batgrbproduct Analysis for Trigger=650411

Analysis Summary

Notes:

======================================================================
                  BAT GRB EVENT DATA PROCESSING REPORT
    Process Script Ver: batgrbproduct v2.46
    Process Start Time (local time): Mon Jul 27 21:56:16 EDT 2015
             Host Name: bat1
   Current Working Dir: /local/data/bat1/prebascript/trigger650411/GCN5_download_cron
======================================================================

  Trigger: 00650411      Segment: 000

  BAT Trigger Time: 459655136   [s; MET]
      Trigger Stop: 459655200   [s; MET]
               UTC: 2015-07-27T01:58:41.091340    [includes UTCF correction] 
       Where From?: TDRSS position message

  BAT 
    RA: 54.3521165119978   Dec: 53.2186671157837  [deg; J2000]

     Catalogged Source?: NO
     Point Source?:      YES
     GRB Indicated?:     YES    [ by BAT flight software ]
     Image S/N Ratio:    8.54
     Image Trigger?:     YES
     Rate S/N Ratio:     0  [ if not an image trigger ]
     Image S/N Ratio:    8.54

  Flight Position:   [ source = BAT ]
    RA: 54.3521165119978   Dec: 53.2186671157837  [deg; J2000]

  Ground Position:   [ source = BAT pre-slew burst ]
    RA: 54.3787010127372   Dec: 53.1971926524779  [deg; J2000]  
        { 03h 37m 30.9s , +53d 11' 49.9" }
         +/- 2.40266972525266 [arcmin] (estimated 90% radius based on SNR)
         +/- 1.37949667805527 [arcmin] (formal 1-sigma fit error)
    SNR: 8.69500227230253
 
  Angular difference between Flight and Ground position is 1.603983 arcmin
 
  Partial Coding Fraction: 0.1601562    [ including projection effects ]

  Duration
     T90: 64 +/- 
        Measured from: 0
                   to: 64     [s; relative to TRIGTIME]
     T50: 64 +/- 
        Measured from: 0
                   to: 64     [s; relative to TRIGTIME]

    WARNING: battblocks failed.  Used TDRSS fore/background intervals

  Fluence
     Peak Flux  (peak 64 second)
        Measured from: 0     
                   to: 64     [s; relative to TRIGTIME]
     Total Fluence        
        Measured from: 0     
                   to: 64     [s; relative to TRIGTIME]
     
             Band 1     Band 2     Band 3     Band 4
              15-25      25-50     50-100    100-350     keV
 Total     1.296417   0.413691   0.077743   0.014910
           0.110245   0.108799   0.092521   0.081088 [error]
 Peak      1.296417   0.413691   0.077743   0.014910
           0.110245   0.108799   0.092521   0.081088 [error]

     [ fluence units of on-axis counts / fully illuminated detector ] 

======================================================================
 
=== Fluence/Peak Flux Summary ===
 
              Model    Band1    Band2    Band3    Band4    Band5    Total      
                       15-25    25-50   50-100  100-350   15-150   15-350   keV
Fluence   Power-law 4.82e-07 1.56e-07 2.81e-08 5.89e-09 6.70e-07 6.72e-07   erg/cm2
              Error 8.14e-08 7.37e-08 3.25e-08 1.48e-08 1.40e-07 1.44e-07   erg/cm2
Peak flux Power-law 2.59e-01 4.81e-02 4.33e-03 4.23e-04 3.11e-01 3.11e-01   ph/cm2/s
              Error 4.51e-02 2.14e-02 4.84e-03 9.93e-04 5.15e-02 5.15e-02   ph/cm2/s
 
Fluence   Cutoff-PL 4.85e-07 1.43e-07 2.28e-08 4.26e-09 6.55e-07 6.54e-07   erg/cm2
              Error 8.25e-08 7.50e-08 3.71e-08 1.50e-08 -------- 1.46e-07   erg/cm2
Peak flux Cutoff-PL 2.59e-01 4.77e-02 4.25e-03 4.08e-04 3.11e-01 3.11e-01   ph/cm2/s
              Error -------- -------- -------- -------- 5.15e-02 5.15e-02   ph/cm2/s
 
Fluence        Band -------- -------- -------- -------- -------- --------   erg/cm2
              Error -------- -------- -------- -------- -------- --------   erg/cm2
Peak flux      Band 1.74e-01 2.88e-03 1.07e-05 3.92e-08 1.77e-01 1.77e-01   ph/cm2/s
              Error -------- -------- -------- -------- -------- --------   ph/cm2/s
 
=== Time-averaged spectral analysis ===
 
Model Ph_index Ph_90err Epeak  Epeak_90err Norm     Nomr_90err chi2   dof
PL    4.472    0.901    -      -           3.31e-04 2.88e-04   80.310 57
CPL   1.830    0.000       1.2    0.0      6.35e-02 0.00e+00   84.230 56
 
 
=== 1-s peak spectral analysis ===
 
Model Ph_index Ph_90err Epeak  Epeak_90err Norm     Nomr_90err chi2   dof
PL    4.472    0.901    -      -           3.31e-04 2.88e-04   80.310 57
CPL   1.830    0.000       1.2    0.0      6.35e-02 0.00e+00   84.230 56
 
