batgrbproduct Analysis for Trigger=610953

Analysis Summary

Notes:

======================================================================
                  BAT GRB EVENT DATA PROCESSING REPORT
    Process Script Ver: batgrbproduct v2.46
    Process Start Time (local time): Sat Oct  4 20:53:39 EDT 2014
             Host Name: batevent1
   Current Working Dir: /local/data/batevent/batevent_reproc/trigger610953
======================================================================

  Trigger: 00610953      Segment: 000

  BAT Trigger Time: 430901666.496   [s; MET]
      Trigger Stop: 430901667.52   [s; MET]
               UTC: 2014-08-28T06:54:14.043420    [includes UTCF correction] 
       Where From?: TDRSS position message

  BAT 
    RA: 142.011386710826   Dec: 14.5900409767357  [deg; J2000]

     Catalogged Source?: NO
     Point Source?:      YES
     GRB Indicated?:     YES    [ by BAT flight software ]
     Image S/N Ratio:    7.41
     Image Trigger?:     NO
     Rate S/N Ratio:     15.8429795177549  [ if not an image trigger ]
     Image S/N Ratio:    7.41

  Flight Position:   [ source = BAT ]
    RA: 142.011386710826   Dec: 14.5900409767357  [deg; J2000]

  Ground Position:   [ source = BAT pre-slew burst ]
    RA: 142.031859306659   Dec: 14.5707244181277  [deg; J2000]  
        { 09h 28m 07.6s , +14d 34' 14.6" }
         +/- 1.30925079351341 [arcmin] (estimated 90% radius based on SNR)
         +/- 0.456747113227155 [arcmin] (formal 1-sigma fit error)
    SNR: 20.6986912271668
 
  Angular difference between Flight and Ground position is 1.660272 arcmin
 
  Partial Coding Fraction: 0.2617188    [ including projection effects ]

  Duration
     T90: 19.1480000019073 +/- 4.15046982043008
        Measured from: -4.54000002145767
                   to: 14.6079999804497     [s; relative to TRIGTIME]
     T50: 6.97199994325638 +/- 1.23631711278944
        Measured from: -0.903999984264374
                   to: 6.067999958992     [s; relative to TRIGTIME]



  Fluence
     Peak Flux  (peak 1 second)
        Measured from: 0.495999991893768     
                   to: 1.49599999189377     [s; relative to TRIGTIME]
     Total Fluence        
        Measured from: -6.70800000429153     
                   to: 18.3159999847412     [s; relative to TRIGTIME]
     
             Band 1     Band 2     Band 3     Band 4
              15-25      25-50     50-100    100-350     keV
 Total     0.671385   0.942972   0.617877   0.145847
           0.054356   0.057814   0.052082   0.046585 [error]
 Peak      0.067157   0.104422   0.079420  -0.001374
           0.011286   0.012532   0.012194   0.009781 [error]

     [ fluence units of on-axis counts / fully illuminated detector ] 

======================================================================
 
=== Fluence/Peak Flux Summary ===
 
              Model    Band1    Band2    Band3    Band4    Band5    Total      
                       15-25    25-50   50-100  100-350   15-150   15-350   keV
Fluence   Power-law 2.53e-07 4.04e-07 4.88e-07 1.15e-06 1.48e-06 2.30e-06   erg/cm2
              Error 2.83e-08 2.93e-08 5.10e-08 2.46e-07 1.21e-07 2.93e-07   erg/cm2
Peak flux Power-law 8.47e-01 7.50e-01 4.57e-01 4.22e-01 2.23e+00 2.48e+00   ph/cm2/s
              Error 1.74e-01 1.06e-01 9.25e-02 1.62e-01 3.15e-01 3.57e-01   ph/cm2/s
 
Fluence   Cutoff-PL 2.23e-07 4.47e-07 4.97e-07 3.29e-07 1.37e-06 1.50e-06   erg/cm2
              Error 3.37e-08 3.94e-08 5.82e-08 2.48e-07 1.34e-07 2.78e-07   erg/cm2
Peak flux Cutoff-PL 7.55e-01 8.36e-01 4.79e-01 1.58e-01 2.18e+00 2.23e+00   ph/cm2/s
              Error 1.97e-01 1.37e-01 1.07e-01 2.04e-01 3.17e-01 3.54e-01   ph/cm2/s
 
