batgrbproduct Analysis for Trigger=682339

Analysis Summary

Notes:

======================================================================
                  BAT GRB EVENT DATA PROCESSING REPORT
    Process Script Ver: batgrbproduct v2.46
    Process Start Time (local time): Wed Jun  1 15:59:24 EDT 2016
             Host Name: bat1
   Current Working Dir: /local/data/bat1/alien/Swift_3rdBATcatalog/event/batevent_reproc/trigger682339
======================================================================

  Trigger: 00682339      Segment: 000

  BAT Trigger Time: 482030948.032   [s; MET]
      Trigger Stop: 482030948.544   [s; MET]
               UTC: 2016-04-11T01:28:51.924060    [includes UTCF correction] 
       Where From?: TDRSS position message

  BAT 
    RA: 349.361911484438   Dec: -40.2708134633611  [deg; J2000]

     Catalogged Source?: NO
     Point Source?:      YES
     GRB Indicated?:     YES    [ by BAT flight software ]
     Image S/N Ratio:    7.44
     Image Trigger?:     NO
     Rate S/N Ratio:     15.9059737205869  [ if not an image trigger ]
     Image S/N Ratio:    7.44

  Flight Position:   [ source = BAT ]
    RA: 349.361911484438   Dec: -40.2708134633611  [deg; J2000]

  Ground Position:   [ source = BAT pre-slew burst ]
    RA: 349.373060255973   Dec: -40.258861585134  [deg; J2000]  
        { 23h 17m 29.5s , -40d 15' 31.9" }
         +/- 2.39899764309769 [arcmin] (estimated 90% radius based on SNR)
         +/- 0.986504018371565 [arcmin] (formal 1-sigma fit error)
    SNR: 8.71402166353091
 
  Angular difference between Flight and Ground position is 0.880224 arcmin
 
  Partial Coding Fraction: 0.2734375    [ including projection effects ]

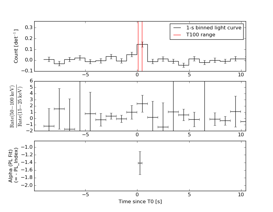
  Duration
     T90: 0.355999946594238 +/- 0.0756042006334982
        Measured from: 0.0879999995231628
                   to: 0.443999946117401     [s; relative to TRIGTIME]
     T50: 0.195999979972839 +/- 0.0651152459160164
        Measured from: 0.159999966621399
                   to: 0.355999946594238     [s; relative to TRIGTIME]



  Fluence
     Peak Flux  (peak 1 second)
        Measured from: -0.241999983787537     
                   to: 0.758000016212463     [s; relative to TRIGTIME]
     Total Fluence        
        Measured from: 0.0600000023841858     
                   to: 0.452000021934509     [s; relative to TRIGTIME]
     
             Band 1     Band 2     Band 3     Band 4
              15-25      25-50     50-100    100-350     keV
 Total     0.016191   0.049774   0.050797   0.013886
           0.008515   0.008968   0.009117   0.006765 [error]
 Peak      0.031910   0.073084   0.051593   0.016754
           0.012152   0.012939   0.012400   0.009344 [error]

     [ fluence units of on-axis counts / fully illuminated detector ] 

======================================================================
 
=== Fluence/Peak Flux Summary ===
 
              Model    Band1    Band2    Band3    Band4    Band5    Total      
                       15-25    25-50   50-100  100-350   15-150   15-350   keV
Fluence   Power-law 9.53e-09 1.85e-08 2.78e-08 9.06e-08 7.84e-08 1.47e-07   erg/cm2
              Error 3.27e-09 4.36e-09 6.98e-09 4.35e-08 1.81e-08 4.97e-08   erg/cm2
Peak flux Power-law 5.35e-01 4.98e-01 3.22e-01 3.20e-01 1.49e+00 1.68e+00   ph/cm2/s
              Error 1.77e-01 1.14e-01 9.28e-02 1.74e-01 3.34e-01 3.78e-01   ph/cm2/s
 