Model      : spectral model: simple power-law (PL) and cutoff power-law (CPL)
Ph_index   : photon index: E^-{Ph_index} (minus sign is not included in the index)
Ph_90err   : 90% error of the photon index
Epeak      : Epeak in keV
Epeak_90err: 90% error of Epeak
Norm       : normalization at 50 keV in PL model and at 1 keV in CPL model
Nomr_90err : 90% error of the normalization
chi2       : Chi-Squared
dof        : degree of freedom
 
=== T90/T50 calculation in the 50-300 keV band (BATSE band) using 64 ms lc ===
 
T90 in the 50-300 keV band: 0.000000 sec.
T50 in the 50-300 keV band: 0.000000 sec.
 
=== Table of the duration information ==
 
        Value   tstart    tstop
T100   64.000    0.000   64.000
T90    64.000    0.000   64.000
T50    64.000    0.000   64.000
Peak   64.000    0.000   64.000
  • Click here for the BAT GCN circular template

    Image

    Pre-slew 15-350 keV image (Event data; bkg subtracted)

    #   RAcent  DECcent POSerr  Theta    Phi     Peak Cts     SNR  Name
       54.3787 +53.1972 0.0221   41.0 -119.5       1.8906     8.7  TRIG_00650411       
    ------------------------------------------
     
    Foreground time interval of the image:
      0.000  64.000 (delta_t =  64.000 [sec])
    Background time interval of the image:
    

    Lightcurves

    Notes:

    1 s binning

    From T0-310 s to T0+310 s
    From T100_start - 20 s to T100_end + 30 s
    Full time interval

    64 ms binning

    Full time interval
    From T100_start to T100_end
    From T0-5 sec to T0+5 sec

    16 ms binning

    From T100_start-5 s to T100_start+5 s
    Blue+Cyan dotted lines: Time interval of the scaled map
    From 0.000000 to 64.000000
    

    8 ms binning

    From T100_start-3 s to T100_start+3 s
    Blue+Cyan dotted lines: Time interval of the scaled map
    From 0.000000 to 64.000000
    

    2 ms binning

    From T100_start-1 s to T100_start+1 s
    Blue+Cyan dotted lines: Time interval of the scaled map
    From 0.000000 to 64.000000
    

    SN=5 or 10 sec. binning (whichever binning is satisfied first)

    SN=5 or 10 sec. binning (T < 200 sec)

    Spectra

    Notes:

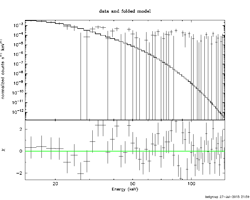
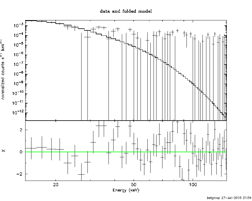
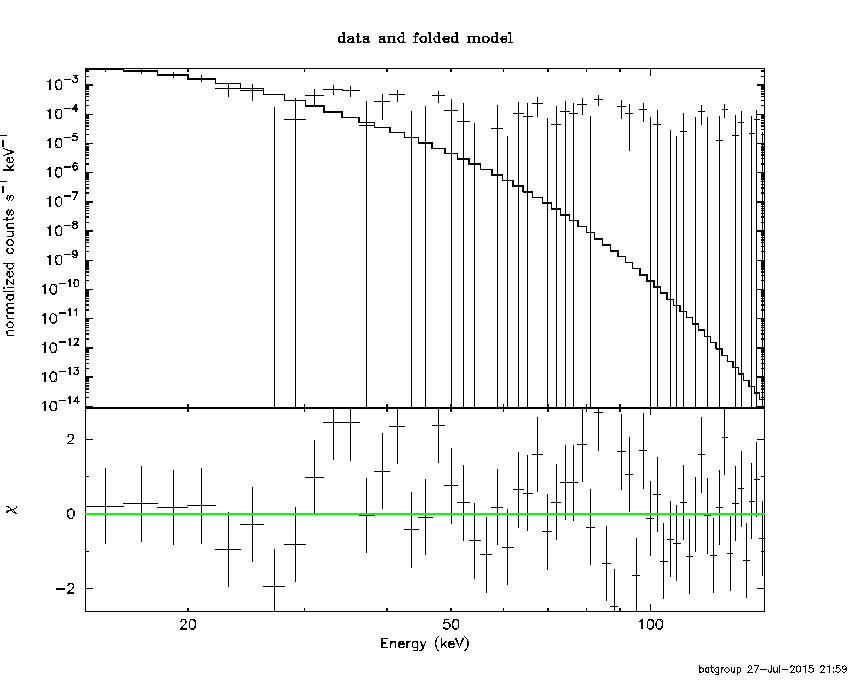
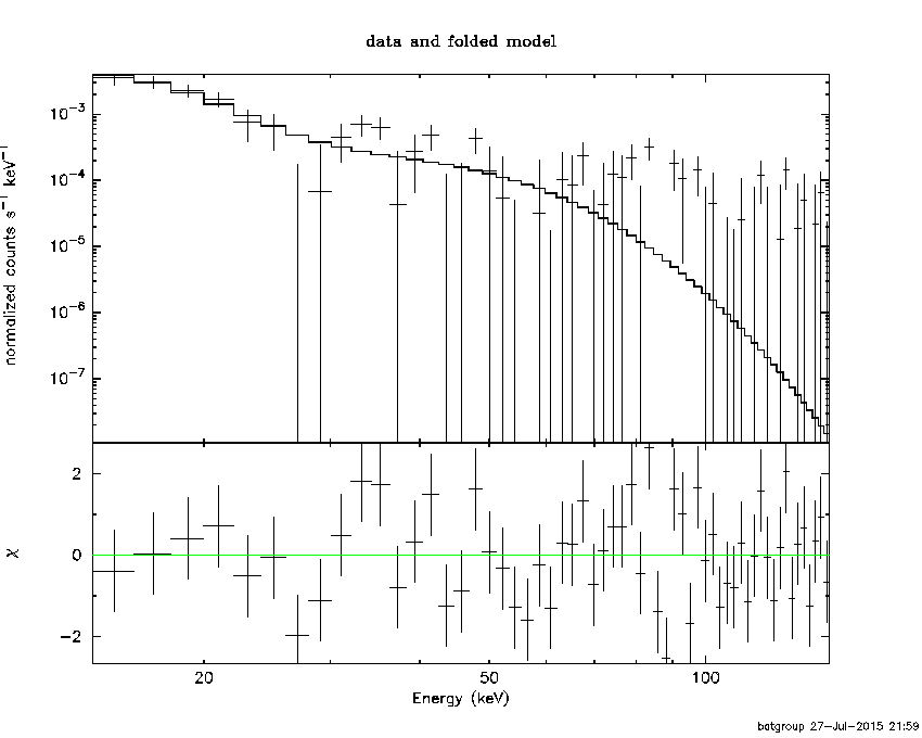
    Time averaged spectrum fit using the pre-slew DRM

