batgrbproduct Analysis for Trigger=706871

Analysis Summary

Notes:

======================================================================
                  BAT GRB EVENT DATA PROCESSING REPORT
    Process Script Ver: batgrbproduct v2.46
    Process Start Time (local time): Mon Aug 22 15:47:10 EDT 2016
             Host Name: bat1
   Current Working Dir: /local/data/bat1/alien/Swift_3rdBATcatalog/event/batevent_reproc/trigger706871
======================================================================

  Trigger: 00706871      Segment: 000

  BAT Trigger Time: 491736527.168   [s; MET]
      Trigger Stop: 491736528.192   [s; MET]
               UTC: 2016-08-01T09:28:30.522860    [includes UTCF correction] 
       Where From?: TDRSS position message

  BAT 
    RA: 212.762767149869   Dec: 13.4995972351227  [deg; J2000]

     Catalogged Source?: NO
     Point Source?:      YES
     GRB Indicated?:     YES    [ by BAT flight software ]
     Image S/N Ratio:    9.93
     Image Trigger?:     NO
     Rate S/N Ratio:     14.9666295470958  [ if not an image trigger ]
     Image S/N Ratio:    9.93

  Flight Position:   [ source = BAT ]
    RA: 212.762767149869   Dec: 13.4995972351227  [deg; J2000]

  Ground Position:   [ source = BAT pre-slew burst ]
    RA: 212.766318588363   Dec: 13.4827014060536  [deg; J2000]  
        { 14h 11m 03.9s , +13d 28' 57.7" }
         +/- 1.76389699310403 [arcmin] (estimated 90% radius based on SNR)
         +/- 0.842572315625893 [arcmin] (formal 1-sigma fit error)
    SNR: 13.521154650618
 
  Angular difference between Flight and Ground position is 1.034709 arcmin
 
  Partial Coding Fraction: 0.734375    [ including projection effects ]

  Duration
     T90: 2.85199993848801 +/- 0.415427463220295
        Measured from: -1.16799998283386
                   to: 1.68399995565414     [s; relative to TRIGTIME]
     T50: 1.31599998474121 +/- 0.404949358277075
        Measured from: -0.379999995231628
                   to: 0.935999989509583     [s; relative to TRIGTIME]



  Fluence
     Peak Flux  (peak 1 second)
        Measured from: -0.0239999890327454     
                   to: 0.976000010967255     [s; relative to TRIGTIME]
     Total Fluence        
        Measured from: -1.34399998188019     
                   to: 1.82800000905991     [s; relative to TRIGTIME]
     
             Band 1     Band 2     Band 3     Band 4
              15-25      25-50     50-100    100-350     keV
 Total     0.105874   0.130221   0.072628   0.015817
           0.012955   0.013797   0.011681   0.009278 [error]
 Peak      0.046616   0.069362   0.022037   0.001191
           0.007376   0.007980   0.006466   0.004885 [error]

     [ fluence units of on-axis counts / fully illuminated detector ] 

======================================================================
 
=== Fluence/Peak Flux Summary ===
 
              Model    Band1    Band2    Band3    Band4    Band5    Total      
                       15-25    25-50   50-100  100-350   15-150   15-350   keV
Fluence   Power-law 3.36e-08 5.01e-08 5.55e-08 1.16e-07 1.74e-07 2.56e-07   erg/cm2
              Error 5.97e-09 6.22e-09 1.10e-08 4.57e-08 2.59e-08 5.74e-08   erg/cm2
Peak flux Power-law 5.16e-01 3.92e-01 1.99e-01 1.46e-01 1.17e+00 1.25e+00   ph/cm2/s
              Error 1.07e-01 6.23e-02 4.92e-02 6.51e-02 1.86e-01 2.01e-01   ph/cm2/s
 
Fluence   Cutoff-PL 3.10e-08 5.55e-08 5.52e-08 3.33e-08 1.62e-07 1.75e-07   erg/cm2
              Error 6.75e-09 8.54e-09 1.28e-08 6.02e-08 2.81e-08 6.80e-08   erg/cm2
Peak flux Cutoff-PL 4.20e-01 5.35e-01 1.73e-01 8.11e-03 1.14e+00 1.14e+00   ph/cm2/s
              Error 1.24e-01 1.00e-01 7.10e-02 1.99e-02 1.83e-01 1.84e-01   ph/cm2/s
 
