batgrbproduct analysis for trigger=777215

batgrbproduct Analysis for Trigger=777215

Analysis Summary

Notes:

======================================================================
                  BAT GRB EVENT DATA PROCESSING REPORT
    Process Script Ver: batgrbproduct v2.46
    Process Start Time (local time): Thu Oct 19 18:44:10 EDT 2017
             Host Name: bat1
   Current Working Dir: /local/data/bat1/alien/Swift_3rdBATcatalog/event/batevent_reproc/trigger777215
======================================================================

  Trigger: 00777215      Segment: 000

  BAT Trigger Time: 529070278.08   [s; MET]
      Trigger Stop: 529070280.128   [s; MET]
               UTC: 2017-10-07T11:57:38.277120    [includes UTCF correction] 
       Where From?: TDRSS position message

  BAT 
    RA: 135.543621795884   Dec: 42.8493348720254  [deg; J2000]

     Catalogged Source?: NO
     Point Source?:      YES
     GRB Indicated?:     YES    [ by BAT flight software ]
     Image S/N Ratio:    8.18
     Image Trigger?:     NO
     Rate S/N Ratio:     13.6747943311773  [ if not an image trigger ]
     Image S/N Ratio:    8.18

  Flight Position:   [ source = BAT ]
    RA: 135.543621795884   Dec: 42.8493348720254  [deg; J2000]

  Ground Position:   [ source = BAT pre-slew burst ]
    RA: 135.544   Dec: 42.8493  [deg; J2000]
        { 09h 02m 10.6s , +42d 50' 57.5" }
        +/- 2.32874993422 [arcmin] (estimated 90% radius based on SNR)
    SNR: 9.09314204559
 
 
  Angular difference between Flight and Ground position is 0.016768 arcmin
 
  Partial Coding Fraction: 1.03125    [ including projection effects ]

  Duration
     T90: 68.4239999651909 +/- 19.3288518403932
        Measured from: 0.480000019073486
                   to: 68.9039999842644     [s; relative to TRIGTIME]
     T50: 46.1679999232292 +/- 28.6269932006757
        Measured from: 1.95200002193451
                   to: 48.1199999451637     [s; relative to TRIGTIME]



  Fluence
     Peak Flux  (peak 1 second)
        Measured from: 0.452000021934509     
                   to: 1.45200002193451     [s; relative to TRIGTIME]
     Total Fluence        
        Measured from: -0.155999958515167     
                   to: 83.3479999899864     [s; relative to TRIGTIME]
     
             Band 1     Band 2     Band 3     Band 4
              15-25      25-50     50-100    100-350     keV
 Total     0.101361   0.197096   0.100734   0.028823
           0.045752   0.047675   0.042276   0.038092 [error]
 Peak      0.011085   0.026117   0.026586   0.011561
           0.005169   0.005470   0.005128   0.004523 [error]

     [ fluence units of on-axis counts / fully illuminated detector ] 

======================================================================
 
=== Fluence/Peak Flux Summary ===
 
              Model    Band1    Band2    Band3    Band4    Band5    Total      
                       15-25    25-50   50-100  100-350   15-150   15-350   keV
Fluence   Power-law 3.00e-08 6.05e-08 9.52e-08 3.30e-07 2.65e-07 5.14e-07   erg/cm2
              Error 1.47e-08 2.02e-08 3.73e-08 2.67e-07 9.47e-08 2.99e-07   erg/cm2
Peak flux Power-law 1.14e-01 1.62e-01 1.70e-01 3.31e-01 5.50e-01 7.77e-01   ph/cm2/s
              Error 5.09e-02 4.42e-02 3.94e-02 1.70e-01 1.20e-01 1.92e-01   ph/cm2/s
 
Fluence   Cutoff-PL 1.57e-08 8.68e-08 9.35e-08 8.93e-09 2.05e-07 2.05e-07   erg/cm2
              Error 1.65e-08 3.04e-08 5.14e-08 -------- 8.30e-08 9.47e-08   erg/cm2
Peak flux Cutoff-PL 9.80e-02 1.68e-01 1.82e-01 1.74e-01 5.36e-01 6.23e-01   ph/cm2/s
              Error 6.21e-02 5.01e-02 4.87e-02 1.91e-01 1.27e-01 2.25e-01   ph/cm2/s
 