    Power-law model
    Time interval is from    0.000 sec. to   64.000 sec.
     
    Spectral model in power-law:
    ------------------------------------------------------------
    Parameters  : value       lower 90%   higher 90%
    Photon index: 4.47239     ( -0.818128   0.984438 )
    Norm@50keV  : 3.30643E-04    ( -0.000209814   0.000365674 )
    ------------------------------------------------------------
    #Fit statistic : Chi-Squared =          80.31 using 59 PHA bins.
    # Reduced chi-squared =          1.409 for     57 degrees of freedom 
    # Null hypothesis probability =   2.265005e-02
     
    Photon flux (15-150 keV)    in 64 sec: 0.311309 ( -0.0514846  0.0515026 ) ph/cm2/s
    Energy fluence (15-150 keV)             : 6.70374e-07 ( -1.33058e-07  1.46586e-07 ) ergs/cm2
     
    
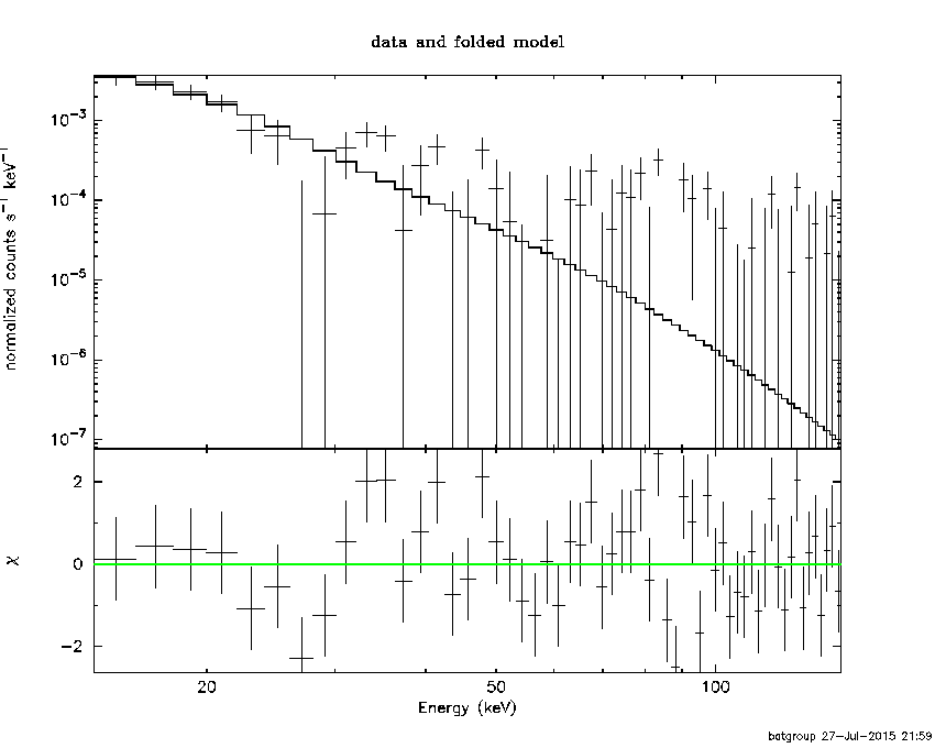
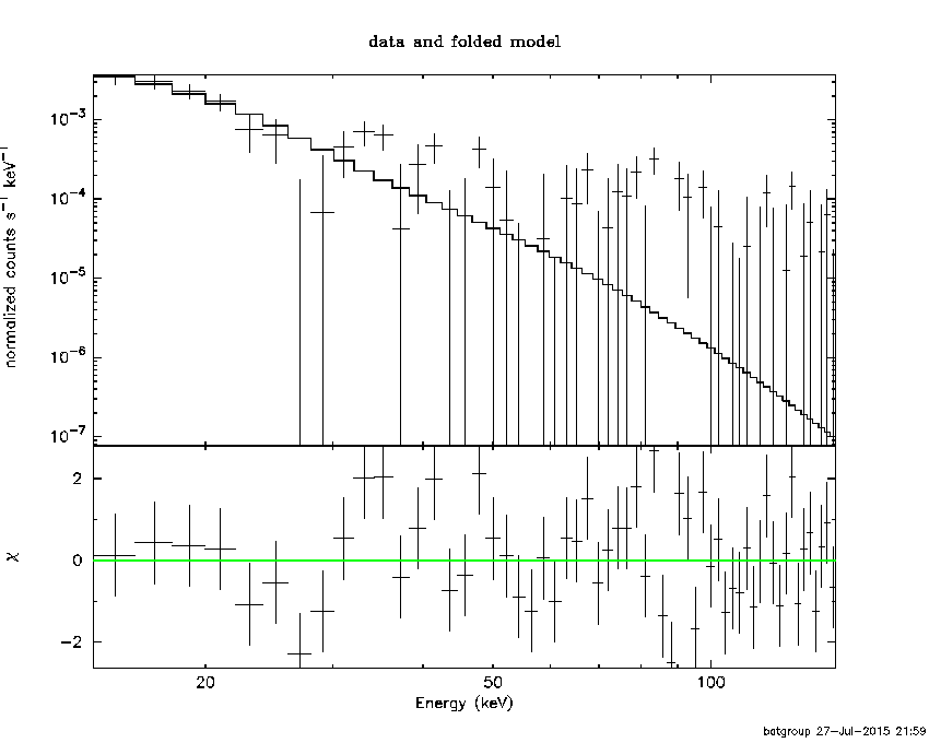
    Cutoff power-law model
    Time interval is from    0.000 sec. to   64.000 sec.
    Spectral model in the cutoff power-law:
    ------------------------------------------------------------
    Parameters  : value       lower 90%   higher 90%
    Photon index: 1.83025     (     )
    Epeak [keV] : 1.21077      (   )
    Norm@50keV  : 6.34753E-02    (     )
    ------------------------------------------------------------
