batgrbproduct analysis for trigger=704310

batgrbproduct Analysis for Trigger=704310

Analysis Summary

Notes:

======================================================================
                  BAT GRB EVENT DATA PROCESSING REPORT
    Process Script Ver: batgrbproduct v2.46
    Process Start Time (local time): Thu Jul 14 21:07:35 EDT 2016
             Host Name: bat1
   Current Working Dir: /local/data/bat1/prebascript/trigger704310/GCN5_download_cron
======================================================================

  Trigger: 00704310      Segment: 000

  BAT Trigger Time: 490155572.096   [s; MET]
      Trigger Stop: 490155572.352   [s; MET]
               UTC: 2016-07-14T02:19:15.539440    [includes UTCF correction] 
       Where From?: TDRSS position message

  BAT 
    RA: 234.461473411661   Dec: 63.8313767687476  [deg; J2000]

     Catalogged Source?: NO
     Point Source?:      YES
     GRB Indicated?:     YES    [ by BAT flight software ]
     Image S/N Ratio:    7.24
     Image Trigger?:     NO
     Rate S/N Ratio:     9.38083151964686  [ if not an image trigger ]
     Image S/N Ratio:    7.24

  Flight Position:   [ source = BAT ]
    RA: 234.461473411661   Dec: 63.8313767687476  [deg; J2000]

  Ground Position:   [ source = BAT pre-slew burst ]
    RA: 234.489034072367   Dec: 63.8090344619505  [deg; J2000]  
        { 15h 37m 57.4s , +63d 48' 32.5" }
         +/- 2.73490233085655 [arcmin] (estimated 90% radius based on SNR)
         +/- 1.45895265746763 [arcmin] (formal 1-sigma fit error)
    SNR: 7.22629651700755
 
  Angular difference between Flight and Ground position is 1.526209 arcmin
 
  Partial Coding Fraction: 0.3554688    [ including projection effects ]

  Duration
     T90: 0.347999930381775 +/- 0.113137078246357
        Measured from: 0.03600013256073
                   to: 0.384000062942505     [s; relative to TRIGTIME]
     T50: 0.191999912261963 +/- 0.105603032047646
        Measured from: 0.0600001215934753
                   to: 0.252000033855438     [s; relative to TRIGTIME]



  Fluence
     Peak Flux  (peak 1 second)
        Measured from: -0.28600001335144     
                   to: 0.71399998664856     [s; relative to TRIGTIME]
     Total Fluence        
        Measured from: 0.0239999890327454     
                   to: 0.399999976158142     [s; relative to TRIGTIME]
     
             Band 1     Band 2     Band 3     Band 4
              15-25      25-50     50-100    100-350     keV
 Total     0.021377   0.038378   0.038163   0.014420
           0.007045   0.007849   0.007110   0.006102 [error]
 Peak      0.024978   0.047116   0.043948   0.014294
           0.010842   0.011635   0.010699   0.009726 [error]

     [ fluence units of on-axis counts / fully illuminated detector ] 

======================================================================
 
=== Fluence/Peak Flux Summary ===
 
              Model    Band1    Band2    Band3    Band4    Band5    Total      
                       15-25    25-50   50-100  100-350   15-150   15-350   keV
Fluence   Power-law 8.08e-09 1.61e-08 2.48e-08 8.41e-08 6.94e-08 1.33e-07   erg/cm2
              Error 3.21e-09 3.94e-09 6.32e-09 4.72e-08 1.59e-08 5.11e-08   erg/cm2
Peak flux Power-law 2.97e-01 3.44e-01 2.87e-01 4.05e-01 1.07e+00 1.33e+00   ph/cm2/s
              Error 1.55e-01 1.11e-01 8.34e-02 2.53e-01 3.01e-01 3.53e-01   ph/cm2/s
 
Fluence   Cutoff-PL 7.50e-09 1.66e-08 2.59e-08 5.41e-08 6.86e-08 1.04e-07   erg/cm2
              Error 3.80e-09 4.50e-09 7.48e-09 -------- 1.65e-08 6.45e-08   erg/cm2
Peak flux Cutoff-PL 2.80e-01 3.49e-01 2.96e-01 3.26e-01 1.06e+00 1.25e+00   ph/cm2/s
              Error 1.79e-01 1.19e-01 9.96e-02 3.49e-01 2.32e-01 4.27e-01   ph/cm2/s
 
