batgrbproduct Analysis for Trigger=648437

Analysis Summary

Notes:

======================================================================
                  BAT GRB EVENT DATA PROCESSING REPORT
    Process Script Ver: batgrbproduct v2.46
    Process Start Time (local time): Fri Aug  7 22:55:28 EDT 2015
             Host Name: bat1
   Current Working Dir: /local/data/bat1/alien/Swift_3rdBATcatalog/event/batevent_reproc/trigger648437
======================================================================

  Trigger: 00648437      Segment: 000

  BAT Trigger Time: 458180897.568   [s; MET]
      Trigger Stop: 458180897.6   [s; MET]
               UTC: 2015-07-10T00:28:02.736460    [includes UTCF correction] 
       Where From?: (*SHORT BURST*) TDRSS scaled map message

  BAT 
    RA: 194.497391403333   Dec: 14.3051430419731  [deg; J2000]

     Catalogged Source?: NO
     Point Source?:      YES
     GRB Indicated?:     YES    [ by BAT flight software ]
     Image S/N Ratio:    9.75
     Image Trigger?:     NO
     Rate S/N Ratio:     48.6929152957594  [ if not an image trigger ]
     Image S/N Ratio:    9.75

  Flight Position:   [ source = BAT ]
    RA: 194.497391403333   Dec: 14.3051430419731  [deg; J2000]

  Ground Position:   [ source = BAT pre-slew burst ]
    RA: 194.485162921384   Dec: 14.3097054032528  [deg; J2000]  
        { 12h 57m 56.4s , +14d 18' 34.9" }
         +/- 1.49088655464398 [arcmin] (estimated 90% radius based on SNR)
         +/- 0.60543605573073 [arcmin] (formal 1-sigma fit error)
    SNR: 17.192553428323
 
  Angular difference between Flight and Ground position is 0.761832 arcmin
 
  Partial Coding Fraction: 1.015625    [ including projection effects ]

  Duration
     T90: 0.151999950408936 +/- 0.0601331884316159
        Measured from: 0.015999972820282
                   to: 0.167999923229218     [s; relative to TRIGTIME]
     T50: 0.0479999780654907 +/- 0.0144221847352656
        Measured from: 0.0199999809265137
                   to: 0.0679999589920044     [s; relative to TRIGTIME]



  Fluence
     Peak Flux  (peak 1 second)
        Measured from: -0.378000020980835     
                   to: 0.621999979019165     [s; relative to TRIGTIME]
     Total Fluence        
        Measured from: 0.015999972820282     
                   to: 0.223999977111816     [s; relative to TRIGTIME]
     
             Band 1     Band 2     Band 3     Band 4
              15-25      25-50     50-100    100-350     keV
 Total     0.012402   0.027987   0.039914   0.019666
           0.002778   0.003343   0.003644   0.002799 [error]
 Peak      0.009957   0.036839   0.038824   0.021161
           0.005164   0.005548   0.005377   0.004433 [error]

     [ fluence units of on-axis counts / fully illuminated detector ] 

======================================================================
 
=== Fluence/Peak Flux Summary ===
 
              Model    Band1    Band2    Band3    Band4    Band5    Total      
                       15-25    25-50   50-100  100-350   15-150   15-350   keV
Fluence   Power-law 3.23e-09 1.01e-08 2.61e-08 1.93e-07 7.09e-08 2.32e-07   erg/cm2
              Error 8.19e-10 1.53e-09 3.11e-09 5.55e-08 8.85e-09 5.68e-08   erg/cm2
Peak flux Power-law 1.18e-01 1.97e-01 2.49e-01 6.27e-01 7.39e-01 1.19e+00   ph/cm2/s
              Error 4.57e-02 4.63e-02 3.95e-02 2.30e-01 1.21e-01 2.31e-01   ph/cm2/s
 
Fluence   Cutoff-PL 3.02e-09 1.03e-08 2.69e-08 1.41e-07 7.03e-08 1.81e-07   erg/cm2
              Error 1.02e-09 1.64e-09 3.94e-09 -------- 9.27e-09 9.85e-08   erg/cm2
Peak flux Cutoff-PL 1.19e-01 1.97e-01 2.49e-01 6.21e-01 7.39e-01 1.19e+00   ph/cm2/s
              Error 5.14e-02 4.74e-02 4.40e-02 3.91e-01 1.22e-01 3.38e-01   ph/cm2/s
 