    #Fit statistic : Chi-Squared =          84.23 using 59 PHA bins.
    # Reduced chi-squared =          1.504 for     56 degrees of freedom 
    # Null hypothesis probability =   8.705066e-03
     
    Photon flux (15-150 keV)    in 64 sec: 0.310905 ( -0.051315  0.051619 ) ph/cm2/s
    Energy fluence (15-150 keV)             : 6.54835e-07 ( 0  0 ) ergs/cm2
     
    
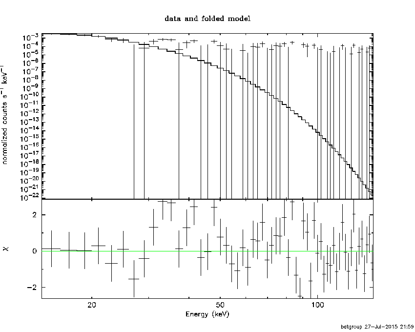
    Band function
    Time interval is from    0.000 sec. to   64.000 sec.
     
    Spectral model in the Band function:
    ------------------------------------------------------------
    Parameters  : value       lower 90%   higher 90%
    alpha       : -6.53481   ( 6.53481   6.53481 )
    beta        : -4.47304    ( -0.985017   0.818585 )
    Epeak [keV] : 12.2738      ( -12.2738 -12.2738 )
    Norm@50keV   : 4.49113E-02    ( -0.0284918   0.0497203 )
    ------------------------------------------------------------
    #Fit statistic : Chi-Squared =          80.31 using 59 PHA bins.
    # Reduced chi-squared =          1.460 for     55 degrees of freedom 
    # Null hypothesis probability =   1.461483e-02
     
    Photon flux (15-150 keV)    in 64 sec: 0.176920 (    ) ph/cm2/s
    Energy fluence (15-150 keV)             : 0 ( 0  0 ) ergs/cm2
     