Fluence        Band -------- -------- -------- -------- -------- --------   erg/cm2
              Error -------- -------- -------- -------- -------- --------   erg/cm2
Peak flux      Band -------- -------- -------- -------- -------- --------   ph/cm2/s
              Error -------- -------- -------- -------- -------- --------   ph/cm2/s
 
=== Time-averaged spectral analysis ===
 
Model Ph_index Ph_90err Epeak  Epeak_90err Norm     Nomr_90err chi2   dof
PL    1.351    0.483    -      -           3.24e-04 1.06e-04   79.250 57
CPL  -3.260    0.190      52.7   21.0      8.03e-02 1.10e+02   73.270 56
 
 
=== 1-s peak spectral analysis ===
 
Model Ph_index Ph_90err Epeak  Epeak_90err Norm     Nomr_90err chi2   dof
PL    0.927    0.382    -      -           4.79e-03 1.04e-03   65.790 57
CPL   0.291    1.614     148.9    0.0      9.39e-03 4.12e-02   65.320 56
 
Model      : spectral model: simple power-law (PL) and cutoff power-law (CPL)
Ph_index   : photon index: E^-{Ph_index} (minus sign is not included in the index)
Ph_90err   : 90% error of the photon index
Epeak      : Epeak in keV
Epeak_90err: 90% error of Epeak
Norm       : normalization at 50 keV in PL model and at 1 keV in CPL model
Nomr_90err : 90% error of the normalization
chi2       : Chi-Squared
dof        : degree of freedom
 
=== T90/T50 calculation in the 50-300 keV band (BATSE band) using 64 ms lc ===
 
T90 in the 50-300 keV band: 3.072000 sec.
T50 in the 50-300 keV band: 1.344000 sec.
 
=== Table of the duration information ==
 
        Value   tstart    tstop
T100   83.504   -0.156   83.348
T90    68.424    0.480   68.904
T50    46.168    1.952   48.120
Peak    1.000    0.452    1.452
  • Click here for the BAT GCN circular template
  • Estimated redshift from machine learning (Ukwatta et al. 2016) - may take a few minute to calcaulte
  • Special notes of this burst

    Image

    Pre-slew 15.0-350.0 keV image (Event data)

    #   RAcent    DECcent   POSerr    Theta     Phi              Peak Cts       SNR   Name
    135.544 42.849 0.000 10.186 -8.975 0.138 9.093 TRIG_00777215
    
    Image time interval: 0.000 to 2.240 [sec]
    

    Lightcurves

    Notes:

    1 s binning

    From T0-310 s to T0+310 s
    From T100_start - 20 s to T100_end + 30 s
    Full time interval

    64 ms binning

    Full time interval
    From T100_start to T100_end
    From T0-5 sec to T0+5 sec

    16 ms binning

    From T100_start-5 s to T100_start+5 s
    Blue+Cyan dotted lines: Time interval of the scaled map
    From 0.000000 to 2.048000
    

    8 ms binning

    From T100_start-3 s to T100_start+3 s
    Blue+Cyan dotted lines: Time interval of the scaled map
    From 0.000000 to 2.048000
    

    2 ms binning

    From T100_start-1 s to T100_start+1 s
    Blue+Cyan dotted lines: Time interval of the scaled map
    From 0.000000 to 2.048000
    

    SN=5 or 10 sec. binning (whichever binning is satisfied first)

    SN=5 or 10 sec. binning (T < 200 sec)

    Quad-rate summed light curves (from T0-300s to T0+1000s)

    Spectral Evolution

    Spectra

    Notes:

    Time averaged spectrum fit using the average DRM

    Power-law model
    Time interval is from   -0.156 sec. to   83.348 sec.
     