Fluence        Band -------- -------- -------- -------- -------- --------   erg/cm2
              Error -------- -------- -------- -------- -------- --------   erg/cm2
Peak flux      Band -------- -------- -------- -------- -------- --------   ph/cm2/s
              Error -------- -------- -------- -------- -------- --------   ph/cm2/s
 
=== Time-averaged spectral analysis ===
 
Model Ph_index Ph_90err Epeak  Epeak_90err Norm     Nomr_90err chi2   dof
PL    0.636    0.205    -      -           2.71e-02 3.25e-03   55.810 57
CPL   0.396    0.699     403.8    0.0      3.43e-02 3.04e-02   55.570 56
 
 
=== 1-s peak spectral analysis ===
 
Model Ph_index Ph_90err Epeak  Epeak_90err Norm     Nomr_90err chi2   dof
PL    0.664    0.299    -      -           6.37e-03 1.11e-03   41.770 57
CPL   0.658    0.302    9999.4    0.0      6.43e-03 9.13e-03   41.770 56
 
Model      : spectral model: simple power-law (PL) and cutoff power-law (CPL)
Ph_index   : photon index: E^-{Ph_index} (minus sign is not included in the index)
Ph_90err   : 90% error of the photon index
Epeak      : Epeak in keV
Epeak_90err: 90% error of Epeak
Norm       : normalization at 50 keV in PL model and at 1 keV in CPL model
Nomr_90err : 90% error of the normalization
chi2       : Chi-Squared
dof        : degree of freedom
 
=== T90/T50 calculation in the 50-300 keV band (BATSE band) using 64 ms lc ===
 
T90 in the 50-300 keV band: 0.064000 sec.
T50 in the 50-300 keV band: 0.064000 sec.
 
=== Table of the duration information ==
 
        Value   tstart    tstop
T100    0.208    0.016    0.224
T90     0.152    0.016    0.168
T50     0.048    0.020    0.068
Peak    1.000   -0.378    0.622
  • Click here for the BAT GCN circular template
  • Special notes of this burst

    Image

    Pre-slew 15.0-350.0 keV image (Event data)

    #   RAcent    DECcent   POSerr    Theta     Phi              Peak Cts       SNR   Name
      194.4852    14.3097   0.0111     5.7392    52.8854         0.1024303     17.193 TRIG_00648437                 
     
    Foreground time interval of the image:
      0.016   0.224 (delta_t =   0.208 [sec])
    Background time interval of the image:
    -239.568   0.016 (delta_t = 239.584 [sec])
    

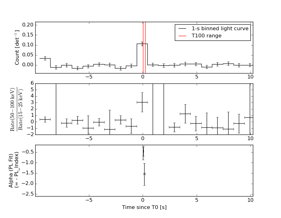
    Lightcurves

    Notes:

    1 s binning

    From T0-310 s to T0+310 s
    From T100_start - 20 s to T100_end + 30 s
    Full time interval

    64 ms binning

    Full time interval
    From T100_start to T100_end
    From T0-5 sec to T0+5 sec

    16 ms binning

    From T100_start-5 s to T100_start+5 s
    Blue+Cyan dotted lines: Time interval of the scaled map
    From 0.000000 to 0.032000
    

    8 ms binning

    From T100_start-3 s to T100_start+3 s
    Blue+Cyan dotted lines: Time interval of the scaled map
    From 0.000000 to 0.032000
    

    2 ms binning

    From T100_start-1 s to T100_start+1 s
    Blue+Cyan dotted lines: Time interval of the scaled map
    From 0.000000 to 0.032000
    

    SN=5 or 10 sec. binning (whichever binning is satisfied first)

    SN=5 or 10 sec. binning (T < 200 sec)

    Quad-rate summed light curves (from T0-300s to T0+1000s)

    Spectral Evolution

    Spectra

    Notes:

    Time averaged spectrum fit using the average DRM

    Power-law model
    Time interval is from    0.016 sec. to    0.224 sec.
     