Fluence        Band -------- -------- -------- -------- -------- --------   erg/cm2
              Error -------- -------- -------- -------- -------- --------   erg/cm2
Peak flux      Band -------- -------- -------- -------- -------- --------   ph/cm2/s
              Error -------- -------- -------- -------- -------- --------   ph/cm2/s
 
=== Time-averaged spectral analysis ===
 
Model Ph_index Ph_90err Epeak  Epeak_90err Norm     Nomr_90err chi2   dof
PL    1.372    0.370    -      -           1.90e-02 4.09e-03   61.710 57
CPL   1.022    1.672     154.8    0.0      2.77e-02 8.07e-02   61.520 56
 
 
=== 1-s peak spectral analysis ===
 
Model Ph_index Ph_90err Epeak  Epeak_90err Norm     Nomr_90err chi2   dof
PL    1.260    0.468    -      -           9.07e-03 2.38e-03   66.380 57
CPL   0.999    0.578     215.1    0.0      1.19e-02 4.20e-02   66.330 56
 
Model      : spectral model: simple power-law (PL) and cutoff power-law (CPL)
Ph_index   : photon index: E^-{Ph_index} (minus sign is not included in the index)
Ph_90err   : 90% error of the photon index
Epeak      : Epeak in keV
Epeak_90err: 90% error of Epeak
Norm       : normalization at 50 keV in PL model and at 1 keV in CPL model
Nomr_90err : 90% error of the normalization
chi2       : Chi-Squared
dof        : degree of freedom
 
=== T90/T50 calculation in the 50-300 keV band (BATSE band) using 64 ms lc ===
 
T90 in the 50-300 keV band: 0.000000 sec.
T50 in the 50-300 keV band: 0.000000 sec.
 
=== Table of the duration information ==
 
        Value   tstart    tstop
T100    0.376    0.024    0.400
T90     0.348    0.036    0.384
T50     0.192    0.060    0.252
Peak    1.000   -0.286    0.714
  • Click here for the BAT GCN circular template
  • Estimated redshift from machine learning (Ukwatta et al. 2016) - may take a few minutes to calcaulte

    Image

    Pre-slew 15-350 keV image (Event data; bkg subtracted)

    #   RAcent  DECcent POSerr  Theta    Phi     Peak Cts     SNR  Name
      234.4890 +63.8090 0.0266   46.6 -169.2       0.1079     7.2  TRIG_00704310       
    ------------------------------------------
     
    Foreground time interval of the image:
      0.024   0.400 (delta_t =   0.376 [sec])
    Background time interval of the image:
    -96.995   0.024 (delta_t =  97.019 [sec])
    

    Lightcurves

    Notes:

    1 s binning

    From T0-310 s to T0+310 s
    From T100_start - 20 s to T100_end + 30 s
    Full time interval

    64 ms binning

    Full time interval
    From T100_start to T100_end
    From T0-5 sec to T0+5 sec

    16 ms binning

    From T100_start-5 s to T100_start+5 s
    Blue+Cyan dotted lines: Time interval of the scaled map
    From 0.000000 to 0.256000
    

    8 ms binning

    From T100_start-3 s to T100_start+3 s
    Blue+Cyan dotted lines: Time interval of the scaled map
    From 0.000000 to 0.256000
    

    2 ms binning

    From T100_start-1 s to T100_start+1 s
    Blue+Cyan dotted lines: Time interval of the scaled map
    From 0.000000 to 0.256000
    

    SN=5 or 10 sec. binning (whichever binning is satisfied first)

    SN=5 or 10 sec. binning (T < 200 sec)

    Spectra

    Notes:

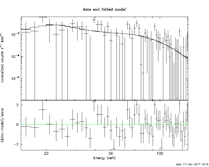
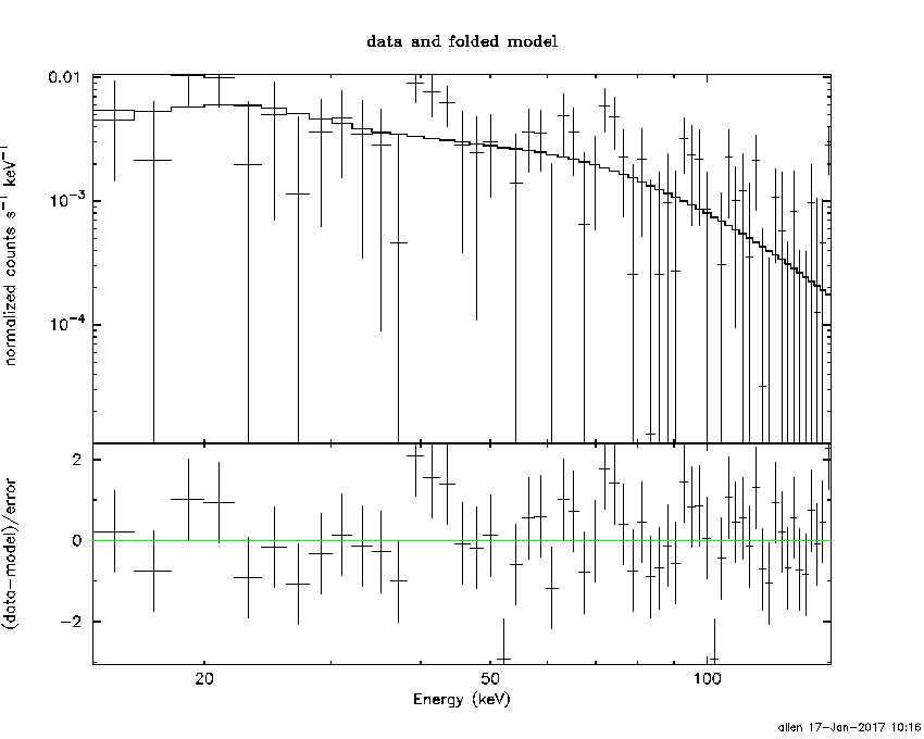
    Time averaged spectrum fit using the pre-slew DRM

    Power-law model
    Time interval is from    0.024 sec. to    0.400 sec.
     
    Spectral model in power-law:
    ------------------------------------------------------------
    Parameters  : value       lower 90%   higher 90%
    Photon index: 1.37209     ( -0.37217   0.366912 )
    Norm@50keV  : 1.89816E-02    ( -0.00409253   0.00409251 )
    ------------------------------------------------------------
    #Fit statistic : Chi-Squared =          61.71 using 59 PHA bins.
    # Reduced chi-squared =          1.083 for     57 degrees of freedom 
    # Null hypothesis probability =   3.115932e-01
     
    Photon flux (15-150 keV)    in 0.376 sec: 2.29740 ( -0.523755  0.52729 ) ph/cm2/s
    Energy fluence (15-150 keV)             : 6.93686e-08 ( -1.58546e-08  1.59568e-08 ) ergs/cm2
     
