batgrbproduct Analysis for Trigger=616061

Analysis Summary

Notes:

======================================================================
                  BAT GRB EVENT DATA PROCESSING REPORT
    Process Script Ver: batgrbproduct v2.46
    Process Start Time (local time): Wed Nov 19 23:03:05 EST 2014
             Host Name: bat1
   Current Working Dir: /local/data/bat1/alien/Swift_3rdBATcatalog/event/batevent_reproc/trigger616061
======================================================================

  Trigger: 00616061      Segment: 000

  BAT Trigger Time: 435634075.456   [s; MET]
      Trigger Stop: 435634083.648   [s; MET]
               UTC: 2014-10-22T01:27:42.770160    [includes UTCF correction] 
       Where From?: TDRSS position message

  BAT 
    RA: 241.90130639089   Dec: -72.1292547480145  [deg; J2000]

     Catalogged Source?: NO
     Point Source?:      YES
     GRB Indicated?:     YES    [ by BAT flight software ]
     Image S/N Ratio:    7.94
     Image Trigger?:     NO
     Rate S/N Ratio:     14.0356688476182  [ if not an image trigger ]
     Image S/N Ratio:    7.94

  Flight Position:   [ source = BAT ]
    RA: 241.90130639089   Dec: -72.1292547480145  [deg; J2000]

  Ground Position:   [ source = BAT pre-slew burst ]
    RA: 241.929264829074   Dec: -72.1517468200457  [deg; J2000]  
        { 16h 07m 43.0s , -72d 09' 06.3" }
         +/- 2.21278245493836 [arcmin] (estimated 90% radius based on SNR)
         +/- 1.05281805491185 [arcmin] (formal 1-sigma fit error)
    SNR: 9.7802235342144
 
  Angular difference between Flight and Ground position is 1.444261 arcmin
 
  Partial Coding Fraction: 0.3984375    [ including projection effects ]

  Duration
     T90: 8.71599990129471 +/- 1.5595947757381
        Measured from: -0.059999942779541
                   to: 8.65599995851517     [s; relative to TRIGTIME]
     T50: 4.79199993610382 +/- 1.58170035497258
        Measured from: 1.98400002717972
                   to: 6.77599996328354     [s; relative to TRIGTIME]



  Fluence
     Peak Flux  (peak 1 second)
        Measured from: 6.19600003957748     
                   to: 7.19600003957748     [s; relative to TRIGTIME]
     Total Fluence        
        Measured from: -0.383999943733215     
                   to: 9.17200005054474     [s; relative to TRIGTIME]
     
             Band 1     Band 2     Band 3     Band 4
              15-25      25-50     50-100    100-350     keV
 Total     0.111202   0.252007   0.225856   0.096321
           0.038793   0.036355   0.031049   0.027722 [error]
 Peak      0.021501   0.035695   0.035715   0.021678
           0.012582   0.011783   0.010102   0.008803 [error]

     [ fluence units of on-axis counts / fully illuminated detector ] 

======================================================================
 
=== Fluence/Peak Flux Summary ===
 
              Model    Band1    Band2    Band3    Band4    Band5    Total      
                       15-25    25-50   50-100  100-350   15-150   15-350   keV
Fluence   Power-law 5.14e-08 1.06e-07 1.71e-07 6.20e-07 4.75e-07 9.49e-07   erg/cm2
              Error 1.57e-08 1.95e-08 2.90e-08 2.39e-07 7.42e-08 2.52e-07   erg/cm2
Peak flux Power-law 2.25e-01 2.85e-01 2.65e-01 4.30e-01 9.21e-01 1.21e+00   ph/cm2/s
              Error 1.63e-01 1.24e-01 7.80e-02 3.14e-01 3.12e-01 3.46e-01   ph/cm2/s
 
Fluence   Cutoff-PL 4.64e-08 1.11e-07 1.79e-07 3.27e-07 4.62e-07 6.63e-07   erg/cm2
              Error 1.92e-08 2.29e-08 3.47e-08 3.49e-07 8.28e-08 3.18e-07   erg/cm2
Peak flux Cutoff-PL 2.39e-01 2.94e-01 2.63e-01 4.06e-01 9.35e-01 1.21e+00   ph/cm2/s
              Error 1.66e-01 1.25e-01 7.96e-02 4.11e-01 3.08e-01 7.70e-01   ph/cm2/s
 
