797216e-01
     
    Photon flux (15-150 keV)    in 11.3 sec:  (    ) ph/cm2/s
    Energy fluence (15-150 keV)             : 0 ( 0  0 ) ergs/cm2
     
    

    S(25-50 keV) vs. S(50-100 keV) plot

    S(25-50 keV)  = 2.24e-07
    S(50-100 keV) = 3.32e-07
    

    T90 vs. Hardness ratio plot

    T90                                   = 9.87599992752075 sec.
    Hardness ratio (energy fluence ratio) = 1.48214
    

    Color vs. Color plot

    Count Ratio  (25-50 keV) / (15-25 keV) = 1.47693
    Count Ratio (50-100 keV) / (15-25 keV) = 1.19783
    

    Mask shadow pattern

    IMX = -3.227881382640286E-01, IMY = 4.861139331290731E-01
    

    TIME vs. PHA plot around the trigger time

    Blue+Cyan dotted lines: Time interval of the scaled map
    From 0.000000 to 0.512000
    

    TIME vs. DetID plot around the trigger time

    Blue+Cyan dotted lines: Time interval of the scaled map
    From 0.000000 to 0.512000
    

    100 us light curve (15-350 keV)

    Blue+Cyan dotted lines: Time interval of the scaled map
    From 0.000000 to 0.512000
    

    Spacecraft aspect plot

    Bright source in the pre-burst/pre-slew/post-slew images

    Pre-burst image of 15-350 keV band

    Time interval of the image:
    -34.227410 0.152000
     
    # RAcent  DECcent POSerr Theta    Phi  PeakCts   SNR AngSep     Name
    #  [deg]    [deg]    ['] [deg]  [deg]                   [']
    254.2506  35.3140   10.8  29.7  125.6   0.1046   1.1   10.3	Her X-1                       
    288.8186  10.9205    1.9  30.7   40.7   0.5337   6.0    1.9	GRS 1915+105                  
    299.6104  35.2127    0.6   8.9  -11.9   1.1809  20.3    1.2	Cyg X-1                       
    308.1387  40.9587    4.6  12.4  -57.6   0.1571   2.5    1.3	Cyg X-3                       
    326.0222  38.1519   99.0  26.4  -58.9   0.0088   0.1   12.4	Cyg X-2                       
    214.8980  47.8984    2.2  52.6  160.1   1.5482   5.1 ------	UNKNOWN                       
    

    Pre-slew background subtracted image of 15-350 keV band

    Time interval of the image:
    0.152000 11.452000
     
    # RAcent  DECcent POSerr Theta    Phi  PeakCts   SNR AngSep     Name
    #  [deg]    [deg]    ['] [deg]  [deg]                   [']
    254.4557  35.5184    5.7  29.5  125.9  -0.1510  -2.0   10.6	Her X-1                       
    288.8270  10.8794    5.0  30.7   40.7  -0.1404  -2.3    4.3	GRS 1915+105                  
    299.3419  35.2550    9.3   8.7  -11.0   0.0524   1.2   12.6	Cyg X-1                       
    307.9943  40.7821   22.1  12.3  -56.7   0.0226   0.5   11.5	Cyg X-3                       
    326.3727  38.2672    5.2  26.6  -59.3  -0.1249  -2.2   10.0	Cyg X-2                       
    320.1762  67.5870    0.4  30.3 -123.6   1.5602  26.3 ------	UNKNOWN                       
    

    Post-slew image of 15-350 keV band

    Time interval of the image:
     
    
    Plot creation:
    Sat May 30 13:27:36 EDT 2015