Fluence        Band -------- -------- -------- -------- -------- --------   erg/cm2
              Error -------- -------- -------- -------- -------- --------   erg/cm2
Peak flux      Band 7.66e-01 8.23e-01 4.82e-01 1.83e-01 2.20e+00 2.26e+00   ph/cm2/s
              Error -------- 1.35e-01 1.01e-01 -------- 3.06e-01 3.56e-01   ph/cm2/s
 
=== Time-averaged spectral analysis ===
 
Model Ph_index Ph_90err Epeak  Epeak_90err Norm     Nomr_90err chi2   dof
PL    1.729    0.125    -      -           6.38e-03 5.00e-04   65.250 57
CPL   0.795    0.612      59.8   16.9      2.01e-02 1.71e-02   56.840 56
 
 
=== 1-s peak spectral analysis ===
 
Model Ph_index Ph_90err Epeak  Epeak_90err Norm     Nomr_90err chi2   dof
PL    1.715    0.234    -      -           1.67e-02 2.65e-03   56.090 57
CPL   0.800    0.970      60.2   85.3      5.28e-02 1.02e-01   52.730 56
 
Model      : spectral model: simple power-law (PL) and cutoff power-law (CPL)
Ph_index   : photon index: E^-{Ph_index} (minus sign is not included in the index)
Ph_90err   : 90% error of the photon index
Epeak      : Epeak in keV
Epeak_90err: 90% error of Epeak
Norm       : normalization at 50 keV in PL model and at 1 keV in CPL model
Nomr_90err : 90% error of the normalization
chi2       : Chi-Squared
dof        : degree of freedom
 
=== T90/T50 calculation in the 50-300 keV band (BATSE band) using 64 ms lc ===
 
T90 in the 50-300 keV band: 11.904000 sec.
T50 in the 50-300 keV band: 6.016000 sec.
 
=== Table of the duration information ==
 
        Value   tstart    tstop
T100   25.024   -6.708   18.316
T90    19.148   -4.540   14.608
T50     6.972   -0.904    6.068
Peak    1.000    0.496    1.496
  • Click here for the BAT GCN circular template
  • Special notes of this burst

    Image

    Pre-slew 15.0-350.0 keV image (Event data)

    #   RAcent    DECcent   POSerr    Theta     Phi              Peak Cts       SNR   Name
      142.0319    14.5707   0.0094    38.1020   -60.1641         2.5010720     20.699 TRIG_00610953                 
     
    Foreground time interval of the image:
     -6.708  18.316 (delta_t =  25.024 [sec])
    Background time interval of the image:
    -239.496  -6.708 (delta_t = 232.788 [sec])
    

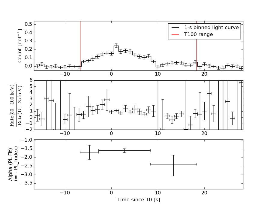
    Lightcurves

    Notes:

    1 s binning

    From T0-310 s to T0+310 s
    From T100_start - 20 s to T100_end + 30 s
    Full time interval

    64 ms binning

    Full time interval
    From T100_start to T100_end
    From T0-5 sec to T0+5 sec

    16 ms binning

    From T100_start-5 s to T100_start+5 s
    Blue+Cyan dotted lines: Time interval of the scaled map
    From 0.000000 to 1.024000
    

    8 ms binning

    From T100_start-3 s to T100_start+3 s
    Blue+Cyan dotted lines: Time interval of the scaled map
    From 0.000000 to 1.024000
    

    2 ms binning

    From T100_start-1 s to T100_start+1 s
    Blue+Cyan dotted lines: Time interval of the scaled map
    From 0.000000 to 1.024000
    

    SN=5 or 10 sec. binning (whichever binning is satisfied first)

    SN=5 or 10 sec. binning (T < 200 sec)

    Quad-rate summed light curves (from T0-300s to T0+1000s)

    Spectral Evolution

    Spectra

    Notes:

    Time averaged spectrum fit using the average DRM

    Power-law model
    Time interval is from   -6.708 sec. to   18.316 sec.
     