Fluence        Band 3.68e-08 5.08e-08 5.65e-08 1.16e-07 5.23e-08 5.23e-08   erg/cm2
              Error 4.63e-09 7.23e-09 7.05e-09 4.57e-08 -------- --------   erg/cm2
Peak flux      Band 4.08e-01 5.50e-01 1.64e-01 3.82e-02 1.15e+00 1.16e+00   ph/cm2/s
              Error 1.30e-01 1.28e-01 7.05e-02 5.53e-02 1.84e-01 1.94e-01   ph/cm2/s
 
=== Time-averaged spectral analysis ===
 
Model Ph_index Ph_90err Epeak  Epeak_90err Norm     Nomr_90err chi2   dof
PL    1.848    0.219    -      -           5.98e-03 8.80e-04   56.840 57
CPL   1.002    1.024      51.3  -18.5      1.79e-02 3.94e-02   54.390 56
 
 
=== 1-s peak spectral analysis ===
 
Model Ph_index Ph_90err Epeak  Epeak_90err Norm     Nomr_90err chi2   dof
PL    1.975    0.258    -      -           7.92e-03 1.54e-03   68.930 57
CPL  -0.826    1.961      39.6    7.0      3.75e-01 5.29e+00   57.880 56
 
Model      : spectral model: simple power-law (PL) and cutoff power-law (CPL)
Ph_index   : photon index: E^-{Ph_index} (minus sign is not included in the index)
Ph_90err   : 90% error of the photon index
Epeak      : Epeak in keV
Epeak_90err: 90% error of Epeak
Norm       : normalization at 50 keV in PL model and at 1 keV in CPL model
Nomr_90err : 90% error of the normalization
chi2       : Chi-Squared
dof        : degree of freedom
 
=== T90/T50 calculation in the 50-300 keV band (BATSE band) using 64 ms lc ===
 
T90 in the 50-300 keV band: 2.176000 sec.
T50 in the 50-300 keV band: 1.344000 sec.
 
=== Table of the duration information ==
 
        Value   tstart    tstop
T100    3.172   -1.344    1.828
T90     2.852   -1.168    1.684
T50     1.316   -0.380    0.936
Peak    1.000   -0.024    0.976
  • Click here for the BAT GCN circular template
  • Estimated redshift from machine learning (Ukwatta et al. 2016) - may take a few minute to calcaulte

    Image

    Pre-slew 15.0-350.0 keV image (Event data)

    #   RAcent    DECcent   POSerr    Theta     Phi              Peak Cts       SNR   Name
      212.7663    13.4827   0.0143    29.5146    20.4480         0.3242621     13.521 TRIG_00706871                 
     
    Foreground time interval of the image:
     -1.344   1.828 (delta_t =   3.172 [sec])
    Background time interval of the image:
    -239.168  -1.344 (delta_t = 237.824 [sec])
    

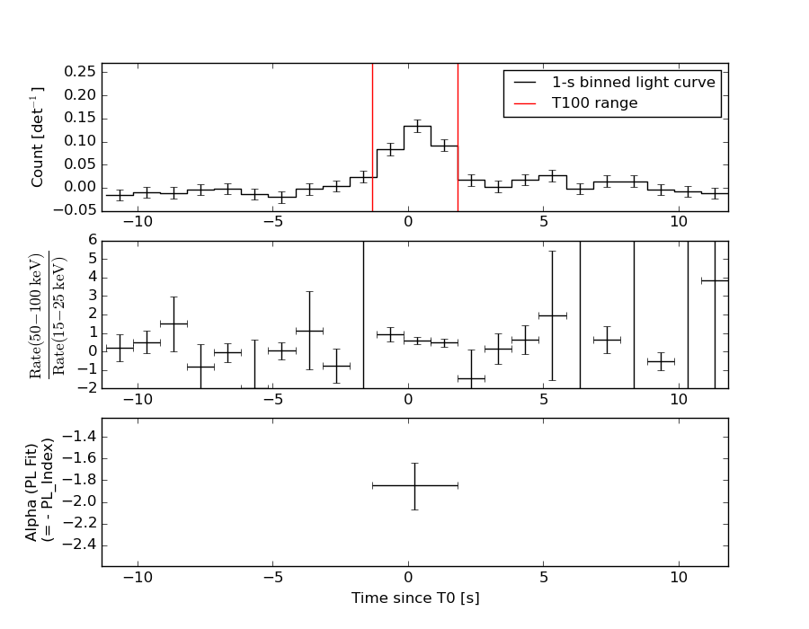
    Lightcurves

    Notes:

    1 s binning

    From T0-310 s to T0+310 s
    From T100_start - 20 s to T100_end + 30 s
    Full time interval

    64 ms binning

    Full time interval
    From T100_start to T100_end
    From T0-5 sec to T0+5 sec

    16 ms binning

    From T100_start-5 s to T100_start+5 s

    8 ms binning

    From T100_start-3 s to T100_start+3 s

    2 ms binning

    From T100_start-1 s to T100_start+1 s

    SN=5 or 10 sec. binning (whichever binning is satisfied first)

    SN=5 or 10 sec. binning (T < 200 sec)

    Quad-rate summed light curves (from T0-300s to T0+1000s)

    Spectral Evolution

    Spectra

    Notes:

    Time averaged spectrum fit using the average DRM

    Power-law model
    Time interval is from   -1.344 sec. to    1.828 sec.
     
    Spectral model in power-law:
    ------------------------------------------------------------
    Parameters  : value       lower 90%   higher 90%
    Photon index: 1.84845     ( -0.212989   0.225326 )
    Norm@50keV  : 5.97874E-03    ( -0.000889968   0.000869387 )
    ------------------------------------------------------------
    #Fit statistic : Chi-Squared =          56.84 using 59 PHA bins.
    # Reduced chi-squared =         0.9971 for     57 degrees of freedom 
    # Null hypothesis probability =   4.812263e-01
     
    Photon flux (15-150 keV)    in 3.172 sec: 0.839892 ( -0.104718  0.104742 ) ph/cm2/s
    Energy fluence (15-150 keV)             : 1.74407e-07 ( -2.56512e-08  2.61297e-08 ) ergs/cm2
     
    
    Cutoff power-law model
    Time interval is from   -1.344 sec. to    1.828 sec.
    Spectral model in the cutoff power-law:
    ------------------------------------------------------------
    Parameters  : value       lower 90%   higher 90%
    Photon index: 1.00238     ( -1.13633   0.912072 )
    Epeak [keV] : 51.3105      ( -14.2445 -51.3105 )
    Norm@50keV  : 1.79401E-02    ( -0.0179401   0.0608771 )
    ------------------------------------------------------------
    #Fit statistic : Chi-Squared =          54.39 using 59 PHA bins.
    # Reduced chi-squared =         0.9712 for     56 degrees of freedom 
    # Null hypothesis probability =   5.361500e-01
     
    Photon flux (15-150 keV)    in 3.172 sec: 0.819013 ( -0.107099  0.107156 ) ph/cm2/s
    Energy fluence (15-150 keV)             : 1.62485e-07 ( -2.72457e-08  2.8867e-08 ) ergs/cm2
     
    
    Band function
    Time interval is from   -1.344 sec. to    1.828 sec.
     
    Spectral model in the Band function:
    ------------------------------------------------------------
    Parameters  : value       lower 90%   higher 90%
    alpha       : -1.09726   ( 1.05421   5.93684 )
    beta        : -2.89517    ( 2.94918   1.17938 )
    Epeak [keV] : 51.9091      ( -51.4944 4503.33 )
    Norm@50keV   : 1.58823E-02    ( -0.00793122   420.955 )
    ------------------------------------------------------------
    #Fit statistic : Chi-Squared =          54.36 using 59 PHA bins.
    # Reduced chi-squared =         0.9883 for     55 degrees of freedom 
    # Null hypothesis probability =   4.991359e-01
     
    Photon flux (15-150 keV)    in 3.172 sec: 0.820107 ( -0.104741  0.103513 ) ph/cm2/s
    Energy fluence (15-150 keV)             : 5.21823e-08 ( 0  0 ) ergs/cm2
     
    
    Single BB
     
    Spectral model blackbody:
    ------------------------------------------------------------
    Parameters  : value    Lower 90%  Upper 90%
    kT [keV]    : 11.0941  (-1.54894  1.8033)
    R^2/D10^2   : 0.275939  (-0.118879   0.206894)
    (R is the radius in km and D10 is the distance to the source in units of 10 kpc)
    ------------------------------------------------------------
    #Fit statistic : Chi-Squared =          64.73 using 59 PHA bins.
    # Reduced chi-squared =          1.136 for     57 degrees of freedom 
    # Null hypothesis probability =   2.251073e-01
     
    Energy  Fluence     90% Error
    [keV]   [erg/cm2]   [erg/cm2]
    15- 25  2.255e-08   5.454e-09
    25- 50  6.445e-08   1.050e-08
    50-150  4.510e-08   1.408e-08
    15-150  1.321e-07   2.128e-08
    