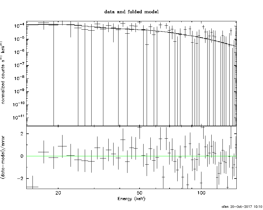
    Spectral model in power-law:
    ------------------------------------------------------------
    Parameters  : value       lower 90%   higher 90%
    Photon index: 1.35148     ( -0.481681   0.485282 )
    Norm@50keV  : 3.24044E-04    ( -0.000105834   0.000105353 )
    ------------------------------------------------------------
    #Fit statistic : Chi-Squared =          79.25 using 59 PHA bins.
    # Reduced chi-squared =          1.390 for     57 degrees of freedom 
    # Null hypothesis probability =   2.731207e-02
     
    Photon flux (15-150 keV)    in 83.5 sec: 3.90401E-02 ( -0.0125265  0.0126071 ) ph/cm2/s
    Energy fluence (15-150 keV)             : 2.64476e-07 ( -9.27184e-08  9.66396e-08 ) ergs/cm2
     
    
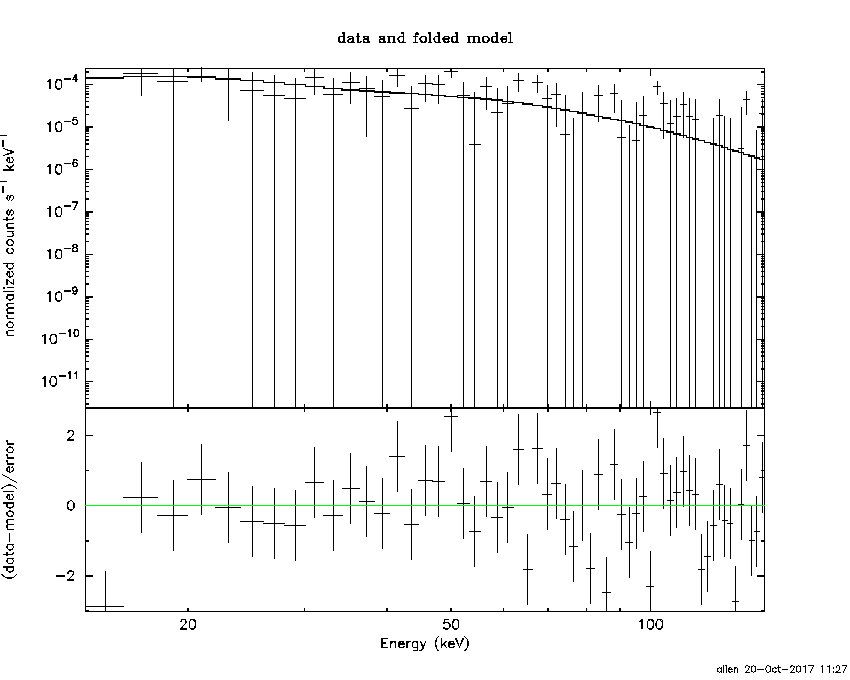
    Cutoff power-law model
    Time interval is from   -0.156 sec. to   83.348 sec.
    Spectral model in the cutoff power-law:
    ------------------------------------------------------------
    Parameters  : value       lower 90%   higher 90%
    Photon index: -3.25996     ( 3.51879   3.89855 )
    Epeak [keV] : 52.7195      ( -10.2908 31.7793 )
    Norm@50keV  : 8.02692E-02    ( -0.0772621   219.17 )
    ------------------------------------------------------------
    #Fit statistic : Chi-Squared =          73.27 using 59 PHA bins.
    # Reduced chi-squared =          1.308 for     56 degrees of freedom 
    # Null hypothesis probability =   6.053977e-02
     
    Photon flux (15-150 keV)    in 83.5 sec: 3.45320E-02 ( -0.0125957  0.0128289 ) ph/cm2/s
    Energy fluence (15-150 keV)             : 2.04558e-07 ( -7.23111e-08  9.36478e-08 ) ergs/cm2
     
    
    Band function
    Time interval is from   -0.156 sec. to   83.348 sec.
     