Fluence        Band 4.18e-08 1.14e-07 1.78e-07 4.17e-07 4.56e-07 7.51e-07   erg/cm2
              Error -------- 2.89e-08 -------- -------- 9.81e-08 --------   erg/cm2
Peak flux      Band -------- -------- -------- -------- -------- --------   ph/cm2/s
              Error -------- -------- -------- -------- -------- --------   ph/cm2/s
 
=== Time-averaged spectral analysis ===
 
Model Ph_index Ph_90err Epeak  Epeak_90err Norm     Nomr_90err chi2   dof
PL    1.309    0.266    -      -           5.04e-03 7.67e-04   73.180 57
CPL   0.821    1.108     130.0    0.0      8.58e-03 1.86e-02   72.690 56
 
The chi2 of BB fit is -------- which shows a significant improvement in the fit over a PL.
Check the BB fit.
 
=== 1-s peak spectral analysis ===
 
Model Ph_index Ph_90err Epeak  Epeak_90err Norm     Nomr_90err chi2   dof
PL    1.109    0.613    -      -           7.93e-03 2.53e-03   57.880 57
CPL   1.127    0.869    9999.4    0.0      8.01e-03 1.05e-02   57.900 56
 
Model      : spectral model: simple power-law (PL) and cutoff power-law (CPL)
Ph_index   : photon index: E^-{Ph_index} (minus sign is not included in the index)
Ph_90err   : 90% error of the photon index
Epeak      : Epeak in keV
Epeak_90err: 90% error of Epeak
Norm       : normalization at 50 keV in PL model and at 1 keV in CPL model
Nomr_90err : 90% error of the normalization
chi2       : Chi-Squared
dof        : degree of freedom
 
=== T90/T50 calculation in the 50-300 keV band (BATSE band) using 64 ms lc ===
 
T90 in the 50-300 keV band: 8.448000 sec.
T50 in the 50-300 keV band: 4.672000 sec.
 
=== Table of the duration information ==
 
        Value   tstart    tstop
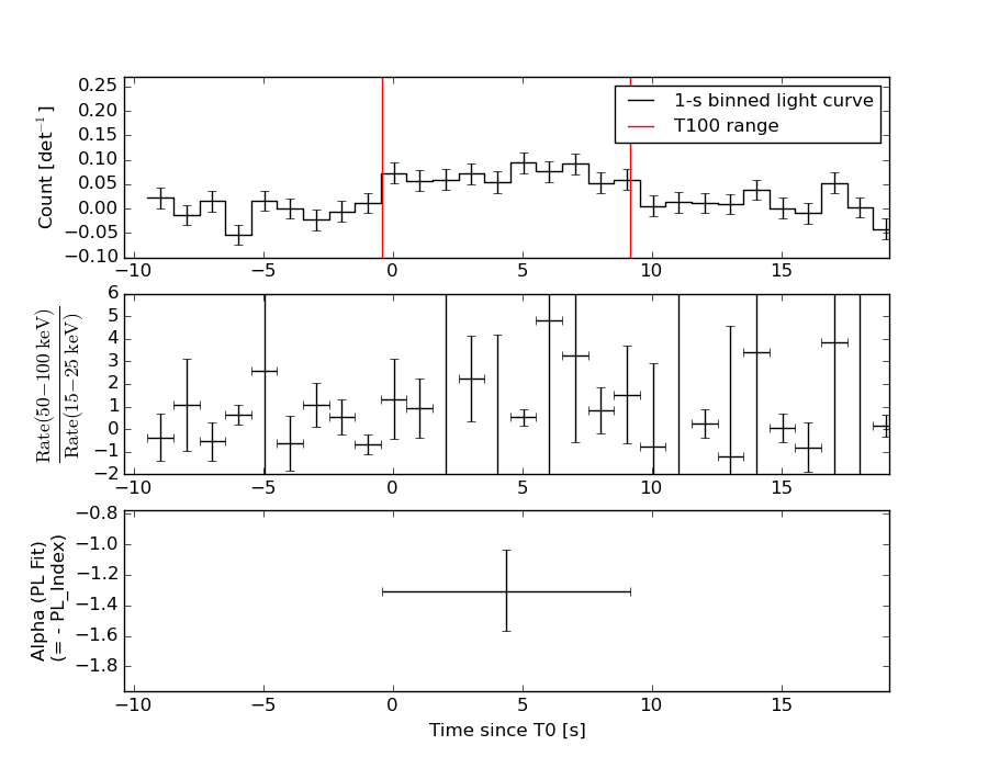
T100    9.556   -0.384    9.172
T90     8.716   -0.060    8.656
T50     4.792    1.984    6.776
Peak    1.000    6.196    7.196
  • Click here for the BAT GCN circular template