    
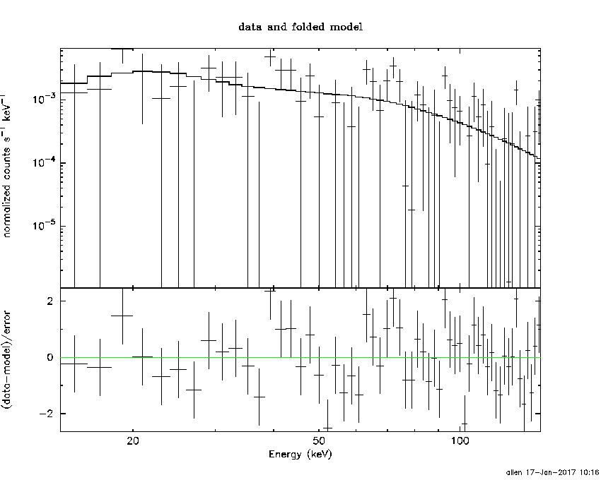
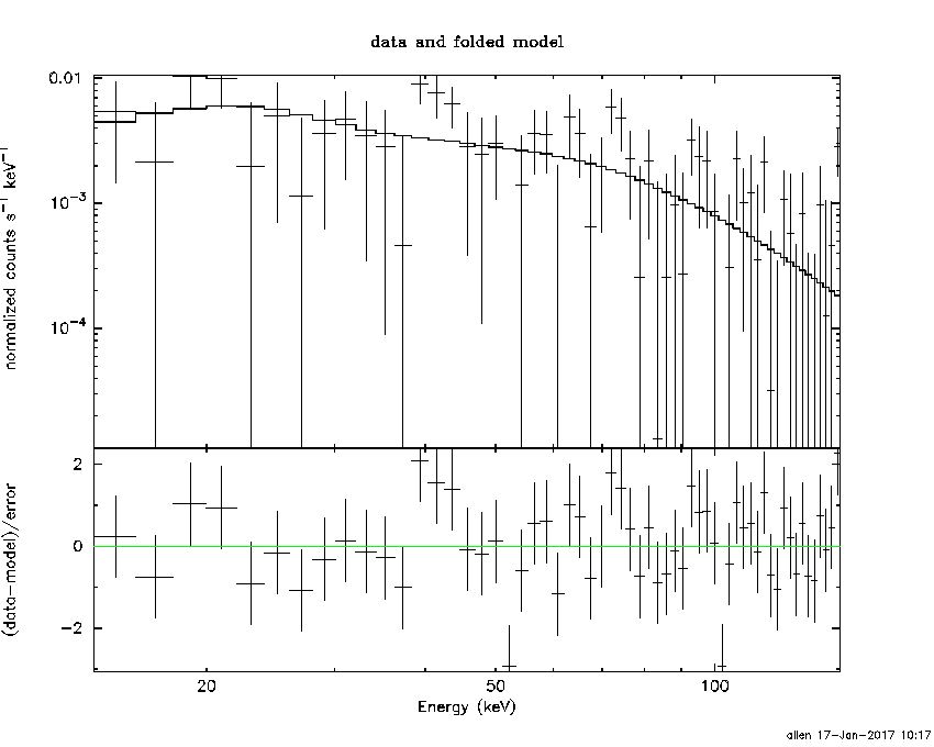
    Cutoff power-law model
    Time interval is from    0.024 sec. to    0.400 sec.
    Spectral model in the cutoff power-law:
    ------------------------------------------------------------
    Parameters  : value       lower 90%   higher 90%
    Photon index: 1.02153     ( -1.80477   1.54016 )
    Epeak [keV] : 154.793      ( -154.791 -154.791 )
    Norm@50keV  : 2.76720E-02    ( -0.0125055   0.148935 )
    ------------------------------------------------------------
    #Fit statistic : Chi-Squared =          61.52 using 59 PHA bins.
    # Reduced chi-squared =          1.099 for     56 degrees of freedom 
    # Null hypothesis probability =   2.849329e-01
     
    Photon flux (15-150 keV)    in 0.376 sec: 2.26698 ( -0.54064  0.54076 ) ph/cm2/s
    Energy fluence (15-150 keV)             : 6.85587e-08 ( -1.66478e-08  1.6347e-08 ) ergs/cm2
     
    
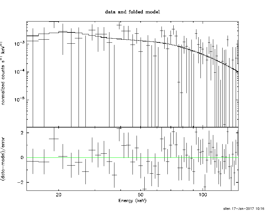
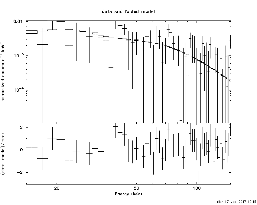
    Band function
    Time interval is from    0.024 sec. to    0.400 sec.
     