    Spectral model in power-law:
    ------------------------------------------------------------
    Parameters  : value       lower 90%   higher 90%
    Photon index: 1.72921     ( -0.123863   0.126522 )
    Norm@50keV  : 6.38423E-03    ( -0.000502301   0.000497927 )
    ------------------------------------------------------------
    #Fit statistic : Chi-Squared =          65.25 using 59 PHA bins.
    # Reduced chi-squared =          1.145 for     57 degrees of freedom 
    # Null hypothesis probability =   2.119278e-01
     
    Photon flux (15-150 keV)    in 25.02 sec: 0.856733 ( -0.0624457  0.0625025 ) ph/cm2/s
    Energy fluence (15-150 keV)             : 1.47582e-06 ( -1.20433e-07  1.21503e-07 ) ergs/cm2
     
    
    Cutoff power-law model
    Time interval is from   -6.708 sec. to   18.316 sec.
    Spectral model in the cutoff power-law:
    ------------------------------------------------------------
    Parameters  : value       lower 90%   higher 90%
    Photon index: 0.795101     ( -0.653584   0.570356 )
    Epeak [keV] : 59.7894      ( -9.44257 24.3325 )
    Norm@50keV  : 2.01132E-02    ( -0.00998719   0.0241893 )
    ------------------------------------------------------------
    #Fit statistic : Chi-Squared =          56.84 using 59 PHA bins.
    # Reduced chi-squared =          1.015 for     56 degrees of freedom 
    # Null hypothesis probability =   4.435145e-01
     
    Photon flux (15-150 keV)    in 25.02 sec: 0.823137 ( -0.065606  0.065582 ) ph/cm2/s
    Energy fluence (15-150 keV)             : 1.36932e-06 ( -1.32233e-07  1.35723e-07 ) ergs/cm2
     
    
    Band function
    Time interval is from   -6.708 sec. to   18.316 sec.
     
    Spectral model in the Band function:
    ------------------------------------------------------------
    Parameters  : value       lower 90%   higher 90%
    alpha       : -0.821096   ( -0.591341   0.871479 )
    beta        : -2.57163    ( 2.65073   0.698199 )
    Epeak [keV] : 59.6982      ( -14.6774 23.5146 )
    Norm@50keV   : 1.95654E-02    ( -0.0110669   0.0494816 )
    ------------------------------------------------------------
    #Fit statistic : Chi-Squared =          56.65 using 59 PHA bins.
    # Reduced chi-squared =          1.030 for     55 degrees of freedom 
    # Null hypothesis probability =   4.132374e-01
     
    Photon flux (15-150 keV)    in 25.02 sec:  (    ) ph/cm2/s
    Energy fluence (15-150 keV)             : 0 ( 0  0 ) ergs/cm2
     
    
    Single BB
     
    Spectral model blackbody:
    ------------------------------------------------------------
    Parameters  : value    Lower 90%  Upper 90%
    kT [keV]    : 12.7672  (-1.00474  1.09089)
    R^2/D10^2   : 0.168799  (-0.0440658   0.0592687)
    (R is the radius in km and D10 is the distance to the source in units of 10 kpc)
    ------------------------------------------------------------
    #Fit statistic : Chi-Squared =          81.03 using 59 PHA bins.
    # Reduced chi-squared =          1.422 for     57 degrees of freedom 
    # Null hypothesis probability =   1.992856e-02
     
    Energy  Fluence     90% Error
    [keV]   [erg/cm2]   [erg/cm2]
    15- 25  1.460e-07   2.033e-08
    25- 50  4.931e-07   3.853e-08
    50-150  5.027e-07   8.269e-08
    15-150  1.142e-06   1.036e-07
    
    Thermal bremsstrahlung (OTTB)
     
     
    Spectral model: thermal bremsstrahlung
    ------------------------------------------------------------
    Parameters  : value         Lower 90%    Upper 90%
    kT [keV]    : 111.716       (-25.9488      46.5638)
    Norm        : 3.73674       (-0.352273     0.37464)
    ------------------------------------------------------------
    #Fit statistic : Chi-Squared =          58.83 using 59 PHA bins.
    # Reduced chi-squared =          1.032 for     57 degrees of freedom 
    # Null hypothesis probability =   4.083972e-01
     
    Energy  Fluence     90% Error
    [keV]   [erg/cm2]   [erg/cm2]
    15- 25  2.441e-07   2.651e-08
    25- 50  4.311e-07   3.978e-08
    50-150  7.420e-07   2.595e-07
    15-150  1.417e-06   2.798e-07
    
    Double BB
     
     
    Spectral model: bbodyrad<1> + bbodyrad<2>
    ------------------------------------------------------------
    Parameters  : value         Lower 90%    Upper 90%
    kT1 [keV]   : 5.27272        (-1.50945      2.15462)
    R1^2/D10^2  : 2.08582        (-1.40948      5.2023)
    kT2 [keV]   : 16.9395        (-2.40492      4.47456)
    R2^2/D10^2  : 4.93152E-02    (-0.0316567   0.0351866)
    ------------------------------------------------------------
    #Fit statistic : Chi-Squared =          56.70 using 59 PHA bins.
    # Reduced chi-squared =          1.031 for     55 degrees of freedom 
    # Null hypothesis probability =   4.114747e-01
     