    Image

    Pre-slew 15.0-350.0 keV image (Event data)

    #   RAcent    DECcent   POSerr    Theta     Phi              Peak Cts       SNR   Name
      241.9293   -72.1517   0.0197    45.2416  -174.5511         0.6937619      9.780 TRIG_00616061                 
     
    Foreground time interval of the image:
     -0.384   9.172 (delta_t =   9.556 [sec])
    Background time interval of the image:
    -107.955  -0.384 (delta_t = 107.571 [sec])
    

    Lightcurves

    Notes:

    1 s binning

    From T0-310 s to T0+310 s
    From T100_start - 20 s to T100_end + 30 s
    Full time interval

    64 ms binning

    Full time interval
    From T100_start to T100_end
    From T0-5 sec to T0+5 sec

    16 ms binning

    From T100_start-5 s to T100_start+5 s
    Blue+Cyan dotted lines: Time interval of the scaled map
    From 0.000000 to 8.192000
    

    8 ms binning

    From T100_start-3 s to T100_start+3 s
    Blue+Cyan dotted lines: Time interval of the scaled map
    From 0.000000 to 8.192000
    

    2 ms binning

    From T100_start-1 s to T100_start+1 s
    Blue+Cyan dotted lines: Time interval of the scaled map
    From 0.000000 to 8.192000
    

    SN=5 or 10 sec. binning (whichever binning is satisfied first)

    SN=5 or 10 sec. binning (T < 200 sec)

    Quad-rate summed light curves (from T0-300s to T0+1000s)

    Spectral Evolution

    Spectra

    Notes:

    Time averaged spectrum fit using the average DRM

    Power-law model
    Time interval is from   -0.384 sec. to    9.172 sec.
     
    Spectral model in power-law:
    ------------------------------------------------------------
    Parameters  : value       lower 90%   higher 90%
    Photon index: 1.30918     ( -0.271062   0.260411 )
    Norm@50keV  : 5.03804E-03    ( -0.000768186   0.000765856 )
    ------------------------------------------------------------
    #Fit statistic : Chi-Squared =          73.18 using 59 PHA bins.
    # Reduced chi-squared =          1.284 for     57 degrees of freedom 
    # Null hypothesis probability =   7.310356e-02
     
    Photon flux (15-150 keV)    in 9.556 sec: 0.602078 ( -0.0995611  0.100726 ) ph/cm2/s
    Energy fluence (15-150 keV)             : 4.74687e-07 ( -7.40681e-08  7.43808e-08 ) ergs/cm2
     
    
    Cutoff power-law model
    Time interval is from   -0.384 sec. to    9.172 sec.
    Spectral model in the cutoff power-law:
    ------------------------------------------------------------
    Parameters  : value       lower 90%   higher 90%
    Photon index: 0.820570     ( -1.50369   0.711414 )
    Epeak [keV] : 130.033      ( -130.092 -130.092 )
    Norm@50keV  : 8.58116E-03    ( -0.00419469   0.0331015 )
    ------------------------------------------------------------
    #Fit statistic : Chi-Squared =          72.69 using 59 PHA bins.
    # Reduced chi-squared =          1.298 for     56 degrees of freedom 
    # Null hypothesis probability =   6.624294e-02
     
    Photon flux (15-150 keV)    in 9.556 sec: 0.588710 ( -0.104891  0.105485 ) ph/cm2/s
    Energy fluence (15-150 keV)             : 4.61542e-07 ( -8.45295e-08  8.09928e-08 ) ergs/cm2
     
    
    Band function
    Time interval is from   -0.384 sec. to    9.172 sec.
     