    Spectral model in the Band function:
    ------------------------------------------------------------
    Parameters  : value       lower 90%   higher 90%
    alpha       : -1.01981   ( 0.802872   5.75092 )
    beta        : -1.66928    ( 1.74772   11.7381 )
    Epeak [keV] : 154.237      ( -141.366 -141.366 )
    Norm@50keV   : 2.77226E-02    ( -0.012002   0 )
    ------------------------------------------------------------
    #Fit statistic : Chi-Squared =          61.51 using 59 PHA bins.
    # Reduced chi-squared =          1.118 for     55 degrees of freedom 
    # Null hypothesis probability =   2.542690e-01
     
    Photon flux (15-150 keV)    in 0.376 sec:  (    ) ph/cm2/s
    Energy fluence (15-150 keV)             : 0 ( 0  0 ) ergs/cm2
     
    
    Single BB
     
    Spectral model blackbody:
    ------------------------------------------------------------
    Parameters  : value    Lower 90%  Upper 90%
    kT [keV]    : 18.0626  (-4.60142  6.49323)
    R^2/D10^2   : 0.142738  (-0.0926615   0.25262)
    (R is the radius in km and D10 is the distance to the source in units of 10 kpc)
    ------------------------------------------------------------
    #Fit statistic : Chi-Squared =          65.90 using 59 PHA bins.
    # Reduced chi-squared =          1.156 for     57 degrees of freedom 
    # Null hypothesis probability =   1.962078e-01
     
    Energy  Fluence     90% Error
    [keV]   [erg/cm2]   [erg/cm2]
    15- 25  3.502e-09   1.564e-09
    25- 50  1.624e-08   7.402e-09
    50-150  3.849e-08   1.858e-08
    15-150  5.823e-08   2.132e-08
    
    Thermal bremsstrahlung (OTTB)
     
     
    Spectral model: thermal bremsstrahlung
    ------------------------------------------------------------
    Parameters  : value         Lower 90%    Upper 90%
    kT [keV]    : 199.363       (-91.1555      -199.363)
    Norm        : 9.65182       (-2.09426     2.09409)
    ------------------------------------------------------------
    #Fit statistic : Chi-Squared =          62.39 using 59 PHA bins.
    # Reduced chi-squared =          1.095 for     57 degrees of freedom 
    # Null hypothesis probability =   2.904619e-01
     
    Energy  Fluence     90% Error
    [keV]   [erg/cm2]   [erg/cm2]
    15- 25  9.037e-09   5.384e-09
    25- 50  1.738e-08   1.027e-08
    50-150  3.813e-08   2.228e-08
    15-150  6.454e-08   3.769e-08
    
    Double BB
     
     
    Spectral model: bbodyrad<1> + bbodyrad<2>
    ------------------------------------------------------------
    Parameters  : value         Lower 90%    Upper 90%
    kT1 [keV]   : 7.55147        (-6.09909      9.62166)
    R1^2/D10^2  : 1.54739        (-1.37352      5154.51)
    kT2 [keV]   : 27.4519        (-10.8762      -27.524)
    R2^2/D10^2  : 2.81149E-02    (-0.0277092   0.170979)
    ------------------------------------------------------------
    #Fit statistic : Chi-Squared =          61.83 using 59 PHA bins.
    # Reduced chi-squared =          1.124 for     55 degrees of freedom 
    # Null hypothesis probability =   2.453249e-01
     
    Energy  Fluence     90% Error
    [keV]   [erg/cm2]   [erg/cm2]
    15- 25  7.042e-09   4.399e-09
    25- 50  1.685e-08   9.406e-09
    50-150  4.471e-08   2.553e-08
    15-150  6.860e-08   3.570e-08
    

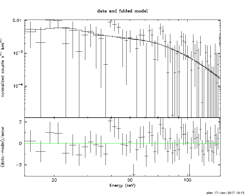
    Peak spectrum fit

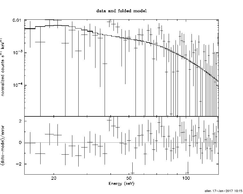
    Power-law model
    Time interval is from   -0.286 sec. to    0.714 sec.
     