    Energy  Fluence     90% Error
    [keV]   [erg/cm2]   [erg/cm2]
    15- 25  2.284e-07   9.999e-08
    25- 50  4.345e-07   1.416e-07
    50-150  6.577e-07   1.948e-07
    15-150  1.321e-06   3.301e-07
    

    Peak spectrum fit

    Power-law model
    Time interval is from    0.496 sec. to    1.496 sec.
     
    Spectral model in power-law:
    ------------------------------------------------------------
    Parameters  : value       lower 90%   higher 90%
    Photon index: 1.71495     ( -0.228024   0.239993 )
    Norm@50keV  : 1.67282E-02    ( -0.002673   0.00262152 )
    ------------------------------------------------------------
    #Fit statistic : Chi-Squared =          56.09 using 59 PHA bins.
    # Reduced chi-squared =         0.9840 for     57 degrees of freedom 
    # Null hypothesis probability =   5.092634e-01
     
    Photon flux (15-150 keV)    in 1 sec: 2.23343 ( -0.314539  0.314598 ) ph/cm2/s
    Energy fluence (15-150 keV)             : 1.5471e-07 ( -2.54585e-08  2.5961e-08 ) ergs/cm2
     
    
    Cutoff power-law model
    Time interval is from    0.496 sec. to    1.496 sec.
    Spectral model in the cutoff power-law:
    ------------------------------------------------------------
    Parameters  : value       lower 90%   higher 90%
    Photon index: 0.800227     ( -1.07628   0.863975 )
    Epeak [keV] : 60.2027      ( -16.1183 154.543 )
    Norm@50keV  : 5.27532E-02    ( -0.0527259   0.151758 )
    ------------------------------------------------------------
    #Fit statistic : Chi-Squared =          52.73 using 59 PHA bins.
    # Reduced chi-squared =         0.9417 for     56 degrees of freedom 
    # Null hypothesis probability =   5.992406e-01
     
    Photon flux (15-150 keV)    in 1 sec: 2.18315 ( -0.3173  0.31766 ) ph/cm2/s
    Energy fluence (15-150 keV)             : 1.45468e-07 ( -2.6487e-08  2.7425e-08 ) ergs/cm2
     
    
    Band function
    Time interval is from    0.496 sec. to    1.496 sec.
     
    Spectral model in the Band function:
    ------------------------------------------------------------
    Parameters  : value       lower 90%   higher 90%
    alpha       : -0.798387   ( -0.54871   1.42034 )
    beta        : -10.0000    ( 10   7.10543e-15 )
    Epeak [keV] : 60.1533      ( -16.019 153.39 )
    Norm@50keV   : 5.28787E-02    ( -0.0335034   0.151704 )
    ------------------------------------------------------------
    #Fit statistic : Chi-Squared =          52.73 using 59 PHA bins.
    # Reduced chi-squared =         0.9588 for     55 degrees of freedom 
    # Null hypothesis probability =   5.616566e-01
     
    Photon flux (15-150 keV)    in 1 sec: 2.19695 ( 4.80305  -0.30569 ) ph/cm2/s
    Energy fluence (15-150 keV)             : 1.47693e-07 ( -1.47686e-07  -2.8787e-08 ) ergs/cm2
     
    
    Single BB
     
    Spectral model blackbody:
    ------------------------------------------------------------
    Parameters  : value    Lower 90%  Upper 90%
    kT [keV]    : 12.1983  (-2.11214  2.5927)
    R^2/D10^2   : 0.527113  (-0.264068   0.523722)
    (R is the radius in km and D10 is the distance to the source in units of 10 kpc)
    ------------------------------------------------------------
    #Fit statistic : Chi-Squared =          62.33 using 59 PHA bins.
    # Reduced chi-squared =          1.093 for     57 degrees of freedom 
    # Null hypothesis probability =   2.925073e-01
     
    Energy  Fluence     90% Error
    [keV]   [erg/cm2]   [erg/cm2]
    15- 25  1.661e-08   4.265e-09
    25- 50  5.328e-08   1.115e-08
    50-150  4.819e-08   1.595e-08
    15-150  1.181e-07   2.417e-08
    
    Thermal bremsstrahlung (OTTB)
     