Fluence   Cutoff-PL 5.14e-09 2.29e-08 3.67e-08 1.30e-08 7.57e-08 7.76e-08   erg/cm2
              Error 3.80e-09 5.94e-09 1.06e-08 -------- 1.94e-08 2.49e-08   erg/cm2
Peak flux Cutoff-PL 3.45e-01 6.45e-01 3.51e-01 3.30e-02 1.37e+00 1.37e+00   ph/cm2/s
              Error 2.21e-01 1.65e-01 1.34e-01 8.54e-02 3.51e-01 3.57e-01   ph/cm2/s
 
Fluence        Band -------- -------- -------- -------- -------- --------   erg/cm2
              Error -------- -------- -------- -------- -------- --------   erg/cm2
Peak flux      Band -------- -------- -------- -------- -------- --------   ph/cm2/s
              Error -------- -------- -------- -------- -------- --------   ph/cm2/s
 
=== Time-averaged spectral analysis ===
 
Model Ph_index Ph_90err Epeak  Epeak_90err Norm     Nomr_90err chi2   dof
PL    1.409    0.301    -      -           2.07e-02 4.56e-03   65.940 57
CPL  -1.402    2.541      66.6   19.4      4.12e-01 5.54e+00   56.770 56
 
 
=== 1-s peak spectral analysis ===
 
Model Ph_index Ph_90err Epeak  Epeak_90err Norm     Nomr_90err chi2   dof
PL    1.632    0.344    -      -           1.15e-02 2.70e-03   64.990 57
CPL  -1.240    3.093      51.9   18.2      3.81e-01 2.29e+01   59.070 56
 
Model      : spectral model: simple power-law (PL) and cutoff power-law (CPL)
Ph_index   : photon index: E^-{Ph_index} (minus sign is not included in the index)
Ph_90err   : 90% error of the photon index
Epeak      : Epeak in keV
Epeak_90err: 90% error of Epeak
Norm       : normalization at 50 keV in PL model and at 1 keV in CPL model
Nomr_90err : 90% error of the normalization
chi2       : Chi-Squared
dof        : degree of freedom
 
=== T90/T50 calculation in the 50-300 keV band (BATSE band) using 64 ms lc ===
 
T90 in the 50-300 keV band: 0.000000 sec.
T50 in the 50-300 keV band: 0.000000 sec.
 
=== Table of the duration information ==
 
        Value   tstart    tstop
T100    0.392    0.060    0.452
T90     0.356    0.088    0.444
T50     0.196    0.160    0.356
Peak    1.000   -0.242    0.758
  • Click here for the BAT GCN circular template
  • Estimated redshift from machine learning (Ukwatta et al. 2016) - may take a few minute to calcaulte

    Image

    Pre-slew 15.0-350.0 keV image (Event data)

    #   RAcent    DECcent   POSerr    Theta     Phi              Peak Cts       SNR   Name
      349.3731   -40.2589   0.0221    41.9472  -133.4827         0.1438468      8.714 TRIG_00682339                 
     
    Foreground time interval of the image:
      0.060   0.452 (delta_t =   0.392 [sec])
    Background time interval of the image:
    -81.731   0.060 (delta_t =  81.791 [sec])
    

    Lightcurves

    Notes:

    1 s binning

    From T0-310 s to T0+310 s
    From T100_start - 20 s to T100_end + 30 s
    Full time interval

    64 ms binning

    Full time interval
    From T100_start to T100_end
    From T0-5 sec to T0+5 sec

    16 ms binning

    From T100_start-5 s to T100_start+5 s

    8 ms binning

    From T100_start-3 s to T100_start+3 s

    2 ms binning

    From T100_start-1 s to T100_start+1 s

    SN=5 or 10 sec. binning (whichever binning is satisfied first)

    SN=5 or 10 sec. binning (T < 200 sec)

    Quad-rate summed light curves (from T0-300s to T0+1000s)

    Spectral Evolution

    Spectra

    Notes:

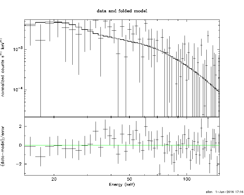
    Time averaged spectrum fit using the average DRM

    Power-law model
    Time interval is from    0.060 sec. to    0.452 sec.
     