    Spectral model in power-law:
    ------------------------------------------------------------
    Parameters  : value       lower 90%   higher 90%
    Photon index: 1.26041     ( -0.47952   0.455794 )
    Norm@50keV  : 9.06622E-03    ( -0.00238577   0.00237955 )
    ------------------------------------------------------------
    #Fit statistic : Chi-Squared =          66.38 using 59 PHA bins.
    # Reduced chi-squared =          1.165 for     57 degrees of freedom 
    # Null hypothesis probability =   1.850955e-01
     
    Photon flux (15-150 keV)    in 1 sec: 1.07413 ( -0.299572  0.302708 ) ph/cm2/s
    Energy fluence (15-150 keV)             : 9.04881e-08 ( -2.48855e-08  2.50622e-08 ) ergs/cm2
     
    
    Cutoff power-law model
    Time interval is from   -0.286 sec. to    0.714 sec.
    Spectral model in the cutoff power-law:
    ------------------------------------------------------------
    Parameters  : value       lower 90%   higher 90%
    Photon index: 0.999157     ( -2.19073   -1.03509 )
    Epeak [keV] : 215.068      ( -245.04 -245.04 )
    Norm@50keV  : 1.18687E-02    ( -0.00465808   0.0793478 )
    ------------------------------------------------------------
    #Fit statistic : Chi-Squared =          66.33 using 59 PHA bins.
    # Reduced chi-squared =          1.184 for     56 degrees of freedom 
    # Null hypothesis probability =   1.625958e-01
     
    Photon flux (15-150 keV)    in 1 sec: 1.06383 ( -0.309592  0.15499 ) ph/cm2/s
    Energy fluence (15-150 keV)             : 8.98654e-08 ( -2.56978e-08  2.54706e-08 ) ergs/cm2
     
    
    Band function
    Time interval is from   -0.286 sec. to    0.714 sec.
     
    Spectral model in the Band function:
    ------------------------------------------------------------
    Parameters  : value       lower 90%   higher 90%
    alpha       : 4.68861   ( -4.68861   -4.68861 )
    beta        : -1.28362    ( -0.502408   0.4927 )
    Epeak [keV] : 22.6479      ( -22.6479 191.308 )
    Norm@50keV   : 799.502    ( -208.684   5.09581e+06 )
    ------------------------------------------------------------
    #Fit statistic : Chi-Squared =          66.29 using 59 PHA bins.
    # Reduced chi-squared =          1.205 for     55 degrees of freedom 
    # Null hypothesis probability =   1.415827e-01
     
    Photon flux (15-150 keV)    in 1 sec:  (    ) ph/cm2/s
    Energy fluence (15-150 keV)             : 0 ( 0  0 ) ergs/cm2
     
    
    Single BB
     
    Spectral model blackbody:
    ------------------------------------------------------------
    Parameters  : value    Lower 90%  Upper 90%
    kT [keV]    : 20.8109  (-6.26451  9.80808)
    R^2/D10^2   : 4.26928E-02  (-0.0306221   0.0994541)
    (R is the radius in km and D10 is the distance to the source in units of 10 kpc)
    ------------------------------------------------------------
    #Fit statistic : Chi-Squared =          69.51 using 59 PHA bins.
    # Reduced chi-squared =          1.219 for     57 degrees of freedom 
    # Null hypothesis probability =   1.237360e-01
     
    Energy  Fluence     90% Error
    [keV]   [erg/cm2]   [erg/cm2]
    15- 25  3.507e-09   2.053e-09
    25- 50  1.792e-08   1.074e-08
    50-150  5.781e-08   3.721e-08
    15-150  7.924e-08   4.782e-08
    
    Thermal bremsstrahlung (OTTB)
     
     
    Spectral model: thermal bremsstrahlung
    ------------------------------------------------------------
    Parameters  : value         Lower 90%    Upper 90%
    kT [keV]    : 199.363       (-72.8649      -199.363)
    Norm        : 4.55693       (-1.21077     1.21077)
    ------------------------------------------------------------
    #Fit statistic : Chi-Squared =          67.68 using 59 PHA bins.
    # Reduced chi-squared =          1.187 for     57 degrees of freedom 
    # Null hypothesis probability =   1.573846e-01
     