    
    Single BB
     
    Spectral model blackbody:
    ------------------------------------------------------------
    Parameters  : value    Lower 90%  Upper 90%
    kT [keV]    : 2.70772  (-0.452343  0.610869)
    R^2/D10^2   : 81.8591  (-81.8592   222.962)
    (R is the radius in km and D10 is the distance to the source in units of 10 kpc)
    ------------------------------------------------------------
    #Fit statistic : Chi-Squared =          86.35 using 59 PHA bins.
    # Reduced chi-squared =          1.515 for     57 degrees of freedom 
    # Null hypothesis probability =   7.298855e-03
     
    Energy  Fluence     90% Error
    [keV]   [erg/cm2]   [erg/cm2]
    15- 25  5.034e-07   2.741e-07
    25- 50  5.055e-08   3.105e-08
    50-150  3.385e-11   3.530e-11
    15-150  5.540e-07   3.058e-07
    
    Thermal bremsstrahlung (OTTB)
     
     
    Spectral model: thermal bremsstrahlung
    ------------------------------------------------------------
    Parameters  : value         Lower 90%    Upper 90%
    kT [keV]    : 5.93120       (-1.71457      3.46838)
    Norm        : 38.6006       (-27.1504     89.2443)
    ------------------------------------------------------------
    #Fit statistic : Chi-Squared =          84.63 using 59 PHA bins.
    # Reduced chi-squared =          1.485 for     57 degrees of freedom 
    # Null hypothesis probability =   1.020714e-02
     
    Energy  Fluence     90% Error
    [keV]   [erg/cm2]   [erg/cm2]
    15- 25  4.953e-07   2.345e-07
    25- 50  9.004e-08   4.867e-08
    50-150  1.033e-09   1.021e-09
    15-150  5.864e-07   2.436e-07
    
    Double BB
     
     
    Spectral model: bbodyrad<1> + bbodyrad<2>
    ------------------------------------------------------------
    Parameters  : value         Lower 90%    Upper 90%
    kT1 [keV]   : 2.19760        (-0.488515      0.555373)
    R1^2/D10^2  : 303.838        (-240.808      1889.63)
    kT2 [keV]   : 9.93483        (-3.58089      7.9542)
    R2^2/D10^2  : 5.68633E-02    (-0.0523514   0.181087)
    ------------------------------------------------------------
    #Fit statistic : Chi-Squared =          74.92 using 59 PHA bins.
    # Reduced chi-squared =          1.362 for     55 degrees of freedom 
    # Null hypothesis probability =   3.829371e-02
     
    Energy  Fluence     90% Error
    [keV]   [erg/cm2]   [erg/cm2]
    15- 25  4.692e-07   2.540e-07
    25- 50  1.966e-07   1.196e-07
    50-150  9.208e-08   7.485e-08
    15-150  7.578e-07   3.894e-07
    