    Spectral model in power-law:
    ------------------------------------------------------------
    Parameters  : value       lower 90%   higher 90%
    Photon index: 1.40944     ( -0.299254   0.303467 )
    Norm@50keV  : 2.06955E-02    ( -0.00456469   0.00456188 )
    ------------------------------------------------------------
    #Fit statistic : Chi-Squared =          65.94 using 59 PHA bins.
    # Reduced chi-squared =          1.157 for     57 degrees of freedom 
    # Null hypothesis probability =   1.952526e-01
     
    Photon flux (15-150 keV)    in 0.392 sec: 2.52626 ( -0.57323  0.5762 ) ph/cm2/s
    Energy fluence (15-150 keV)             : 7.82322e-08 ( -1.80115e-08  1.80943e-08 ) ergs/cm2
     
    
    Cutoff power-law model
    Time interval is from    0.060 sec. to    0.452 sec.
    Spectral model in the cutoff power-law:
    ------------------------------------------------------------
    Parameters  : value       lower 90%   higher 90%
    Photon index: -1.40225     ( -3.30513   1.77778 )
    Epeak [keV] : 66.5851      ( -13.1238 25.7583 )
    Norm@50keV  : 0.412443    ( -0.412444   10.6718 )
    ------------------------------------------------------------
    #Fit statistic : Chi-Squared =          56.77 using 59 PHA bins.
    # Reduced chi-squared =          1.014 for     56 degrees of freedom 
    # Null hypothesis probability =   4.461073e-01
     
    Photon flux (15-150 keV)    in 0.392 sec: 2.39281 ( -0.58849  0.59049 ) ph/cm2/s
    Energy fluence (15-150 keV)             : 7.55188e-08 ( -1.93395e-08  1.95386e-08 ) ergs/cm2
     
    
    Band function
    Time interval is from    0.060 sec. to    0.452 sec.
     
    Spectral model in the Band function:
    ------------------------------------------------------------
    Parameters  : value       lower 90%   higher 90%
    alpha       : 1.25285   ( -1.62427   2.57043 )
    beta        : -9.37167    ( 9.37167   19.3715 )
    Epeak [keV] : 67.3879      ( -13.7413 24.3192 )
    Norm@50keV   : 0.353499    ( -0.357553   36.1218 )
    ------------------------------------------------------------
    #Fit statistic : Chi-Squared =          56.78 using 59 PHA bins.
    # Reduced chi-squared =          1.032 for     55 degrees of freedom 
    # Null hypothesis probability =   4.083588e-01
     
    Photon flux (15-150 keV)    in 0.392 sec:  (    ) ph/cm2/s
    Energy fluence (15-150 keV)             : 0 ( 0  0 ) ergs/cm2
     
    
    Single BB
     
    Spectral model blackbody:
    ------------------------------------------------------------
    Parameters  : value    Lower 90%  Upper 90%
    kT [keV]    : 17.0305  (-3.15055  3.79492)
    R^2/D10^2   : 0.222174  (-0.113154   0.223849)
    (R is the radius in km and D10 is the distance to the source in units of 10 kpc)
    ------------------------------------------------------------
    #Fit statistic : Chi-Squared =          56.76 using 59 PHA bins.
    # Reduced chi-squared =         0.9958 for     57 degrees of freedom 
    # Null hypothesis probability =   4.839677e-01
     
    Energy  Fluence     90% Error
    [keV]   [erg/cm2]   [erg/cm2]
    15- 25  5.142e-09   2.194e-09
    25- 50  2.278e-08   7.560e-09
    50-150  4.721e-08   1.754e-08
    15-150  7.513e-08   2.187e-08
    
    Thermal bremsstrahlung (OTTB)
     