    Spectral model in the Band function:
    ------------------------------------------------------------
    Parameters  : value       lower 90%   higher 90%
    alpha       : 4.97284   ( -14.8595   -4.97284 )
    beta        : -1.48593    ( -0.382368   0.321328 )
    Epeak [keV] : 31.2974      ( -12.4492 23.3191 )
    Norm@50keV   : 115.722    ( -17.2291   2452.42 )
    ------------------------------------------------------------
    #Fit statistic : Chi-Squared =          70.27 using 59 PHA bins.
    # Reduced chi-squared =          1.278 for     55 degrees of freedom 
    # Null hypothesis probability =   8.054347e-02
     
    Photon flux (15-150 keV)    in 9.556 sec:  (    ) ph/cm2/s
    Energy fluence (15-150 keV)             : 4.5647e-07 ( -4.56403e-07  -7.8385e-08 ) ergs/cm2
     
    
    Single BB
     
    Spectral model blackbody:
    ------------------------------------------------------------
    Parameters  : value    Lower 90%  Upper 90%
    kT [keV]    : 17.5262  (-2.85228  3.72851)
    R^2/D10^2   : 4.20236E-02  (-0.0207101   0.0367376)
    (R is the radius in km and D10 is the distance to the source in units of 10 kpc)
    ------------------------------------------------------------
    #Fit statistic : Chi-Squared =          78.01 using 59 PHA bins.
    # Reduced chi-squared =          1.369 for     57 degrees of freedom 
    # Null hypothesis probability =   3.373889e-02
     
    Energy  Fluence     90% Error
    [keV]   [erg/cm2]   [erg/cm2]
    15- 25  2.490e-08   7.879e-09
    25- 50  1.129e-07   2.921e-08
    50-150  2.498e-07   7.272e-08
    15-150  3.876e-07   9.312e-08
    
    Thermal bremsstrahlung (OTTB)
     
     
    Spectral model: thermal bremsstrahlung
    ------------------------------------------------------------
    Parameters  : value         Lower 90%    Upper 90%
    kT [keV]    : 200.000       (      )
    Norm        : 2.57586       (-0.391981     0.391872)
    ------------------------------------------------------------
    #Fit statistic : Chi-Squared =          75.33 using 59 PHA bins.
    # Reduced chi-squared =          1.322 for     57 degrees of freedom 
    # Null hypothesis probability =   5.242517e-02
     
    Energy  Fluence     90% Error
    [keV]   [erg/cm2]   [erg/cm2]
    15- 25  6.130e-08   3.514e-08
    25- 50  1.179e-07   6.699e-08
    50-150  2.586e-07   1.424e-07
    15-150  4.378e-07   2.420e-07
    
    Double BB
    ------------------------------------------------------------
    Parameters  : value         Lower 90%    Upper 90%
    kT1 [keV]   : 12.9571        (-2.45596      3.4203)
    R1^2/D10^2  : 9.88670E-02        (-0.0537532      0.107745)
    kT2 [keV]   : 200.000        (      )
    R2^2/D10^2  : 6.91987E-05    (-3.68703e-05   9.89992e-05)
    ------------------------------------------------------------
    #Fit statistic : Chi-Squared =          69.69 using 59 PHA bins.
    #Fit statistic : Chi-Squared =          69.67 using 59 PHA bins.
    # Reduced chi-squared =          1.267 for     55 degrees of freedom 
    # Reduced chi-squared =          1.267 for     55 degrees of freedom 
    # Null hypothesis probability =   8.780183e-02
    # Null hypothesis probability =   8.798820e-02
     
    Energy  Fluence     90% Error
    [keV]   [erg/cm2]   [erg/cm2]
    15- 25  3.495e-08   1.974e-08
    25- 50  1.231e-07   6.441e-08
    50-150  2.955e-07   1.040e-07
    15-150  4.535e-07   1.905e-07
    

    Peak spectrum fit

    Power-law model
    Time interval is from    6.196 sec. to    7.196 sec.
     