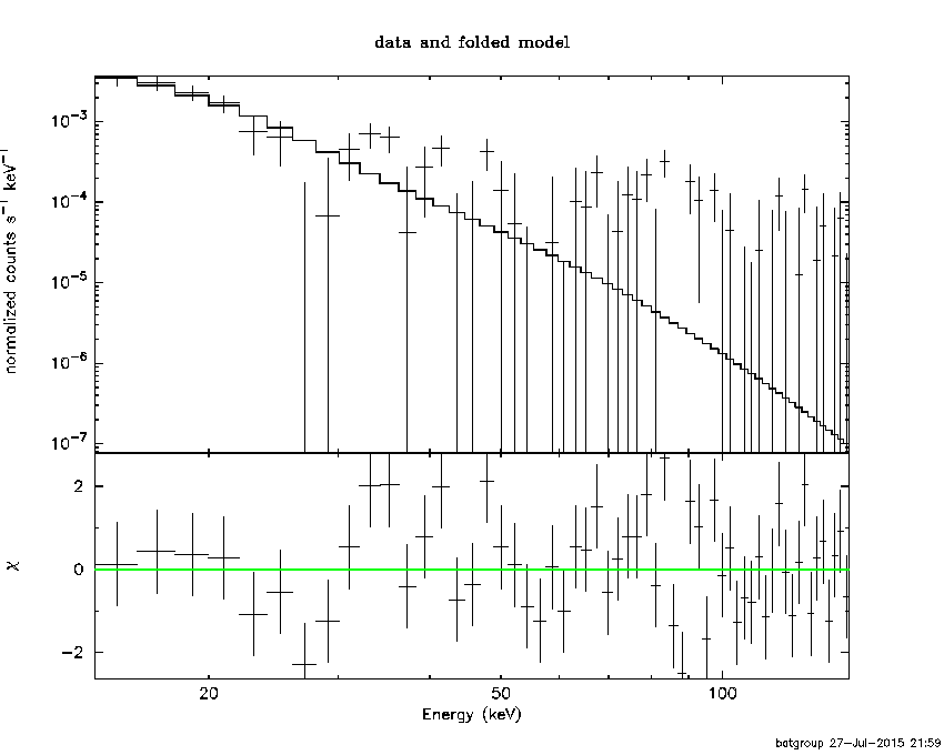
    Peak spectrum fit

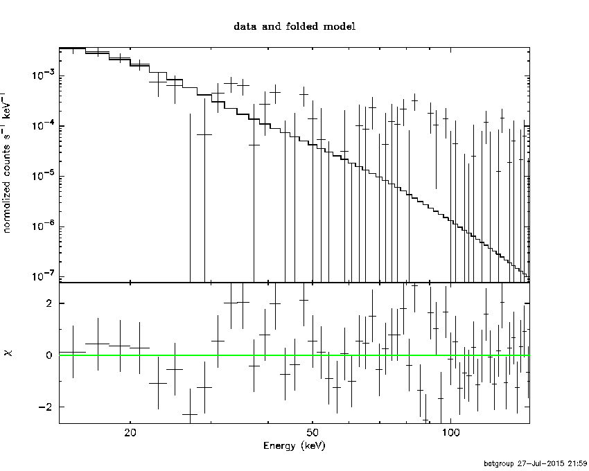
    Power-law model
    Time interval is from    0.000 sec. to   64.000 sec.
     
    Spectral model in power-law:
    ------------------------------------------------------------
    Parameters  : value       lower 90%   higher 90%
    Photon index: 4.47239     ( -0.818128   0.984438 )
    Norm@50keV  : 3.30643E-04    ( -0.000209814   0.000365674 )
    ------------------------------------------------------------
    #Fit statistic : Chi-Squared =          80.31 using 59 PHA bins.
    # Reduced chi-squared =          1.409 for     57 degrees of freedom 
    # Null hypothesis probability =   2.265005e-02
     
    Photon flux (15-150 keV)    in 64 sec: 0.311309 ( -0.0514846  0.0515026 ) ph/cm2/s
    Energy fluence (15-150 keV)             : 6.70374e-07 ( -1.33058e-07  1.46586e-07 ) ergs/cm2
     
    
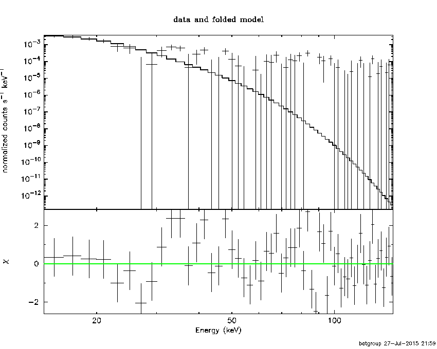
    Cutoff power-law model
    Time interval is from    0.000 sec. to   64.000 sec.
    Spectral model in the cutoff power-law:
    ------------------------------------------------------------
    Parameters  : value       lower 90%   higher 90%
    Photon index: 1.83025     (     )
    Epeak [keV] : 1.21077      (   )
    Norm@50keV  : 6.34753E-02    (     )
    ------------------------------------------------------------
    #Fit statistic : Chi-Squared =          84.23 using 59 PHA bins.
    # Reduced chi-squared =          1.504 for     56 degrees of freedom 
    # Null hypothesis probability =   8.705066e-03
     
    Photon flux (15-150 keV)    in 64 sec: 0.310905 ( -0.051315  0.051619 ) ph/cm2/s
    Energy fluence (15-150 keV)             : 6.54835e-07 ( 0  0 ) ergs/cm2
     
    
    Band function
    Time interval is from    0.000 sec. to   64.000 sec.
     
    Spectral model in the Band function:
    ------------------------------------------------------------
    Parameters  : value       lower 90%   higher 90%
    alpha       : -6.53481   ( 6.53481   6.53481 )
    beta        : -4.47304    ( -0.985017   0.818585 )
    Epeak [keV] : 12.2738      ( -12.2738 -12.2738 )
    Norm@50keV   : 4.49113E-02    ( -0.0284918   0.0497203 )
    ------------------------------------------------------------
    #Fit statistic : Chi-Squared =          80.31 using 59 PHA bins.
    # Reduced chi-squared =          1.460 for     55 degrees of freedom 
    # Null hypothesis probability =   1.461483e-02
     
    Photon flux (15-150 keV)    in 64 sec: 0.176920 (    ) ph/cm2/s
    Energy fluence (15-150 keV)             : 0 ( 0  0 ) ergs/cm2
     
    
    Single BB
     
    Spectral model blackbody:
    ------------------------------------------------------------
    Parameters  : value    Lower 90%  Upper 90%
    kT [keV]    : 2.70772  (-0.452343  0.610869)
    R^2/D10^2   : 81.8591  (-81.8592   222.962)
    (R is the radius in km and D10 is the distance to the source in units of 10 kpc)
    ------------------------------------------------------------
    #Fit statistic : Chi-Squared =          86.35 using 59 PHA bins.
    # Reduced chi-squared =          1.515 for     57 degrees of freedom 
    # Null hypothesis probability =   7.298855e-03
     
    Energy  Fluence     90% Error
    [keV]   [erg/cm2]   [erg/cm2]
    15- 25  5.034e-07   2.785e-07
    25- 50  5.055e-08   3.029e-08
    50-150  3.385e-11   3.773e-11
    15-150  5.540e-07   3.015e-07
    
    Thermal bremsstrahlung (OTTB)
     