    Energy  Fluence     90% Error
    [keV]   [erg/cm2]   [erg/cm2]
    15- 25  1.135e-08   6.895e-09
    25- 50  2.183e-08   1.318e-08
    50-150  4.787e-08   2.899e-08
    15-150  8.105e-08   4.684e-08
    
    Double BB
     
     
    Spectral model: bbodyrad<1> + bbodyrad<2>
    ------------------------------------------------------------
    Parameters  : value         Lower 90%    Upper 90%
    kT1 [keV]   : 7.15647        (-5.37587      10.4339)
    R1^2/D10^2  : 0.879909        (-0.827477      822.473)
    kT2 [keV]   : 30.2468        (-25.9575      -30.2644)
    R2^2/D10^2  : 1.06338E-02    (-0.00992227   0.0537124)
    ------------------------------------------------------------
    #Fit statistic : Chi-Squared =          65.93 using 59 PHA bins.
    # Reduced chi-squared =          1.199 for     55 degrees of freedom 
    # Null hypothesis probability =   1.485331e-01
     
    Energy  Fluence     90% Error
    [keV]   [erg/cm2]   [erg/cm2]
    15- 25  8.918e-09   6.130e-09
    25- 50  1.995e-08   1.110e-08
    50-150  6.227e-08   3.658e-08
    15-150  9.114e-08   4.888e-08
    

    Pre-slew spectrum (Pre-slew PHA with pre-slew DRM)

    Power-law model
     
    Spectral model in power-law:
    ------------------------------------------------------------
    Parameters  : value       lower 90%   higher 90%
    Photon index: 1.37209     ( -0.37217   0.366912 )
    Norm@50keV  : 1.89816E-02    ( -0.00409253   0.00409251 )
    ------------------------------------------------------------
    #Fit statistic : Chi-Squared =          61.71 using 59 PHA bins.
    # Reduced chi-squared =          1.083 for     57 degrees of freedom 
    # Null hypothesis probability =   3.115932e-01
     
    Photon flux (15-150 keV)    in 0.376 sec: 2.29740 ( -0.523755  0.52729 ) ph/cm2/s
    Energy fluence (15-150 keV)             : 6.93686e-08 ( -1.58546e-08  1.59568e-08 ) ergs/cm2
     
    
    Cutoff power-law model
    Spectral model in the cutoff power-law:
    ------------------------------------------------------------
    Parameters  : value       lower 90%   higher 90%
    Photon index: 1.02153     ( -1.80477   1.54016 )
    Epeak [keV] : 154.793      ( -154.791 -154.791 )
    Norm@50keV  : 2.76720E-02    ( -0.0125055   0.148935 )
    ------------------------------------------------------------
    #Fit statistic : Chi-Squared =          61.52 using 59 PHA bins.
    # Reduced chi-squared =          1.099 for     56 degrees of freedom 
    # Null hypothesis probability =   2.849329e-01
     
    Photon flux (15-150 keV)    in 0.376 sec: 2.26698 ( -0.54064  0.54076 ) ph/cm2/s
    Energy fluence (15-150 keV)             : 6.85587e-08 ( -1.66478e-08  1.6347e-08 ) ergs/cm2
     
    
    Band function
     
    Spectral model in the Band function:
    ------------------------------------------------------------
    Parameters  : value       lower 90%   higher 90%
    alpha       : -1.01981   ( 0.802872   5.75092 )
    beta        : -1.66928    ( 1.74772   11.7381 )
    Epeak [keV] : 154.237      ( -141.366 -141.366 )
    Norm@50keV   : 2.77226E-02    ( -0.012002   0 )
    ------------------------------------------------------------
    #Fit statistic : Chi-Squared =          61.51 using 59 PHA bins.
    # Reduced chi-squared =          1.118 for     55 degrees of freedom 
    # Null hypothesis probability =   2.542690e-01
     
    Photon flux (15-150 keV)    in 0.376 sec:  (    ) ph/cm2/s
    Energy fluence (15-150 keV)             : 0 ( 0  0 ) ergs/cm2
     
    