    Thermal bremsstrahlung (OTTB)
     
     
    Spectral model: thermal bremsstrahlung
    ------------------------------------------------------------
    Parameters  : value         Lower 90%    Upper 90%
    kT [keV]    : 86.1894       (-28.538      57.4417)
    Norm        : 3.89474       (-0.648285     0.804046)
    ------------------------------------------------------------
    #Fit statistic : Chi-Squared =          54.64 using 59 PHA bins.
    # Reduced chi-squared =         0.9585 for     57 degrees of freedom 
    # Null hypothesis probability =   5.642591e-01
     
    Energy  Fluence     90% Error
    [keV]   [erg/cm2]   [erg/cm2]
    15- 25  3.218e-08   5.951e-09
    25- 50  5.391e-08   7.819e-09
    50-150  7.990e-08   4.122e-08
    15-150  1.660e-07   4.319e-08
    
    Double BB
     
     
    Spectral model: bbodyrad<1> + bbodyrad<2>
    ------------------------------------------------------------
    Parameters  : value         Lower 90%    Upper 90%
    kT1 [keV]   : 6.05014        (-2.74408      2.80947)
    R1^2/D10^2  : 1.56788        (-1.06983      14.5134)
    kT2 [keV]   : 18.1435        (-5.25304      15.533)
    R2^2/D10^2  : 3.11402E-02    (-0.0285727   0.106411)
    ------------------------------------------------------------
    #Fit statistic : Chi-Squared =          54.30 using 59 PHA bins.
    # Reduced chi-squared =         0.9872 for     55 degrees of freedom 
    # Null hypothesis probability =   5.014931e-01
     
    Energy  Fluence     90% Error
    [keV]   [erg/cm2]   [erg/cm2]
    15- 25  3.097e-08   1.711e-08
    25- 50  5.506e-08   2.860e-08
    50-150  7.469e-08   4.350e-08
    15-150  1.607e-07   8.363e-08
    

    Peak spectrum fit

    Power-law model
    Time interval is from   -0.024 sec. to    0.976 sec.
     
    Spectral model in power-law:
    ------------------------------------------------------------
    Parameters  : value       lower 90%   higher 90%
    Photon index: 1.97547     ( -0.247858   0.267695 )
    Norm@50keV  : 7.91713E-03    ( -0.00155086   0.00151982 )
    ------------------------------------------------------------
    #Fit statistic : Chi-Squared =          68.93 using 59 PHA bins.
    # Reduced chi-squared =          1.209 for     57 degrees of freedom 
    # Null hypothesis probability =   1.336120e-01
     
    Photon flux (15-150 keV)    in 1 sec: 1.17446 ( -0.185841  0.18585 ) ph/cm2/s
    Energy fluence (15-150 keV)             : 7.2929e-08 ( -1.35094e-08  1.38391e-08 ) ergs/cm2
     
    
    Cutoff power-law model
    Time interval is from   -0.024 sec. to    0.976 sec.
    Spectral model in the cutoff power-law:
    ------------------------------------------------------------
    Parameters  : value       lower 90%   higher 90%
    Photon index: -0.826273     ( -2.32607   1.59634 )
    Epeak [keV] : 39.6142      ( -5.87684 8.09673 )
    Norm@50keV  : 0.375409    ( -0.388101   10.1983 )
    ------------------------------------------------------------
    #Fit statistic : Chi-Squared =          57.88 using 59 PHA bins.
    # Reduced chi-squared =          1.034 for     56 degrees of freedom 
    # Null hypothesis probability =   4.057696e-01
     
    Photon flux (15-150 keV)    in 1 sec: 1.13600 ( -0.182935  0.18398 ) ph/cm2/s
    Energy fluence (15-150 keV)             : 6.25331e-08 ( -1.16176e-08  1.29448e-08 ) ergs/cm2
     
    
    Band function
    Time interval is from   -0.024 sec. to    0.976 sec.
     