     
    Spectral model: thermal bremsstrahlung
    ------------------------------------------------------------
    Parameters  : value         Lower 90%    Upper 90%
    kT [keV]    : 199.358       (-93.1222      -199.362)
    Norm        : 10.7943       (-2.34352     2.3472)
    ------------------------------------------------------------
    #Fit statistic : Chi-Squared =          64.37 using 59 PHA bins.
    # Reduced chi-squared =          1.129 for     57 degrees of freedom 
    # Null hypothesis probability =   2.343461e-01
     
    Energy  Fluence     90% Error
    [keV]   [erg/cm2]   [erg/cm2]
    15- 25  1.054e-08   6.227e-09
    25- 50  2.027e-08   1.162e-08
    50-150  4.445e-08   2.644e-08
    15-150  7.526e-08   4.457e-08
    
    Double BB
     
     
    Spectral model: bbodyrad<1> + bbodyrad<2>
    ------------------------------------------------------------
    Parameters  : value         Lower 90%    Upper 90%
    kT1 [keV]   : 0.146610        (-0.14661      -0.14661)
    R1^2/D10^2  : 6.69056E-02        (-0.0669056      -0.0669056)
    kT2 [keV]   : 17.0304        (-3.15047      3.795)
    R2^2/D10^2  : 0.222177    (-0.113157   0.223846)
    ------------------------------------------------------------
    #Fit statistic : Chi-Squared =          56.76 using 59 PHA bins.
    # Reduced chi-squared =          1.032 for     55 degrees of freedom 
    # Null hypothesis probability =   4.091635e-01
     
    Energy  Fluence     90% Error
    [keV]   [erg/cm2]   [erg/cm2]
    15- 25  0.000e+00   0.000e+00
    25- 50  0.000e+00   0.000e+00
    50-150  0.000e+00   0.000e+00
    15-150  0.000e+00   0.000e+00
    

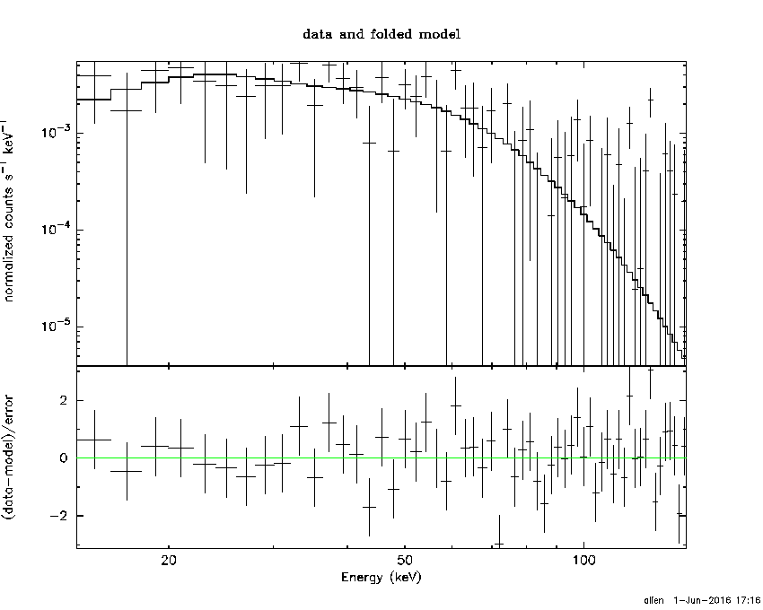
    Peak spectrum fit

    Power-law model
    Time interval is from   -0.242 sec. to    0.758 sec.
     