    Spectral model in power-law:
    ------------------------------------------------------------
    Parameters  : value       lower 90%   higher 90%
    Photon index: 1.10899     ( -0.662074   0.564664 )
    Norm@50keV  : 7.93068E-03    ( -0.0026454   0.00242046 )
    ------------------------------------------------------------
    #Fit statistic : Chi-Squared =          57.88 using 59 PHA bins.
    # Reduced chi-squared =          1.015 for     57 degrees of freedom 
    # Null hypothesis probability =   4.424933e-01
     
    Photon flux (15-150 keV)    in 1 sec: 0.920694 ( -0.307353  0.316359 ) ph/cm2/s
    Energy fluence (15-150 keV)             : 8.26815e-08 ( -2.3915e-08  2.3943e-08 ) ergs/cm2
     
    
    Cutoff power-law model
    Time interval is from    6.196 sec. to    7.196 sec.
    Spectral model in the cutoff power-law:
    ------------------------------------------------------------
    Parameters  : value       lower 90%   higher 90%
    Photon index: 1.12702     ( -1.19119   0.54739 )
    Epeak [keV] : 9999.35      ( -9999.36 -9999.36 )
    Norm@50keV  : 8.01103E-03    ( -0.00233984   0.0186806 )
    ------------------------------------------------------------
    #Fit statistic : Chi-Squared =          57.90 using 59 PHA bins.
    # Reduced chi-squared =          1.034 for     56 degrees of freedom 
    # Null hypothesis probability =   4.051611e-01
     
    Photon flux (15-150 keV)    in 1 sec: 0.935473 ( -0.323227  0.293077 ) ph/cm2/s
    Energy fluence (15-150 keV)             : 8.26317e-08 ( -2.38587e-08  2.35163e-08 ) ergs/cm2
     
    
    Band function
    Time interval is from    6.196 sec. to    7.196 sec.
     
    Spectral model in the Band function:
    ------------------------------------------------------------
    Parameters  : value       lower 90%   higher 90%
    alpha       : -0.888887   ( 0.888734   0.888734 )
    beta        : -1.10902    ( 1.10893   0.662171 )
    Epeak [keV] : 47.8695      ( -47.9235 -47.9235 )
    Norm@50keV   : 1.42512E-02    ( -0.0085922   0 )
    ------------------------------------------------------------
    #Fit statistic : Chi-Squared =          57.88 using 59 PHA bins.
    # Reduced chi-squared =          1.052 for     55 degrees of freedom 
    # Null hypothesis probability =   3.693665e-01
     
    Photon flux (15-150 keV)    in 1 sec:  (    ) ph/cm2/s
    Energy fluence (15-150 keV)             : 0 ( 0  0 ) ergs/cm2
     
    
    Single BB
     
    Spectral model blackbody:
    ------------------------------------------------------------
    Parameters  : value    Lower 90%  Upper 90%
    kT [keV]    : 27.6701  (-11.4273  31.3483)
    R^2/D10^2   : 1.46056E-02  (-0.0143113   0.0660308)
    (R is the radius in km and D10 is the distance to the source in units of 10 kpc)
    ------------------------------------------------------------
    #Fit statistic : Chi-Squared =          62.61 using 59 PHA bins.
    # Reduced chi-squared =          1.098 for     57 degrees of freedom 
    # Null hypothesis probability =   2.838822e-01
     
    Energy  Fluence     90% Error
    [keV]   [erg/cm2]   [erg/cm2]
    15- 25  1.836e-09   1.188e-09
    25- 50  1.094e-08   6.695e-09
    50-150  6.078e-08   3.596e-08
    15-150  7.355e-08   4.726e-08
    
    Thermal bremsstrahlung (OTTB)
     