    Spectral model in the Band function:
    ------------------------------------------------------------
    Parameters  : value       lower 90%   higher 90%
    alpha       : 1.79774   ( -3.82359   -3.03099 )
    beta        : -3.33356    ( 6.27101   16.2141 )
    Epeak [keV] : 36.4602      ( -10.087 6.41131 )
    Norm@50keV   : 1.73319    ( -1.92516   131.103 )
    ------------------------------------------------------------
    #Fit statistic : Chi-Squared =          57.77 using 59 PHA bins.
    # Reduced chi-squared =          1.050 for     55 degrees of freedom 
    # Null hypothesis probability =   3.733013e-01
     
    Photon flux (15-150 keV)    in 1 sec: 1.14653 ( -0.183048  0.18554 ) ph/cm2/s
    Energy fluence (15-150 keV)             : 6.23017e-08 ( -1.12394e-08  1.76983e-08 ) ergs/cm2
     
    
    Single BB
     
    Spectral model blackbody:
    ------------------------------------------------------------
    Parameters  : value    Lower 90%  Upper 90%
    kT [keV]    : 10.0277  (-1.36093  1.56164)
    R^2/D10^2   : 0.610463  (-0.262627   0.450418)
    (R is the radius in km and D10 is the distance to the source in units of 10 kpc)
    ------------------------------------------------------------
    #Fit statistic : Chi-Squared =          58.34 using 59 PHA bins.
    # Reduced chi-squared =          1.024 for     57 degrees of freedom 
    # Null hypothesis probability =   4.257438e-01
     
    Energy  Fluence     90% Error
    [keV]   [erg/cm2]   [erg/cm2]
    15- 25  1.251e-08   3.492e-09
    25- 50  3.123e-08   6.730e-09
    50-150  1.643e-08   6.533e-09
    15-150  6.018e-08   1.187e-08
    
    Thermal bremsstrahlung (OTTB)
     
     
    Spectral model: thermal bremsstrahlung
    ------------------------------------------------------------
    Parameters  : value         Lower 90%    Upper 90%
    kT [keV]    : 62.0113       (-20.1415      36.9098)
    Norm        : 6.28852       (-1.34671     1.63043)
    ------------------------------------------------------------
    #Fit statistic : Chi-Squared =          63.32 using 59 PHA bins.
    # Reduced chi-squared =          1.111 for     57 degrees of freedom 
    # Null hypothesis probability =   2.631852e-01
     
    Energy  Fluence     90% Error
    [keV]   [erg/cm2]   [erg/cm2]
    15- 25  1.589e-08   3.265e-09
    25- 50  2.442e-08   4.595e-09
    50-150  2.855e-08   1.222e-08
    15-150  6.886e-08   1.752e-08
    
    Double BB
    ------------------------------------------------------------
    Parameters  : value         Lower 90%    Upper 90%
    kT1 [keV]   : 8.02698        (-7.5605      -7.5605)
    R1^2/D10^2  : 0.877691        (-0.886208      -0.886208)
    kT2 [keV]   : 14.0894        (-13.1676      -13.1676)
    R2^2/D10^2  : 7.54431E-02    (-0.0751687   0.915856)
    ------------------------------------------------------------
    #Fit statistic : Chi-Squared =          57.74 using 59 PHA bins.
    #Fit statistic : Chi-Squared =          57.72 using 59 PHA bins.
    # Reduced chi-squared =          1.050 for     55 degrees of freedom 
    # Reduced chi-squared =          1.049 for     55 degrees of freedom 
    # Null hypothesis probability =   3.742835e-01
    # Null hypothesis probability =   3.751252e-01
     
    Energy  Fluence     90% Error
    [keV]   [erg/cm2]   [erg/cm2]
    15- 25  1.342e-08   1.884e-08
    25- 50  2.985e-08   9.425e-08
    50-150  1.976e-08   2.505e-07
    15-150  6.303e-08   3.525e-07
    

    Pre-slew spectrum (Pre-slew PHA with pre-slew DRM)

    Power-law model
     
    Spectral model in power-law:
    ------------------------------------------------------------
    Parameters  : value       lower 90%   higher 90%
    Photon index: 1.84845     ( -0.212989   0.225326 )
    Norm@50keV  : 5.97874E-03    ( -0.000889968   0.000869387 )
    ------------------------------------------------------------
    #Fit statistic : Chi-Squared =          56.84 using 59 PHA bins.
    # Reduced chi-squared =         0.9971 for     57 degrees of freedom 
    # Null hypothesis probability =   4.812263e-01
     
    Photon flux (15-150 keV)    in 3.172 sec: 0.839845 ( -0.104711  0.104734 ) ph/cm2/s
    Energy fluence (15-150 keV)             : 1.74379e-07 ( -2.5641e-08  2.61369e-08 ) ergs/cm2
     