     
    Spectral model: thermal bremsstrahlung
    ------------------------------------------------------------
    Parameters  : value         Lower 90%    Upper 90%
    kT [keV]    : 5.93120       (-1.71457      3.46838)
    Norm        : 38.6006       (-27.1504     89.2443)
    ------------------------------------------------------------
    #Fit statistic : Chi-Squared =          84.63 using 59 PHA bins.
    # Reduced chi-squared =          1.485 for     57 degrees of freedom 
    # Null hypothesis probability =   1.020714e-02
     
    Energy  Fluence     90% Error
    [keV]   [erg/cm2]   [erg/cm2]
    15- 25  4.953e-07   1.988e-07
    25- 50  9.004e-08   5.207e-08
    50-150  1.033e-09   1.067e-09
    15-150  5.864e-07   2.679e-07
    
    Double BB
     
     
    Spectral model: bbodyrad<1> + bbodyrad<2>
    ------------------------------------------------------------
    Parameters  : value         Lower 90%    Upper 90%
    kT1 [keV]   : 2.19760        (-0.488515      0.555373)
    R1^2/D10^2  : 303.838        (-240.808      1889.63)
    kT2 [keV]   : 9.93483        (-3.58089      7.9542)
    R2^2/D10^2  : 5.68633E-02    (-0.0523514   0.181087)
    ------------------------------------------------------------
    #Fit statistic : Chi-Squared =          74.92 using 59 PHA bins.
    # Reduced chi-squared =          1.362 for     55 degrees of freedom 
    # Null hypothesis probability =   3.829371e-02
     
    Energy  Fluence     90% Error
    [keV]   [erg/cm2]   [erg/cm2]
    15- 25  4.692e-07   2.516e-07
    25- 50  1.966e-07   1.233e-07
    50-150  9.208e-08   7.014e-08
    15-150  7.578e-07   4.038e-07
    

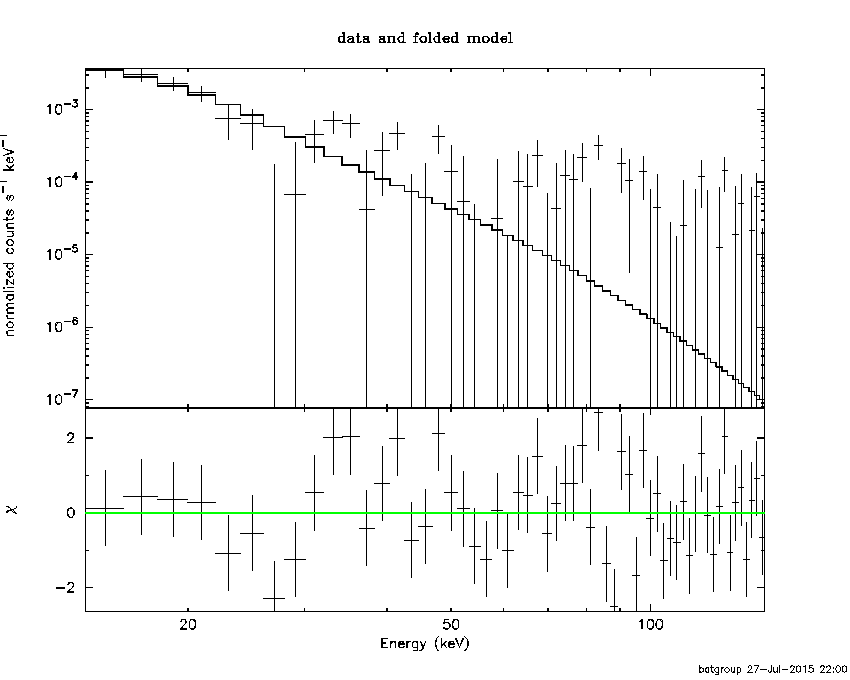
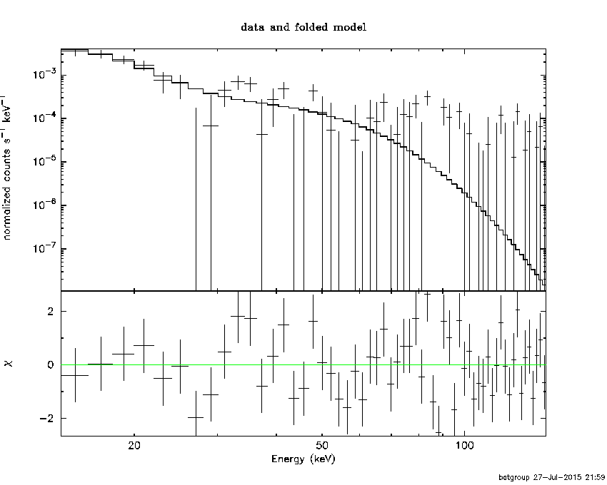
    Pre-slew spectrum (Pre-slew PHA with pre-slew DRM)

    Power-law model
     
    Spectral model in power-law:
    ------------------------------------------------------------
    Parameters  : value       lower 90%   higher 90%
    Photon index: 4.47239     ( -0.818128   0.984438 )
    Norm@50keV  : 3.30643E-04    ( -0.000209814   0.000365674 )
    ------------------------------------------------------------
    #Fit statistic : Chi-Squared =          80.31 using 59 PHA bins.
    # Reduced chi-squared =          1.409 for     57 degrees of freedom 
    # Null hypothesis probability =   2.265005e-02
     