     
    Spectral model: thermal bremsstrahlung
    ------------------------------------------------------------
    Parameters  : value         Lower 90%    Upper 90%
    kT [keV]    : 199.363       (-82.4431      -199.363)
    Norm        : 4.08314       (-1.20627     1.20627)
    ------------------------------------------------------------
    #Fit statistic : Chi-Squared =          60.37 using 59 PHA bins.
    # Reduced chi-squared =          1.059 for     57 degrees of freedom 
    # Null hypothesis probability =   3.549368e-01
     
    Energy  Fluence     90% Error
    [keV]   [erg/cm2]   [erg/cm2]
    15- 25  1.017e-08   6.320e-09
    25- 50  1.956e-08   1.179e-08
    50-150  4.290e-08   2.545e-08
    15-150  7.262e-08   4.458e-08
    
    Double BB
     
     
    Spectral model: bbodyrad<1> + bbodyrad<2>
    ------------------------------------------------------------
    Parameters  : value         Lower 90%    Upper 90%
    kT1 [keV]   : 7.87247        (-4.48587      7.03666)
    R1^2/D10^2  : 0.701699        (-0.639619      20.346)
    kT2 [keV]   : 59.2541        (-57.2329      -60.6778)
    R2^2/D10^2  : 1.58475E-03    (-0.00129265   0.0116771)
    ------------------------------------------------------------
    #Fit statistic : Chi-Squared =          56.97 using 59 PHA bins.
    # Reduced chi-squared =          1.036 for     55 degrees of freedom 
    # Null hypothesis probability =   4.016888e-01
     
    Energy  Fluence     90% Error
    [keV]   [erg/cm2]   [erg/cm2]
    15- 25  8.299e-09   5.715e-09
    25- 50  1.719e-08   9.925e-09
    50-150  5.977e-08   3.191e-08
    15-150  8.526e-08   4.080e-08
    

    Pre-slew spectrum (Pre-slew PHA with pre-slew DRM)

    Power-law model
     
    Spectral model in power-law:
    ------------------------------------------------------------
    Parameters  : value       lower 90%   higher 90%
    Photon index: 1.30918     ( -0.271062   0.260411 )
    Norm@50keV  : 5.03804E-03    ( -0.000768186   0.000765856 )
    ------------------------------------------------------------
    #Fit statistic : Chi-Squared =          73.18 using 59 PHA bins.
    # Reduced chi-squared =          1.284 for     57 degrees of freedom 
    # Null hypothesis probability =   7.310356e-02
     
    Photon flux (15-150 keV)    in 9.556 sec: 0.602078 ( -0.0995611  0.100726 ) ph/cm2/s
    Energy fluence (15-150 keV)             : 4.74687e-07 ( -7.40681e-08  7.43808e-08 ) ergs/cm2
     
    
    Cutoff power-law model
    Spectral model in the cutoff power-law:
    ------------------------------------------------------------
    Parameters  : value       lower 90%   higher 90%
    Photon index: 0.820570     ( -1.50369   0.711414 )
    Epeak [keV] : 130.033      ( -130.092 -130.092 )
    Norm@50keV  : 8.58116E-03    ( -0.00419469   0.0331015 )
    ------------------------------------------------------------
    #Fit statistic : Chi-Squared =          72.69 using 59 PHA bins.
    # Reduced chi-squared =          1.298 for     56 degrees of freedom 
    # Null hypothesis probability =   6.624294e-02
     
    Photon flux (15-150 keV)    in 9.556 sec: 0.588710 ( -0.104891  0.105485 ) ph/cm2/s
    Energy fluence (15-150 keV)             : 4.61542e-07 ( -8.45295e-08  8.09928e-08 ) ergs/cm2
     
    
    Band function
     
    Spectral model in the Band function:
    ------------------------------------------------------------
    Parameters  : value       lower 90%   higher 90%
    alpha       : 4.97284   ( -14.8192   -4.97284 )
    beta        : -1.48593    ( -0.382368   0.321328 )
    Epeak [keV] : 31.2974      ( -12.4492 23.3191 )
    Norm@50keV   : 115.722    ( -17.2291   2452.42 )
    ------------------------------------------------------------
    #Fit statistic : Chi-Squared =          70.27 using 59 PHA bins.
    # Reduced chi-squared =          1.278 for     55 degrees of freedom 
    # Null hypothesis probability =   8.054347e-02
     