    Spectral model in power-law:
    ------------------------------------------------------------
    Parameters  : value       lower 90%   higher 90%
    Photon index: 0.636140     ( -0.209712   0.200031 )
    Norm@50keV  : 2.71103E-02    ( -0.00326803   0.0032222 )
    ------------------------------------------------------------
    #Fit statistic : Chi-Squared =          55.81 using 59 PHA bins.
    # Reduced chi-squared =         0.9791 for     57 degrees of freedom 
    # Null hypothesis probability =   5.199094e-01
     
    Photon flux (15-150 keV)    in 0.208 sec: 3.15228 ( -0.35909  0.359386 ) ph/cm2/s
    Energy fluence (15-150 keV)             : 7.08843e-08 ( -8.82827e-09  8.88019e-09 ) ergs/cm2
     
    
    Cutoff power-law model
    Time interval is from    0.016 sec. to    0.224 sec.
    Spectral model in the cutoff power-law:
    ------------------------------------------------------------
    Parameters  : value       lower 90%   higher 90%
    Photon index: 0.395620     ( -0.980939   0.416716 )
    Epeak [keV] : 403.817      ( -403.745 -403.745 )
    Norm@50keV  : 3.42926E-02    ( -0.00994209   0.0508784 )
    ------------------------------------------------------------
    #Fit statistic : Chi-Squared =          55.57 using 59 PHA bins.
    # Reduced chi-squared =         0.9923 for     56 degrees of freedom 
    # Null hypothesis probability =   4.911649e-01
     
    Photon flux (15-150 keV)    in 0.208 sec: 3.13136 ( -0.36767  0.36641 ) ph/cm2/s
    Energy fluence (15-150 keV)             : 7.02899e-08 ( -9.37373e-09  9.17446e-09 ) ergs/cm2
     
    
    Band function
    Time interval is from    0.016 sec. to    0.224 sec.
     
    Spectral model in the Band function:
    ------------------------------------------------------------
    Parameters  : value       lower 90%   higher 90%
    alpha       : -0.922133   ( 0.922133   0.922133 )
    beta        : -0.636141    ( -0.200033   0.210089 )
    Epeak [keV] : 15.6010      ( -15.601 -15.601 )
    Norm@50keV   : 3.80646E-02    ( -0.0140918   471477 )
    ------------------------------------------------------------
    #Fit statistic : Chi-Squared =          55.81 using 59 PHA bins.
    # Reduced chi-squared =          1.015 for     55 degrees of freedom 
    # Null hypothesis probability =   4.442864e-01
     
    Photon flux (15-150 keV)    in 0.208 sec:  (    ) ph/cm2/s
    Energy fluence (15-150 keV)             : 0 ( 0  0 ) ergs/cm2
     
    
    Single BB
     
    Spectral model blackbody:
    ------------------------------------------------------------
    Parameters  : value    Lower 90%  Upper 90%
    kT [keV]    : 27.3806  (-4.23481  5.6745)
    R^2/D10^2   : 6.38455E-02  (-0.0260559   0.0396452)
    (R is the radius in km and D10 is the distance to the source in units of 10 kpc)
    ------------------------------------------------------------
    #Fit statistic : Chi-Squared =          62.51 using 59 PHA bins.
    # Reduced chi-squared =          1.097 for     57 degrees of freedom 
    # Null hypothesis probability =   2.868497e-01
     
    Energy  Fluence     90% Error
    [keV]   [erg/cm2]   [erg/cm2]
    15- 25  1.645e-09   3.768e-10
    25- 50  9.750e-09   2.000e-09
    50-150  5.321e-08   9.890e-09
    15-150  6.460e-08   1.058e-08
    
    Thermal bremsstrahlung (OTTB)
     
     
    Spectral model: thermal bremsstrahlung
    ------------------------------------------------------------
    Parameters  : value         Lower 90%    Upper 90%
    kT [keV]    : 200.000       (-20.1174      -200)
    Norm        : 11.1273       (-1.42998     1.42998)
    ------------------------------------------------------------
    #Fit statistic : Chi-Squared =         106.52 using 59 PHA bins.
    # Reduced chi-squared =         1.8688 for     57 degrees of freedom 
    # Null hypothesis probability =   7.703757e-05
     
    Energy  Fluence     90% Error
    [keV]   [erg/cm2]   [erg/cm2]
    15- 25  5.760e-09   3.241e-09
    25- 50  1.108e-08   6.207e-09
    50-150  2.430e-08   1.351e-08
    15-150  4.114e-08   2.308e-08
    