    Spectral model in power-law:
    ------------------------------------------------------------
    Parameters  : value       lower 90%   higher 90%
    Photon index: 1.63178     ( -0.333691   0.353393 )
    Norm@50keV  : 1.14598E-02    ( -0.00272308   0.00268404 )
    ------------------------------------------------------------
    #Fit statistic : Chi-Squared =          64.99 using 59 PHA bins.
    # Reduced chi-squared =          1.140 for     57 degrees of freedom 
    # Null hypothesis probability =   2.183141e-01
     
    Photon flux (15-150 keV)    in 1 sec: 1.48751 ( -0.33405  0.33466 ) ph/cm2/s
    Energy fluence (15-150 keV)             : 1.0681e-07 ( -2.63556e-08  2.68896e-08 ) ergs/cm2
     
    
    Cutoff power-law model
    Time interval is from   -0.242 sec. to    0.758 sec.
    Spectral model in the cutoff power-law:
    ------------------------------------------------------------
    Parameters  : value       lower 90%   higher 90%
    Photon index: -1.24041     ( -3.99891   2.1879 )
    Epeak [keV] : 51.9308      ( -10.1401 26.3567 )
    Norm@50keV  : 0.381442    ( -0.405766   45.3047 )
    ------------------------------------------------------------
    #Fit statistic : Chi-Squared =          59.07 using 59 PHA bins.
    # Reduced chi-squared =          1.055 for     56 degrees of freedom 
    # Null hypothesis probability =   3.639494e-01
     
    Photon flux (15-150 keV)    in 1 sec: 1.37142 ( -0.35057  0.35144 ) ph/cm2/s
    Energy fluence (15-150 keV)             : 9.12914e-08 ( -2.48146e-08  2.88133e-08 ) ergs/cm2
     
    
    Band function
    Time interval is from   -0.242 sec. to    0.758 sec.
     
    Spectral model in the Band function:
    ------------------------------------------------------------
    Parameters  : value       lower 90%   higher 90%
    alpha       : 0.448968   ( -2.35546   -1.33594 )
    beta        : -4.97101    ( 3.48346   13.4834 )
    Epeak [keV] : 54.8459      ( -14.2402 25.3998 )
    Norm@50keV   : 0.141879    ( -0.603387   41.9965 )
    ------------------------------------------------------------
    #Fit statistic : Chi-Squared =          59.45 using 59 PHA bins.
    # Reduced chi-squared =          1.081 for     55 degrees of freedom 
    # Null hypothesis probability =   3.167165e-01
     
    Photon flux (15-150 keV)    in 1 sec:  (    ) ph/cm2/s
    Energy fluence (15-150 keV)             : 0 ( 0  0 ) ergs/cm2
     
    
    Single BB
     
    Spectral model blackbody:
    ------------------------------------------------------------
    Parameters  : value    Lower 90%  Upper 90%
    kT [keV]    : 13.1679  (-2.45842  3.0797)
    R^2/D10^2   : 0.292118  (-0.157537   0.321018)
    (R is the radius in km and D10 is the distance to the source in units of 10 kpc)
    ------------------------------------------------------------
    #Fit statistic : Chi-Squared =          59.06 using 59 PHA bins.
    # Reduced chi-squared =          1.036 for     57 degrees of freedom 
    # Null hypothesis probability =   4.000684e-01
     
    Energy  Fluence     90% Error
    [keV]   [erg/cm2]   [erg/cm2]
    15- 25  1.074e-08   4.062e-09
    25- 50  3.750e-08   1.447e-08
    50-150  4.142e-08   2.113e-08
    15-150  8.966e-08   3.416e-08
    
    Thermal bremsstrahlung (OTTB)
     
     
    Spectral model: thermal bremsstrahlung
    ------------------------------------------------------------
    Parameters  : value         Lower 90%    Upper 90%
    kT [keV]    : 144.367       (-73.5806      -136.527)
    Norm        : 6.14243       (-1.50002     2.03269)
    ------------------------------------------------------------
    #Fit statistic : Chi-Squared =          63.15 using 59 PHA bins.
    # Reduced chi-squared =          1.108 for     57 degrees of freedom 
    # Null hypothesis probability =   2.680148e-01
     
    Energy  Fluence     90% Error
    [keV]   [erg/cm2]   [erg/cm2]
    15- 25  1.583e-08   9.210e-09
    25- 50  2.917e-08   1.616e-08
    50-150  5.666e-08   3.626e-08
    15-150  1.017e-07   6.075e-08
    