     
    Spectral model in the Band function:
    ------------------------------------------------------------
    Parameters  : value       lower 90%   higher 90%
    alpha       :    (     )
    beta        :     (     )
    Epeak [keV] :       (   )
    Norm@50keV   :     (     )
    ------------------------------------------------------------
     
    Photon flux (15-150 keV)    in  sec:  (    ) ph/cm2/s
    Energy fluence (15-150 keV)             : 0 ( 0  0 ) ergs/cm2
     
    
    Single BB
     
    Spectral model blackbody:
    ------------------------------------------------------------
    Parameters  : value    Lower 90%  Upper 90%
    kT [keV]    : 14.4846  (-3.42384  4.97667)
    R^2/D10^2   : 5.80969E-03  (-0.0058097   0.00908725)
    (R is the radius in km and D10 is the distance to the source in units of 10 kpc)
    ------------------------------------------------------------
    #Fit statistic : Chi-Squared =          73.62 using 59 PHA bins.
    # Reduced chi-squared =          1.292 for     57 degrees of freedom 
    # Null hypothesis probability =   6.838404e-02
     
    Energy  Fluence     90% Error
    [keV]   [erg/cm2]   [erg/cm2]
    15- 25  2.142e-08   1.333e-08
    25- 50  8.235e-08   4.910e-08
    50-150  1.157e-07   7.519e-08
    15-150  2.195e-07   1.245e-07
    
    Thermal bremsstrahlung (OTTB)
     
     
    Spectral model: thermal bremsstrahlung
    ------------------------------------------------------------
    Parameters  : value         Lower 90%    Upper 90%
    kT [keV]    : 199.361       (-199.363      -199.363)
    Norm        : 0.162822       (-0.051537     0.051574)
    ------------------------------------------------------------
    #Fit statistic : Chi-Squared =          78.60 using 59 PHA bins.
    # Reduced chi-squared =          1.379 for     57 degrees of freedom 
    # Null hypothesis probability =   3.053922e-02
     
    Energy  Fluence     90% Error
    [keV]   [erg/cm2]   [erg/cm2]
    15- 25  3.385e-08   2.211e-08
    25- 50  6.512e-08   4.005e-08
    50-150  1.428e-07   8.663e-08
    15-150  2.418e-07   1.481e-07
    
    Double BB
     
     
    Spectral model: bbodyrad<1> + bbodyrad<2>
    ------------------------------------------------------------
    Parameters  : value         Lower 90%    Upper 90%
    kT1 [keV]   : 14.4359        (-14.4767      -14.4767)
    R1^2/D10^2  : 3.81307E-04        (-0.000383676      -0.000383676)
    kT2 [keV]   : 14.4937        (-14.486      -14.486)
    R2^2/D10^2  : 5.42060E-03    (-0.0054247   -0.0054247)
    ------------------------------------------------------------
    #Fit statistic : Chi-Squared =          73.62 using 59 PHA bins.
    # Reduced chi-squared =          1.339 for     55 degrees of freedom 
    # Null hypothesis probability =   4.753850e-02
     
    Energy  Fluence     90% Error
    [keV]   [erg/cm2]   [erg/cm2]
    15- 25  2.140e-08   1.716e+00
    25- 50  8.232e-08   1.598e+01
    50-150  1.158e-07   3.327e+02
    15-150  2.195e-07   3.627e+02
    

    Peak spectrum fit

    Power-law model
    Time interval is from    0.452 sec. to    1.452 sec.
     
    Spectral model in power-law:
    ------------------------------------------------------------
    Parameters  : value       lower 90%   higher 90%
    Photon index: 0.926946     ( -0.397051   0.367905 )
    Norm@50keV  : 4.79374E-03    ( -0.00104575   0.001037 )
    ------------------------------------------------------------
    #Fit statistic : Chi-Squared =          65.79 using 59 PHA bins.
    # Reduced chi-squared =          1.154 for     57 degrees of freedom 
    # Null hypothesis probability =   1.987962e-01
     