    
    Cutoff power-law model
    Spectral model in the cutoff power-law:
    ------------------------------------------------------------
    Parameters  : value       lower 90%   higher 90%
    Photon index: 1.00238     ( -1.13633   0.912073 )
    Epeak [keV] : 51.3105      ( -14.2445 -51.3105 )
    Norm@50keV  : 1.79401E-02    ( -0.0179401   0.0608771 )
    ------------------------------------------------------------
    #Fit statistic : Chi-Squared =          54.39 using 59 PHA bins.
    # Reduced chi-squared =         0.9712 for     56 degrees of freedom 
    # Null hypothesis probability =   5.361500e-01
     
    Photon flux (15-150 keV)    in 3.172 sec: 0.818877 ( -0.107065  0.107122 ) ph/cm2/s
    Energy fluence (15-150 keV)             : 1.62529e-07 ( -2.72538e-08  2.88931e-08 ) ergs/cm2
     
    
    Band function
     
    Spectral model in the Band function:
    ------------------------------------------------------------
    Parameters  : value       lower 90%   higher 90%
    alpha       : -1.09726   ( 1.05421   5.93686 )
    beta        : -2.89517    ( 2.94918   1.17938 )
    Epeak [keV] : 51.9091      ( -51.4944 4482.61 )
    Norm@50keV   : 1.58823E-02    ( -0.00793122   420.955 )
    ------------------------------------------------------------
    #Fit statistic : Chi-Squared =          54.36 using 59 PHA bins.
    # Reduced chi-squared =         0.9883 for     55 degrees of freedom 
    # Null hypothesis probability =   4.991359e-01
     
    Photon flux (15-150 keV)    in 3.172 sec: 0.820107 ( -0.104742  0.103513 ) ph/cm2/s
    Energy fluence (15-150 keV)             : 5.21823e-08 ( 0  0 ) ergs/cm2
     
    

    S(25-50 keV) vs. S(50-100 keV) plot

    S(25-50 keV)  = 5.01e-08
    S(50-100 keV) = 5.55e-08
    

    T90 vs. Hardness ratio plot

    T90                                   = 2.85199993848801 sec.
    Hardness ratio (energy fluence ratio) = 1.10778
    

    Color vs. Color plot

    Count Ratio  (25-50 keV) / (15-25 keV) = 1.22996
    Count Ratio (50-100 keV) / (15-25 keV) = 0.685985
    

    Mask shadow pattern

    IMX = 5.304375290009572E-01, IMY = -1.977738262508182E-01
    

    TIME vs. PHA plot around the trigger time

    TIME vs. DetID plot around the trigger time

    100 us light curve (15-350 keV)

    Spacecraft aspect plot

    Bright source in the pre-burst/pre-slew/post-slew images

    Pre-burst image of 15-350 keV band

    Time interval of the image:
    -239.168000 -1.344000
     
    # RAcent  DECcent POSerr Theta    Phi  PeakCts   SNR AngSep     Name
    #  [deg]    [deg]    ['] [deg]  [deg]                   [']
    190.3568  51.3698    3.3  56.7  -29.4   4.3402   3.5 ------	UNKNOWN                       
    

    Pre-slew background subtracted image of 15-350 keV band

    Time interval of the image:
    -1.344000 1.828000
     
    # RAcent  DECcent POSerr Theta    Phi  PeakCts   SNR AngSep     Name
    #  [deg]    [deg]    ['] [deg]  [deg]                   [']
    200.5935 -52.3936    2.3  47.9  141.4   0.4645   5.0 ------	UNKNOWN                       
    212.7663  13.4827    0.9  29.5   20.4   0.3242  13.5 ------	UNKNOWN                       
    161.9596  28.2060    2.0  43.0  -67.0   0.4823   5.7 ------	UNKNOWN                       
    

    Post-slew image of 15-350 keV band

    Time interval of the image:
    70.732600 962.965800
     
    # RAcent  DECcent POSerr Theta    Phi  PeakCts   SNR AngSep     Name
    #  [deg]    [deg]    ['] [deg]  [deg]                   [']
    254.4988  35.4358    5.8  43.4   36.7   2.4963   2.0    6.0	Her X-1                       
    239.9673  46.1150    2.8  39.8   14.2   3.2228   4.1 ------	UNKNOWN                       
    212.0583 -25.6334    2.3  39.2  165.5   4.9441   5.0 ------	UNKNOWN                       
    230.0749  43.5438    3.2  33.5    7.6   2.4277   3.7 ------	UNKNOWN                       
    171.8633  12.9199    3.6  39.8 -101.4   7.5550   3.2 ------	UNKNOWN                       
    
    Plot creation:
    Mon Aug 22 16:21:47 EDT 2016