    Photon flux (15-150 keV)    in 9.556 sec:  (    ) ph/cm2/s
    Energy fluence (15-150 keV)             : 4.5647e-07 ( -4.56403e-07  -7.8385e-08 ) ergs/cm2
     
    

    S(25-50 keV) vs. S(50-100 keV) plot

    S(25-50 keV)  = 1.06e-07
    S(50-100 keV) = 1.71e-07
    

    T90 vs. Hardness ratio plot

    T90                                   = 8.71599990129471 sec.
    Hardness ratio (energy fluence ratio) = 1.61321
    

    Color vs. Color plot

    Count Ratio  (25-50 keV) / (15-25 keV) = 2.26621
    Count Ratio (50-100 keV) / (15-25 keV) = 2.03104
    

    Mask shadow pattern

    IMX = -1.003910591461702E+00, IMY = 9.576218893147721E-02
    

    TIME vs. PHA plot around the trigger time

    Blue+Cyan dotted lines: Time interval of the scaled map
    From 0.000000 to 8.192000
    

    TIME vs. DetID plot around the trigger time

    Blue+Cyan dotted lines: Time interval of the scaled map
    From 0.000000 to 8.192000
    

    100 us light curve (15-350 keV)

    Blue+Cyan dotted lines: Time interval of the scaled map
    From 0.000000 to 8.192000
    

    Spacecraft aspect plot

    Bright source in the pre-burst/pre-slew/post-slew images

    Pre-burst image of 15-350 keV band

    Time interval of the image:
    -107.955400 -0.384000
     
    # RAcent  DECcent POSerr Theta    Phi  PeakCts   SNR AngSep     Name
    #  [deg]    [deg]    ['] [deg]  [deg]                   [']
    244.9792 -15.6449    0.3  23.6  -65.3   5.8993  33.8    0.3	Sco X-1                       
    256.0006 -37.8034    5.0  12.3 -143.9   0.3340   2.3    2.5	4U 1700-377                   
    256.4948 -36.4087    5.5  11.1 -140.0   0.2999   2.1    3.0	GX 349+2                      
    263.0294 -24.8981    6.3   4.9  -41.1   0.2561   1.8    9.2	GX 1+4                        
    264.9408 -44.4902   15.0  15.7  178.6   0.1102   0.8    8.8	4U 1735-44                    
    268.4124  -1.4438   77.1  27.5    0.0   0.0240   0.1    2.7	SW J1753.5-0127               
    270.3446 -25.2052    5.7   5.2   41.5   0.2876   2.2    8.2	GX 5-1                        
    270.3600 -25.7316    4.6   4.8   46.0   0.4316   3.2    3.2	GRS 1758-258                  
    273.8561 -14.0631    7.1  16.4   22.4   0.2338   1.6    8.9	GX 17+2                       
    276.0988 -30.3956    5.3   8.7   97.8   0.3293   2.2    9.2	H1820-303                     
    284.9874 -24.8963   17.5  17.2   76.3   0.1066   0.7    3.0	HT1900.1-2455                 
    288.7899  10.9727    2.9  45.4   27.2   1.4868   3.9    1.7	GRS 1915+105                  
    263.1481 -34.0006    0.0   5.8 -158.7   0.2342   1.7   12.7	GX 354-0                      
    240.4458 -51.5800    2.6  29.7 -151.8   0.7100   4.4 ------	UNKNOWN                       
    188.4839 -73.7394    3.2  59.0 -166.2   3.3909   3.6 ------	UNKNOWN                       
    