    Double BB
    R1^2/D10^2  : 0.182482        (-0.106087      0.191833)
    kT2 [keV]   : 200.000        (-200      -200)
    R2^2/D10^2  : 6.47977E-04    (-0.000323122   0.00411854)
    ------------------------------------------------------------
    #Fit statistic : Chi-Squared =          55.28 using 59 PHA bins.
    #Fit statistic : Chi-Squared =          55.03 using 59 PHA bins.
    #Fit statistic : Chi-Squared =          55.01 using 59 PHA bins.
    # Reduced chi-squared =          1.005 for     55 degrees of freedom 
    # Reduced chi-squared =          1.000 for     55 degrees of freedom 
    # Reduced chi-squared =          1.000 for     55 degrees of freedom 
    # Null hypothesis probability =   4.640508e-01
    # Null hypothesis probability =   4.736061e-01
    # Null hypothesis probability =   4.742847e-01
     
    Energy  Fluence     90% Error
    [keV]   [erg/cm2]   [erg/cm2]
    15- 25  2.424e-09   1.442e-09
    25- 50  1.103e-08   6.141e-09
    50-150  5.585e-08   2.818e-08
    15-150  6.931e-08   3.669e-08
    

    Peak spectrum fit

    Power-law model
    Time interval is from   -0.378 sec. to    0.622 sec.
     
    Spectral model in power-law:
    ------------------------------------------------------------
    Parameters  : value       lower 90%   higher 90%
    Photon index: 0.663887     ( -0.314115   0.284562 )
    Norm@50keV  : 6.37336E-03    ( -0.00113327   0.00109659 )
    ------------------------------------------------------------
    #Fit statistic : Chi-Squared =          41.77 using 59 PHA bins.
    # Reduced chi-squared =         0.7328 for     57 degrees of freedom 
    # Null hypothesis probability =   9.349917e-01
     
    Photon flux (15-150 keV)    in 1 sec: 0.739010 ( -0.120713  0.121483 ) ph/cm2/s
    Energy fluence (15-150 keV)             : 7.90872e-08 ( -1.31324e-08  1.32101e-08 ) ergs/cm2
     
    
    Cutoff power-law model
    Time interval is from   -0.378 sec. to    0.622 sec.
    Spectral model in the cutoff power-law:
    ------------------------------------------------------------
    Parameters  : value       lower 90%   higher 90%
    Photon index: 0.657502     ( -0.318266   0.285653 )
    Epeak [keV] : 9999.36      ( -9999.36 -9999.36 )
    Norm@50keV  : 6.42692E-03    ( -0.0010619   0.0172052 )
    ------------------------------------------------------------
    #Fit statistic : Chi-Squared =          41.77 using 59 PHA bins.
    # Reduced chi-squared =         0.7459 for     56 degrees of freedom 
    # Null hypothesis probability =   9.214111e-01
     
    Photon flux (15-150 keV)    in 1 sec: 0.738987 ( -0.122407  0.120908 ) ph/cm2/s
    Energy fluence (15-150 keV)             : 7.91018e-08 ( -1.39343e-08  1.3195e-08 ) ergs/cm2
     
    
    Band function
    Time interval is from   -0.378 sec. to    0.622 sec.
     
    Spectral model in the Band function:
    ------------------------------------------------------------
    Parameters  : value       lower 90%   higher 90%
    alpha       : -0.811580   ( 0.81158   0.81158 )
    beta        : -0.663888    ( -0.284065   0.314118 )
    Epeak [keV] : 16.3624      ( -16.3624 -16.3624 )
    Norm@50keV   : 9.10563E-03    ( -0.00382085   0 )
    ------------------------------------------------------------
    #Fit statistic : Chi-Squared =          41.77 using 59 PHA bins.
    # Reduced chi-squared =         0.7594 for     55 degrees of freedom 
    # Null hypothesis probability =   9.057167e-01
     
    Photon flux (15-150 keV)    in 1 sec:  (    ) ph/cm2/s
    Energy fluence (15-150 keV)             : 0 ( 0  0 ) ergs/cm2
     
    
    Single BB
     
    Spectral model blackbody:
    ------------------------------------------------------------
    Parameters  : value    Lower 90%  Upper 90%
    kT [keV]    : 26.6749  (-5.70002  9.14051)
    R^2/D10^2   : 1.57960E-02  (-0.00890551   0.0165702)
    (R is the radius in km and D10 is the distance to the source in units of 10 kpc)
    ------------------------------------------------------------
    #Fit statistic : Chi-Squared =          46.81 using 59 PHA bins.
    # Reduced chi-squared =         0.8212 for     57 degrees of freedom 
    # Null hypothesis probability =   8.301711e-01
     