    Double BB
    #Fit statistic : Chi-Squared =          58.62 using 59 PHA bins.
    # Reduced chi-squared =          1.068 for     55 degrees of freedom 
    # Reduced chi-squared =          1.067 for     55 degrees of freedom 
    # Reduced chi-squared =          1.067 for     55 degrees of freedom 
    # Reduced chi-squared =          1.066 for     55 degrees of freedom 
    # Reduced chi-squared =          1.066 for     55 degrees of freedom 
    # Reduced chi-squared =          1.066 for     55 degrees of freedom 
    # Null hypothesis probability =   3.393620e-01
    # Null hypothesis probability =   3.411352e-01
    # Null hypothesis probability =   3.424584e-01
    # Null hypothesis probability =   3.433058e-01
    # Null hypothesis probability =   3.437612e-01
    # Null hypothesis probability =   3.441011e-01
     
    Energy  Fluence     90% Error
    [keV]   [erg/cm2]   [erg/cm2]
    15- 25  1.105e-08   4.894e-09
    25- 50  3.689e-08   1.765e-08
    50-150  4.205e-08   2.282e-08
    15-150  8.999e-08   3.806e-08
    

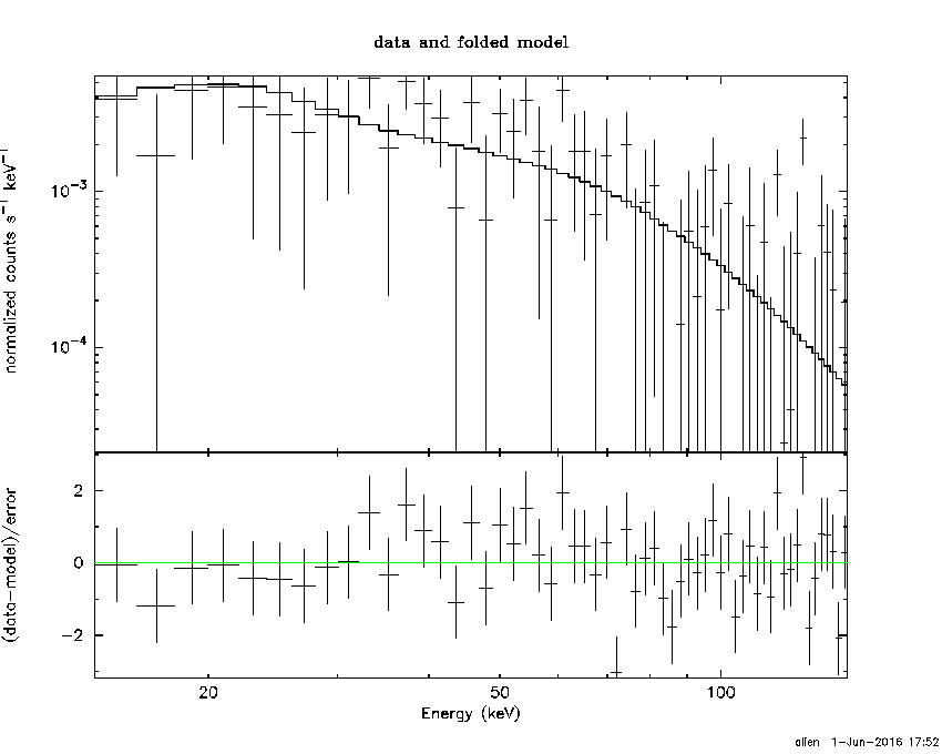
    Pre-slew spectrum (Pre-slew PHA with pre-slew DRM)

    Power-law model
     
    Spectral model in power-law:
    ------------------------------------------------------------
    Parameters  : value       lower 90%   higher 90%
    Photon index: 1.40944     ( -0.299254   0.303467 )
    Norm@50keV  : 2.06955E-02    ( -0.00456469   0.00456188 )
    ------------------------------------------------------------
    #Fit statistic : Chi-Squared =          65.94 using 59 PHA bins.
    # Reduced chi-squared =          1.157 for     57 degrees of freedom 
    # Null hypothesis probability =   1.952526e-01
     