     
    Spectral model: thermal bremsstrahlung
    ------------------------------------------------------------
    Parameters  : value         Lower 90%    Upper 90%
    kT [keV]    : 117.026       (-46.4167      -115.988)
    Norm        : 9.65095       (-1.53038     1.99072)
    ------------------------------------------------------------
    #Fit statistic : Chi-Squared =          53.54 using 59 PHA bins.
    # Reduced chi-squared =         0.9393 for     57 degrees of freedom 
    # Null hypothesis probability =   6.057627e-01
     
    Energy  Fluence     90% Error
    [keV]   [erg/cm2]   [erg/cm2]
    15- 25  2.516e-08   5.530e-09
    25- 50  4.482e-08   1.342e-08
    50-150  7.899e-08   4.754e-08
    15-150  1.490e-07   7.024e-08
    
    Double BB
     
     
    Spectral model: bbodyrad<1> + bbodyrad<2>
    ------------------------------------------------------------
    Parameters  : value         Lower 90%    Upper 90%
    kT1 [keV]   : 6.27919        (-2.01884      2.58306)
    R1^2/D10^2  : 3.56163        (-2.44657      11.7559)
    kT2 [keV]   : 20.5334        (-5.33122      10.3789)
    R2^2/D10^2  : 5.91880E-02    (-0.0487578   0.144625)
    ------------------------------------------------------------
    #Fit statistic : Chi-Squared =          50.93 using 59 PHA bins.
    # Reduced chi-squared =         0.9260 for     55 degrees of freedom 
    # Null hypothesis probability =   6.307686e-01
     
    Energy  Fluence     90% Error
    [keV]   [erg/cm2]   [erg/cm2]
    15- 25  2.462e-08   1.352e-08
    25- 50  4.595e-08   2.378e-08
    50-150  7.803e-08   4.416e-08
    15-150  1.486e-07   7.770e-08
    

    Pre-slew spectrum (Pre-slew PHA with pre-slew DRM)

    Power-law model
     
    Spectral model in power-law:
    ------------------------------------------------------------
    Parameters  : value       lower 90%   higher 90%
    Photon index: 1.72921     ( -0.123863   0.126522 )
    Norm@50keV  : 6.38423E-03    ( -0.000502301   0.000497927 )
    ------------------------------------------------------------
    #Fit statistic : Chi-Squared =          65.25 using 59 PHA bins.
    # Reduced chi-squared =          1.145 for     57 degrees of freedom 
    # Null hypothesis probability =   2.119278e-01
     
    Photon flux (15-150 keV)    in 25.02 sec: 0.856733 ( -0.0624457  0.0625025 ) ph/cm2/s
    Energy fluence (15-150 keV)             : 1.47582e-06 ( -1.20433e-07  1.21503e-07 ) ergs/cm2
     
    
    Cutoff power-law model
    Spectral model in the cutoff power-law:
    ------------------------------------------------------------
    Parameters  : value       lower 90%   higher 90%
    Photon index: 0.795101     ( -0.653584   0.570356 )
    Epeak [keV] : 59.7894      ( -9.44257 24.3325 )
    Norm@50keV  : 2.01132E-02    ( -0.00998719   0.0241893 )
    ------------------------------------------------------------
    #Fit statistic : Chi-Squared =          56.84 using 59 PHA bins.
    # Reduced chi-squared =          1.015 for     56 degrees of freedom 
    # Null hypothesis probability =   4.435145e-01
     
    Photon flux (15-150 keV)    in 25.02 sec: 0.823137 ( -0.065606  0.065582 ) ph/cm2/s
    Energy fluence (15-150 keV)             : 1.36932e-06 ( -1.32233e-07  1.35723e-07 ) ergs/cm2
     
    
    Band function
     
    Spectral model in the Band function:
    ------------------------------------------------------------
    Parameters  : value       lower 90%   higher 90%
    alpha       : -0.821096   ( -0.591341   0.871479 )
    beta        : -2.57163    ( 2.65073   0.698199 )
    Epeak [keV] : 59.6982      ( -14.6774 23.5146 )
    Norm@50keV   : 1.95654E-02    ( -0.0110669   0.0494816 )
    ------------------------------------------------------------
    #Fit statistic : Chi-Squared =          56.65 using 59 PHA bins.
    # Reduced chi-squared =          1.030 for     55 degrees of freedom 
    # Null hypothesis probability =   4.132374e-01
     