    Energy  Fluence     90% Error
    [keV]   [erg/cm2]   [erg/cm2]
    15- 25  1.884e-09   7.794e-10
    25- 50  1.104e-08   3.271e-09
    50-150  5.754e-08   1.850e-08
    15-150  7.046e-08   1.946e-08
    
    Thermal bremsstrahlung (OTTB)
     
     
    Spectral model: thermal bremsstrahlung
    ------------------------------------------------------------
    Parameters  : value         Lower 90%    Upper 90%
    kT [keV]    : 200.000       (-33.7314      -200)
    Norm        : 2.83058       (-0.502745     0.502745)
    ------------------------------------------------------------
    #Fit statistic : Chi-Squared =          67.06 using 59 PHA bins.
    # Reduced chi-squared =          1.177 for     57 degrees of freedom 
    # Null hypothesis probability =   1.700695e-01
     
    Energy  Fluence     90% Error
    [keV]   [erg/cm2]   [erg/cm2]
    15- 25  7.047e-09   4.148e-09
    25- 50  1.356e-08   7.765e-09
    50-150  2.973e-08   1.705e-08
    15-150  5.034e-08   2.894e-08
    
    Double BB
    R1^2/D10^2  : 6.08966E-02        (-0.0386039      0.0984043)
    kT2 [keV]   : 199.363        (-199.363      -199.363)
    R2^2/D10^2  : 1.68188E-04    (-7.9875e-05   0.00265148)
    ------------------------------------------------------------
    #Fit statistic : Chi-Squared =          39.57 using 59 PHA bins.
    #Fit statistic : Chi-Squared =          39.08 using 59 PHA bins.
    #Fit statistic : Chi-Squared =          38.91 using 59 PHA bins.
    # Reduced chi-squared =         0.7195 for     55 degrees of freedom 
    # Reduced chi-squared =         0.7105 for     55 degrees of freedom 
    # Reduced chi-squared =         0.7074 for     55 degrees of freedom 
    # Null hypothesis probability =   9.419411e-01
    # Null hypothesis probability =   9.485038e-01
    # Null hypothesis probability =   9.506244e-01
     
    Energy  Fluence     90% Error
    [keV]   [erg/cm2]   [erg/cm2]
    15- 25  3.151e-09   1.795e-09
    25- 50  1.305e-08   7.240e-09
    50-150  6.232e-08   4.350e-08
    15-150  7.852e-08   4.443e-08
    

    Pre-slew spectrum (Pre-slew PHA with pre-slew DRM)

    Power-law model
     
    Spectral model in power-law:
    ------------------------------------------------------------
    Parameters  : value       lower 90%   higher 90%
    Photon index: 0.636140     ( -0.209712   0.200031 )
    Norm@50keV  : 2.71103E-02    ( -0.00326803   0.0032222 )
    ------------------------------------------------------------
    #Fit statistic : Chi-Squared =          55.81 using 59 PHA bins.
    # Reduced chi-squared =         0.9791 for     57 degrees of freedom 
    # Null hypothesis probability =   5.199094e-01
     
    Photon flux (15-150 keV)    in 0.208 sec: 3.15228 ( -0.35909  0.359386 ) ph/cm2/s
    Energy fluence (15-150 keV)             : 7.08843e-08 ( -8.82827e-09  8.88019e-09 ) ergs/cm2
     
    
    Cutoff power-law model
    Spectral model in the cutoff power-law:
    ------------------------------------------------------------
    Parameters  : value       lower 90%   higher 90%
    Photon index: 0.395620     ( -0.980939   0.416716 )
    Epeak [keV] : 403.817      ( -403.745 -403.745 )
    Norm@50keV  : 3.42926E-02    ( -0.00994209   0.0508784 )
    ------------------------------------------------------------
    #Fit statistic : Chi-Squared =          55.57 using 59 PHA bins.
    # Reduced chi-squared =         0.9923 for     56 degrees of freedom 
    # Null hypothesis probability =   4.911649e-01
     