    Photon flux (15-150 keV)    in 64 sec: 0.311309 ( -0.0514846  0.0515026 ) ph/cm2/s
    Energy fluence (15-150 keV)             : 6.70374e-07 ( -1.33058e-07  1.46586e-07 ) ergs/cm2
     
    
    Cutoff power-law model
    Spectral model in the cutoff power-law:
    ------------------------------------------------------------
    Parameters  : value       lower 90%   higher 90%
    Photon index: 1.83025     (     )
    Epeak [keV] : 1.21077      (   )
    Norm@50keV  : 6.34753E-02    (     )
    ------------------------------------------------------------
    #Fit statistic : Chi-Squared =          84.23 using 59 PHA bins.
    # Reduced chi-squared =          1.504 for     56 degrees of freedom 
    # Null hypothesis probability =   8.705066e-03
     
    Photon flux (15-150 keV)    in 64 sec: 0.310905 ( -0.051315  0.051619 ) ph/cm2/s
    Energy fluence (15-150 keV)             : 6.54835e-07 ( 0  0 ) ergs/cm2
     
    
    Band function
     
    Spectral model in the Band function:
    ------------------------------------------------------------
    Parameters  : value       lower 90%   higher 90%
    alpha       : -6.53481   ( 6.53481   6.53481 )
    beta        : -4.47304    ( -0.985017   0.818585 )
    Epeak [keV] : 12.2738      ( -12.2738 -12.2738 )
    Norm@50keV   : 4.49113E-02    ( -0.0284918   0.0497203 )
    ------------------------------------------------------------
    #Fit statistic : Chi-Squared =          80.31 using 59 PHA bins.
    # Reduced chi-squared =          1.460 for     55 degrees of freedom 
    # Null hypothesis probability =   1.461483e-02
     
    Photon flux (15-150 keV)    in 64 sec: 0.176920 (    ) ph/cm2/s
    Energy fluence (15-150 keV)             : 0 ( 0  0 ) ergs/cm2
     
    

    S(25-50 keV) vs. S(50-100 keV) plot

    S(25-50 keV)  = 1.56e-07
    S(50-100 keV) = 2.81e-08
    

    T90 vs. Hardness ratio plot

    T90                                   = 64 sec.
    Hardness ratio (energy fluence ratio) = 0.180128
    

    Color vs. Color plot

    Count Ratio  (25-50 keV) / (15-25 keV) = 0.319103
    Count Ratio (50-100 keV) / (15-25 keV) = 0.0599676
    

    Mask shadow pattern

    IMX = -4.285954717880360E-01, IMY = 7.576954428551287E-01
    

    TIME vs. PHA plot around the trigger time

    Blue+Cyan dotted lines: Time interval of the scaled map
    From 0.000000 to 64.000000
    

    TIME vs. DetID plot around the trigger time

    Blue+Cyan dotted lines: Time interval of the scaled map
    From 0.000000 to 64.000000
    

    100 us light curve (15-350 keV)

    Blue+Cyan dotted lines: Time interval of the scaled map
    From 0.000000 to 64.000000
    

    Spacecraft aspect plot

    Bright source in the pre-burst/pre-slew/post-slew images

    Pre-burst image of 15-350 keV band

    Time interval of the image:
     
    

    Pre-slew background subtracted image of 15-350 keV band

    Time interval of the image:
    0.000000 64.000000
     
    # RAcent  DECcent POSerr Theta    Phi  PeakCts   SNR AngSep     Name
    #  [deg]    [deg]    ['] [deg]  [deg]                   [']
    326.0850  38.2249    7.2  46.7  149.6   0.4302   1.6    7.1	Cyg X-2                       
     53.0046 -17.8506    3.1  53.0  -15.3   0.8342   3.7 ------	UNKNOWN                       
    349.1283  74.2806    2.3  53.8 -161.6   1.1647   4.9 ------	UNKNOWN                       
     54.3788  53.1972    1.3  41.0 -119.5   1.8903   8.7 ------	UNKNOWN                       
    

    Post-slew image of 15-350 keV band

    Time interval of the image:
    130.700680 363.100000
     
    # RAcent  DECcent POSerr Theta    Phi  PeakCts   SNR AngSep     Name
    #  [deg]    [deg]    ['] [deg]  [deg]                   [']
     83.8496  22.1000    0.0  38.4  -49.6   0.9475   2.6   13.1	Crab                          
     54.4233  53.2418    0.3   0.1 -127.4   7.9833  39.7 ------	UNKNOWN                       
    208.6184  75.1673    2.1  50.5 -174.0   2.5078   5.4 ------	UNKNOWN                       
     84.0521  21.9334    0.5  38.6  -49.8   9.5100  26.2 ------	UNKNOWN                       
    
    Plot creation:
    Mon Jul 27 22:00:19 EDT 2015