    Photon flux (15-150 keV)    in 1 sec: 0.550424 ( -0.11999  0.120498 ) ph/cm2/s
    Energy fluence (15-150 keV)             : 5.32513e-08 ( -1.24062e-08  1.25948e-08 ) ergs/cm2
     
    
    Cutoff power-law model
    Time interval is from    0.452 sec. to    1.452 sec.
    Spectral model in the cutoff power-law:
    ------------------------------------------------------------
    Parameters  : value       lower 90%   higher 90%
    Photon index: 0.290651     ( -2.26028   0.966731 )
    Epeak [keV] : 148.928      ( -148.954 -148.954 )
    Norm@50keV  : 9.38672E-03    ( -0.00547917   0.0769161 )
    ------------------------------------------------------------
    #Fit statistic : Chi-Squared =          65.32 using 59 PHA bins.
    # Reduced chi-squared =          1.166 for     56 degrees of freedom 
    # Null hypothesis probability =   1.845628e-01
     
    Photon flux (15-150 keV)    in 1 sec: 0.535788 ( -0.127259  0.125835 ) ph/cm2/s
    Energy fluence (15-150 keV)             : 5.09988e-08 ( -1.40806e-08  1.37706e-08 ) ergs/cm2
     
    
    Band function
    Time interval is from    0.452 sec. to    1.452 sec.
     
     
    Spectral model in the Band function:
    ------------------------------------------------------------
    Parameters  : value       lower 90%   higher 90%
    alpha       :    (     )
    beta        :     (     )
    Epeak [keV] :       (   )
    Norm@50keV   :     (     )
    ------------------------------------------------------------
     
    Photon flux (15-150 keV)    in  sec:  (    ) ph/cm2/s
    Energy fluence (15-150 keV)             : 0 ( 0  0 ) ergs/cm2
     
    
    Single BB
     
    Spectral model blackbody:
    ------------------------------------------------------------
    Parameters  : value    Lower 90%  Upper 90%
    kT [keV]    : 21.5090  (-5.18976  8.24363)
    R^2/D10^2   : 2.14792E-02  (-0.0135329   0.0301984)
    (R is the radius in km and D10 is the distance to the source in units of 10 kpc)
    ------------------------------------------------------------
    #Fit statistic : Chi-Squared =          67.04 using 59 PHA bins.
    # Reduced chi-squared =          1.176 for     57 degrees of freedom 
    # Null hypothesis probability =   1.706358e-01
     
    Energy  Fluence     90% Error
    [keV]   [erg/cm2]   [erg/cm2]
    15- 25  1.858e-09   8.612e-10
    25- 50  9.692e-09   4.132e-09
    50-150  3.347e-08   1.597e-08
    15-150  4.502e-08   2.016e-08
    
    Thermal bremsstrahlung (OTTB)
     
     
    Spectral model: thermal bremsstrahlung
    ------------------------------------------------------------
    Parameters  : value         Lower 90%    Upper 90%
    kT [keV]    : 200.000       (-63.5264      -200)
    Norm        : 2.19148       (-0.496992     0.496992)
    ------------------------------------------------------------
    #Fit statistic : Chi-Squared =          72.84 using 59 PHA bins.
    # Reduced chi-squared =          1.278 for     57 degrees of freedom 
    # Null hypothesis probability =   7.694910e-02
     
    Energy  Fluence     90% Error
    [keV]   [erg/cm2]   [erg/cm2]
    15- 25  5.459e-09   3.223e-09
    25- 50  1.050e-08   6.290e-09
    50-150  2.303e-08   1.369e-08
    15-150  3.899e-08   2.315e-08
    
    Double BB
    ------------------------------------------------------------
    #Fit statistic : Chi-Squared =          65.36 using 59 PHA bins.
    #Fit statistic : Chi-Squared =          65.34 using 59 PHA bins.
    #Fit statistic : Chi-Squared =          65.24 using 59 PHA bins.
    #Fit statistic : Chi-Squared =          65.16 using 59 PHA bins.
    # Reduced chi-squared =          1.188 for     55 degrees of freedom 
    # Reduced chi-squared =          1.188 for     55 degrees of freedom 
    # Reduced chi-squared =          1.186 for     55 degrees of freedom 
    # Reduced chi-squared =          1.185 for     55 degrees of freedom 
    # Null hypothesis probability =   1.599824e-01
    # Null hypothesis probability =   1.603465e-01
    # Null hypothesis probability =   1.624899e-01
    # Null hypothesis probability =   1.641741e-01
     