    Photon flux (15-150 keV)    in 0.392 sec: 2.52625 ( -0.573196  0.576186 ) ph/cm2/s
    Energy fluence (15-150 keV)             : 7.82263e-08 ( -1.80088e-08  1.81196e-08 ) ergs/cm2
     
    
    Cutoff power-law model
    Spectral model in the cutoff power-law:
    ------------------------------------------------------------
    Parameters  : value       lower 90%   higher 90%
    Photon index: -1.40053     ( -3.30545   1.77748 )
    Epeak [keV] : 66.5927      ( -13.1238 25.758 )
    Norm@50keV  : 0.411718    ( -0.41244   10.6736 )
    ------------------------------------------------------------
    #Fit statistic : Chi-Squared =          56.77 using 59 PHA bins.
    # Reduced chi-squared =          1.014 for     56 degrees of freedom 
    # Null hypothesis probability =   4.461072e-01
     
    Photon flux (15-150 keV)    in 0.392 sec: 2.39272 ( -0.58829  0.59071 ) ph/cm2/s
    Energy fluence (15-150 keV)             : 7.55458e-08 ( -1.93389e-08  1.95483e-08 ) ergs/cm2
     
    
    Band function
     
    Spectral model in the Band function:
    ------------------------------------------------------------
    Parameters  : value       lower 90%   higher 90%
    alpha       : 1.25285   ( -1.62427   2.57043 )
    beta        : -9.37167    ( 9.37167   19.3715 )
    Epeak [keV] : 67.3879      ( -13.7414 24.3192 )
    Norm@50keV   : 0.353499    ( -0.357553   34.0065 )
    ------------------------------------------------------------
    #Fit statistic : Chi-Squared =          56.78 using 59 PHA bins.
    # Reduced chi-squared =          1.032 for     55 degrees of freedom 
    # Null hypothesis probability =   4.083588e-01
     
    Photon flux (15-150 keV)    in 0.392 sec:  (    ) ph/cm2/s
    Energy fluence (15-150 keV)             : 0 ( 0  0 ) ergs/cm2
     
    

    S(25-50 keV) vs. S(50-100 keV) plot

    S(25-50 keV)  = 1.85e-08
    S(50-100 keV) = 2.78e-08
    

    T90 vs. Hardness ratio plot

    T90                                   = 0.355999946594238 sec.
    Hardness ratio (energy fluence ratio) = 1.5027
    

    Color vs. Color plot

    Count Ratio  (25-50 keV) / (15-25 keV) = 3.07418
    Count Ratio (50-100 keV) / (15-25 keV) = 3.13736
    

    Mask shadow pattern

    IMX = -6.184523809566941E-01, IMY = 6.521067639165855E-01
    

    TIME vs. PHA plot around the trigger time

    TIME vs. DetID plot around the trigger time

    100 us light curve (15-350 keV)

    Spacecraft aspect plot

    Bright source in the pre-burst/pre-slew/post-slew images

    Pre-burst image of 15-350 keV band

    Time interval of the image:
    -81.731420 0.060000
     
    # RAcent  DECcent POSerr Theta    Phi  PeakCts   SNR AngSep     Name
    #  [deg]    [deg]    ['] [deg]  [deg]                   [']
    297.7962 -63.1040    3.6  41.2  168.2   0.5380   3.2 ------	UNKNOWN                       
    301.0864 -54.8947    2.8  47.3  176.6   0.9221   4.2 ------	UNKNOWN                       
    

    Pre-slew background subtracted image of 15-350 keV band

    Time interval of the image:
    0.060000 0.452000
     
    # RAcent  DECcent POSerr Theta    Phi  PeakCts   SNR AngSep     Name
    #  [deg]    [deg]    ['] [deg]  [deg]                   [']
    349.3730 -40.2589    1.3  41.9 -133.5   0.1439   8.7 ------	UNKNOWN                       
    

    Post-slew image of 15-350 keV band

    Time interval of the image:
     
    
    Plot creation:
    Wed Jun  1 17:53:25 EDT 2016