    Photon flux (15-150 keV)    in 25.02 sec:  (    ) ph/cm2/s
    Energy fluence (15-150 keV)             : 0 ( 0  0 ) ergs/cm2
     
    

    S(25-50 keV) vs. S(50-100 keV) plot

    S(25-50 keV)  = 4.04e-07
    S(50-100 keV) = 4.88e-07
    

    T90 vs. Hardness ratio plot

    T90                                   = 19.1480000019073 sec.
    Hardness ratio (energy fluence ratio) = 1.20792
    

    Color vs. Color plot

    Count Ratio  (25-50 keV) / (15-25 keV) = 1.40452
    Count Ratio (50-100 keV) / (15-25 keV) = 0.920302
    

    Mask shadow pattern

    IMX = 3.901322941736836E-01, IMY = 6.802207809030785E-01
    

    TIME vs. PHA plot around the trigger time

    Blue+Cyan dotted lines: Time interval of the scaled map
    From 0.000000 to 1.024000
    

    TIME vs. DetID plot around the trigger time

    Blue+Cyan dotted lines: Time interval of the scaled map
    From 0.000000 to 1.024000
    

    100 us light curve (15-350 keV)

    Blue+Cyan dotted lines: Time interval of the scaled map
    From 0.000000 to 1.024000
    

    Spacecraft aspect plot

    Bright source in the pre-burst/pre-slew/post-slew images

    Pre-burst image of 15-350 keV band

    Time interval of the image:
    -239.496000 -6.708000
     
    # RAcent  DECcent POSerr Theta    Phi  PeakCts   SNR AngSep     Name
    #  [deg]    [deg]    ['] [deg]  [deg]                   [']
     83.6299  22.0084    0.5  42.7   31.8   9.9746  23.9    0.4	Crab                          
     92.9809   3.2604    3.1  53.9    8.1   2.9080   3.7 ------	UNKNOWN                       
    223.7665  48.7589    3.1  59.3 -163.3   5.2775   3.7 ------	UNKNOWN                       
    

    Pre-slew background subtracted image of 15-350 keV band

    Time interval of the image:
    -6.708000 18.316000
     
    # RAcent  DECcent POSerr Theta    Phi  PeakCts   SNR AngSep     Name
    #  [deg]    [deg]    ['] [deg]  [deg]                   [']
     83.4978  22.1172   21.6  42.6   32.0  -0.0649  -0.5    9.7	Crab                          
     72.2379  26.8873    2.0  46.0   47.5   1.3455   5.7 ------	UNKNOWN                       
    253.1212  74.9958    2.2  50.4  162.8   0.9108   5.2 ------	UNKNOWN                       
    243.8160  80.3096    1.9  45.4  159.4   0.7854   6.1 ------	UNKNOWN                       
    124.7541  29.3537    2.8  20.7  -32.3   0.2211   4.1 ------	UNKNOWN                       
    151.4314  40.8115    2.5  20.7 -106.3   0.3021   4.7 ------	UNKNOWN                       
    114.0465  -8.3612    2.2  59.1  -20.1   1.7338   5.4 ------	UNKNOWN                       
    142.0319  14.5706    0.6  38.1  -60.2   2.5007  20.7 ------	UNKNOWN                       
    

    Post-slew image of 15-350 keV band

    Time interval of the image:
    274.204600 815.404610
     
    # RAcent  DECcent POSerr Theta    Phi  PeakCts   SNR AngSep     Name
    #  [deg]    [deg]    ['] [deg]  [deg]                   [']
    254.3645  35.5112    8.6  44.8   50.6  -2.0026  -1.3   11.1	Her X-1                       
    249.5644  29.3340    3.2  40.1   59.0   3.8592   3.6 ------	UNKNOWN                       
    257.9235  50.6884    4.0  50.9   31.4   5.2275   2.9 ------	UNKNOWN                       
    239.2438  51.9061    2.4  41.2   22.1   2.8450   4.8 ------	UNKNOWN                       
    202.5725 -27.7441    3.0  47.3  176.7   2.4944   3.9 ------	UNKNOWN                       
    206.2435  -5.8254    2.9  25.3  172.8   1.3923   3.9 ------	UNKNOWN                       
    183.4243 -35.2964    2.2  59.0 -166.1  10.5755   5.3 ------	UNKNOWN                       
    175.6977 -29.8293    3.3  57.6 -156.3   8.0730   3.5 ------	UNKNOWN                       
    
    Plot creation:
    Sat May 30 12:43:25 EDT 2015