    Photon flux (15-150 keV)    in 0.208 sec: 3.13136 ( -0.36767  0.36641 ) ph/cm2/s
    Energy fluence (15-150 keV)             : 7.02899e-08 ( -9.37373e-09  9.17446e-09 ) ergs/cm2
     
    
    Band function
     
    Spectral model in the Band function:
    ------------------------------------------------------------
    Parameters  : value       lower 90%   higher 90%
    alpha       : -0.922133   ( 0.922133   0.922133 )
    beta        : -0.636141    ( -0.200033   0.210089 )
    Epeak [keV] : 15.6010      ( -15.601 -15.601 )
    Norm@50keV   : 3.80646E-02    ( -0.0140918   471477 )
    ------------------------------------------------------------
    #Fit statistic : Chi-Squared =          55.81 using 59 PHA bins.
    # Reduced chi-squared =          1.015 for     55 degrees of freedom 
    # Null hypothesis probability =   4.442864e-01
     
    Photon flux (15-150 keV)    in 0.208 sec:  (    ) ph/cm2/s
    Energy fluence (15-150 keV)             : 0 ( 0  0 ) ergs/cm2
     
    

    S(25-50 keV) vs. S(50-100 keV) plot

    S(25-50 keV)  = 1.01e-08
    S(50-100 keV) = 2.61e-08
    

    T90 vs. Hardness ratio plot

    T90                                   = 0.151999950408936 sec.
    Hardness ratio (energy fluence ratio) = 2.58416
    

    Color vs. Color plot

    Count Ratio  (25-50 keV) / (15-25 keV) = 2.25665
    Count Ratio (50-100 keV) / (15-25 keV) = 3.21835
    

    Mask shadow pattern

    IMX = 6.064522092054508E-02, IMY = -8.014500274109104E-02
    

    TIME vs. PHA plot around the trigger time

    Blue+Cyan dotted lines: Time interval of the scaled map
    From 0.000000 to 0.032000
    

    TIME vs. DetID plot around the trigger time

    Blue+Cyan dotted lines: Time interval of the scaled map
    From 0.000000 to 0.032000
    

    100 us light curve (15-350 keV)

    Blue+Cyan dotted lines: Time interval of the scaled map
    From 0.000000 to 0.032000
    

    Spacecraft aspect plot

    Bright source in the pre-burst/pre-slew/post-slew images

    Pre-burst image of 15-350 keV band

    Time interval of the image:
    -239.568000 0.016000
     
    # RAcent  DECcent POSerr Theta    Phi  PeakCts   SNR AngSep     Name
    #  [deg]    [deg]    ['] [deg]  [deg]                   [']
    239.6722  41.8725    2.5  52.8   26.5   4.3046   4.6 ------	UNKNOWN                       
    194.6551  65.4771    2.8  52.9  -17.0   1.9724   4.1 ------	UNKNOWN                       
    153.4394 -34.2174    2.5  57.7 -165.5   4.5840   4.6 ------	UNKNOWN                       
    148.0582 -31.2082    3.4  58.8 -159.2   5.1862   3.4 ------	UNKNOWN                       
    

    Pre-slew background subtracted image of 15-350 keV band

    Time interval of the image:
    0.016000 0.224000
     
    # RAcent  DECcent POSerr Theta    Phi  PeakCts   SNR AngSep     Name
    #  [deg]    [deg]    ['] [deg]  [deg]                   [']
    194.4852  14.3097    0.7   5.7   52.9   0.1024  17.2 ------	UNKNOWN                       
    

    Post-slew image of 15-350 keV band

    Time interval of the image:
    32.732600 962.497800
     
    # RAcent  DECcent POSerr Theta    Phi  PeakCts   SNR AngSep     Name
    #  [deg]    [deg]    ['] [deg]  [deg]                   [']
    236.2058  47.7733    3.0  48.0   16.4   4.4236   3.8 ------	UNKNOWN                       
    233.8533  53.5158    3.8  49.9    8.9   3.7224   3.0 ------	UNKNOWN                       
    206.9800  21.1493    3.8  13.7   37.7   1.4276   3.0 ------	UNKNOWN                       
    183.6665 -19.1805    2.6  35.2  177.3   2.7801   4.4 ------	UNKNOWN                       
    182.9973 -18.9017    2.7  35.1  178.5   2.5342   4.2 ------	UNKNOWN                       
    
    Plot creation:
    Sat Aug  8 00:37:44 EDT 2015