    S(25-50 keV) vs. S(50-100 keV) plot

    S(25-50 keV)  = 1.61e-08
    S(50-100 keV) = 2.48e-08
    

    T90 vs. Hardness ratio plot

    T90                                   = 0.347999930381775 sec.
    Hardness ratio (energy fluence ratio) = 1.54037
    

    Color vs. Color plot

    Count Ratio  (25-50 keV) / (15-25 keV) = 1.79529
    Count Ratio (50-100 keV) / (15-25 keV) = 1.78524
    

    Mask shadow pattern

    IMX = 0, IMY = 0
    

    TIME vs. PHA plot around the trigger time

    Blue+Cyan dotted lines: Time interval of the scaled map
    From 0.000000 to 0.256000
    

    TIME vs. DetID plot around the trigger time

    Blue+Cyan dotted lines: Time interval of the scaled map
    From 0.000000 to 0.256000
    

    100 us light curve (15-350 keV)

    Blue+Cyan dotted lines: Time interval of the scaled map
    From 0.000000 to 0.256000
    

    Spacecraft aspect plot

    Bright source in the pre-burst/pre-slew/post-slew images

    Pre-burst image of 15-350 keV band

    Time interval of the image:
    -96.995400 0.024000
     
    # RAcent  DECcent POSerr Theta    Phi  PeakCts   SNR AngSep     Name
    #  [deg]    [deg]    ['] [deg]  [deg]                   [']
    299.6265  35.1754    1.1  38.0  117.3   3.4629  10.5    2.4	Cyg X-1                       
    308.1707  40.9949    4.3  29.2  114.3   0.4930   2.7    3.7	Cyg X-3                       
    326.1728  38.4935    4.4  23.8   84.9   0.4245   2.7   10.3	Cyg X-2                       
      7.4388   6.6819    2.1  54.9   18.1   3.3608   5.5  599.2	UNKNOWN                       
     27.4864  13.6642    2.2  54.9   -7.5   2.0212   5.2 ------	UNKNOWN                       
    211.8390  72.9651    2.0  44.4 -152.3   1.2312   5.7 ------	UNKNOWN                       
     38.9395  24.4297    2.5  50.7  -26.0   1.3692   4.7 ------	UNKNOWN                       
     51.4235  30.6124    4.5  52.0  -42.1   1.5743   2.6 ------	UNKNOWN                       
    

    Pre-slew background subtracted image of 15-350 keV band

    Time interval of the image:
    0.024000 0.400000
     
    # RAcent  DECcent POSerr Theta    Phi  PeakCts   SNR AngSep     Name
    #  [deg]    [deg]    ['] [deg]  [deg]                   [']
    299.6579  35.1286    6.2  38.0  117.2  -0.0370  -1.9    5.5	Cyg X-1                       
    307.8994  40.8504  194.5  29.5  114.4   0.0007   0.1   11.4	Cyg X-3                       
    325.9520  38.2989    4.1  24.0   85.1   0.0265   2.8   10.4	Cyg X-2                       
      7.1255  23.9389    2.6  38.2   12.0   0.0450   4.5 ------	UNKNOWN                       
    234.4891  63.8090    1.6  46.6 -169.2   0.1078   7.2 ------	UNKNOWN                       
    

    Post-slew image of 15-350 keV band

    Time interval of the image:
    547.304610 809.004590
     
    # RAcent  DECcent POSerr Theta    Phi  PeakCts   SNR AngSep     Name
    #  [deg]    [deg]    ['] [deg]  [deg]                   [']
     83.6300  22.0122    0.3  19.8  -75.8  10.6838  37.7    0.2	Crab                          
     96.1441   8.2456    2.4  36.0  -56.7   1.8006   4.8 ------	UNKNOWN                       
    104.9433  69.5805    3.1  52.3 -149.1   3.1927   3.6 ------	UNKNOWN                       
    101.4684 -16.4179    2.4  55.5  -34.0   6.1276   4.8 ------	UNKNOWN                       
    104.2033  -1.5567    2.7  48.0  -50.7   4.6640   4.3 ------	UNKNOWN                       
    
    Plot creation:
    Tue Jan 17 10:17:51 EST 2017