    Pre-slew background subtracted image of 15-350 keV band

    Time interval of the image:
    -0.384000 9.172000
     
    # RAcent  DECcent POSerr Theta    Phi  PeakCts   SNR AngSep     Name
    #  [deg]    [deg]    ['] [deg]  [deg]                   [']
    244.8985 -15.7658    4.8  23.6  -65.7  -0.1082  -2.4    8.9	Sco X-1                       
    255.8080 -37.8673   42.3  12.5 -143.6  -0.0107  -0.3    8.6	4U 1700-377                   
    256.6470 -36.3034    0.0  11.0 -140.0  -0.0184  -0.5   12.5	GX 349+2                      
    263.1623 -24.7924    4.4   4.9  -39.2  -0.0986  -2.6    8.8	GX 1+4                        
    264.5407 -44.4419    4.7  15.6  179.6   0.0917   2.5    8.7	4U 1735-44                    
    268.3055  -1.3180    3.5  27.6   -0.2  -0.1357  -3.3    8.9	SW J1753.5-0127               
    270.4513 -25.0463    6.9   5.4   41.0  -0.0642  -1.7    9.3	GX 5-1                        
    270.3176 -25.5939    3.7   4.9   44.4   0.1164   3.1    9.0	GRS 1758-258                  
    274.1532 -14.1450    4.8  16.5   23.5   0.0931   2.4   10.8	GX 17+2                       
    276.0901 -30.3413    9.9   8.7   97.4  -0.0462  -1.2    8.7	H1820-303                     
    285.0978 -24.9758   24.6  17.3   76.7  -0.0199  -0.5    4.7	HT1900.1-2455                 
    288.8736  10.8005  522.2  45.3   27.4   0.0022   0.0    9.8	GRS 1915+105                  
    262.8058 -33.8830    6.7   5.8 -155.6  -0.0649  -1.7    9.6	GX 354-0                      
    241.9292 -72.1517    1.2  45.2 -174.6   0.6940   9.8 ------	UNKNOWN                       
    225.7877 -43.3258    2.1  35.3 -130.0   0.3291   5.5 ------	UNKNOWN                       
    233.7602   7.7168    1.8  48.1  -50.3   1.1136   6.3 ------	UNKNOWN                       
    

    Post-slew image of 15-350 keV band

    Time interval of the image:
    118.644600 962.559900
     
    # RAcent  DECcent POSerr Theta    Phi  PeakCts   SNR AngSep     Name
    #  [deg]    [deg]    ['] [deg]  [deg]                   [']
    135.4746 -40.6413   27.5  56.4 -169.9   1.8576   0.4    5.8	Vela X-1                      
    170.4477 -60.8023    0.0  28.6 -155.5   1.4565   1.5   11.4	Cen X-3                       
    186.6085 -62.8155    4.4  22.1 -144.8   2.5805   2.6    3.0	GX 301-2                      
    255.8448 -37.9413   10.7  34.9  -31.5   1.5148   1.1    8.9	4U 1700-377                   
    256.6903 -36.3970    8.3  36.5  -30.7   2.0405   1.4   12.4	GX 349+2                      
    262.8071 -24.7769    5.7  48.8  -25.4   5.1895   2.0   11.2	GX 1+4                        
    264.5122 -44.4599    8.5  29.7  -17.3   1.3494   1.4    9.9	4U 1735-44                    
    270.1628 -25.0565    6.1  49.6  -16.6  -3.7813  -1.9    6.7	GX 5-1                        
    270.2507 -25.6738    5.2  49.0  -16.4   4.5672   2.2    5.0	GRS 1758-258                  
    275.7900 -30.4177   10.3  45.4   -8.5   2.2863   1.1    7.6	H1820-303                     
    285.0416 -24.9199  179.1  52.8    0.2   0.1873   0.1    0.3	HT1900.1-2455                 
    262.9616 -33.9185   37.2  39.7  -23.1  -0.3957  -0.3    5.2	GX 354-0                      
     88.1945 -70.9081    3.1  36.0  143.4   5.8435   3.7 ------	UNKNOWN                       
    148.0878 -73.3475    3.9  25.1  171.6   3.4949   2.9 ------	UNKNOWN                       
    137.6229 -46.3090    3.1  50.5 -170.7   8.5903   3.7 ------	UNKNOWN                       
    270.8875 -17.6827    2.8  57.0  -17.5  15.3278   4.1 ------	UNKNOWN                       
    147.8938 -35.1869    4.2  58.0 -156.7  17.5644   2.8 ------	UNKNOWN                       
    
    Plot creation:
    Thu May 28 14:08:17 EDT 2015