    Energy  Fluence     90% Error
    [keV]   [erg/cm2]   [erg/cm2]
    15- 25  3.023e-09   1.987e-09
    25- 50  9.947e-09   5.605e-09
    50-150  3.705e-08   2.168e-08
    15-150  5.002e-08   2.761e-08
    

    Pre-slew spectrum (Pre-slew PHA with pre-slew DRM)

    Power-law model
     
    Spectral model in power-law:
    ------------------------------------------------------------
    Parameters  : value       lower 90%   higher 90%
    Photon index: 1.11678     ( -0.583198   0.548722 )
    Norm@50keV  : 5.42001E-04    ( -0.000186803   0.000186749 )
    ------------------------------------------------------------
    #Fit statistic : Chi-Squared =          67.52 using 59 PHA bins.
    # Reduced chi-squared =          1.185 for     57 degrees of freedom 
    # Null hypothesis probability =   1.605488e-01
     
    Photon flux (15-150 keV)    in 26.58 sec: 6.29703E-02 ( -0.0220042  0.0221768 ) ph/cm2/s
    Energy fluence (15-150 keV)             : 1.49868e-07 ( -5.55025e-08  5.73131e-08 ) ergs/cm2
     
    
    Cutoff power-law model
    Spectral model in the cutoff power-law:
    ------------------------------------------------------------
    Parameters  : value       lower 90%   higher 90%
    Photon index: -1.02479     ( -6.84322   2.34976 )
    Epeak [keV] : 72.9927      ( -21.5378 -72.9888 )
    Norm@50keV  : 5.84170E-03    ( -0.00584338   12.0719 )
    ------------------------------------------------------------
    #Fit statistic : Chi-Squared =          65.52 using 59 PHA bins.
    # Reduced chi-squared =          1.170 for     56 degrees of freedom 
    # Null hypothesis probability =   1.799431e-01
     
    Photon flux (15-150 keV)    in 26.58 sec: 5.81148E-02 ( -0.0223554  0.0229278 ) ph/cm2/s
    Energy fluence (15-150 keV)             : 1.29511e-07 ( -5.6415e-08  6.31262e-08 ) ergs/cm2
     
    
    Band function
     
     
    Spectral model in the Band function:
    ------------------------------------------------------------
    Parameters  : value       lower 90%   higher 90%
    alpha       :    (     )
    beta        :     (     )
    Epeak [keV] :       (   )
    Norm@50keV   :     (     )
    ------------------------------------------------------------
     
    Photon flux (15-150 keV)    in  sec:  (    ) ph/cm2/s
    Energy fluence (15-150 keV)             : 0 ( 0  0 ) ergs/cm2
     
    

    S(25-50 keV) vs. S(50-100 keV) plot

    S(25-50 keV)  = 6.05e-08
    S(50-100 keV) = 9.52e-08
    

    T90 vs. Hardness ratio plot

    T90                                   = 68.4239999651909 sec.
    Hardness ratio (energy fluence ratio) = 1.57355
    

    Color vs. Color plot

    Count Ratio  (25-50 keV) / (15-25 keV) = 1.9445
    Count Ratio (50-100 keV) / (15-25 keV) = 0.993814
    

    Mask shadow pattern

    IMX = 1.756683852061149E-01, IMY = 2.862029514155098E-02
    

    TIME vs. PHA plot around the trigger time

    Blue+Cyan dotted lines: Time interval of the scaled map
    From 0.000000 to 2.048000
    

    TIME vs. DetID plot around the trigger time

    Blue+Cyan dotted lines: Time interval of the scaled map
    From 0.000000 to 2.048000
    

    100 us light curve (15-350 keV)

    Blue+Cyan dotted lines: Time interval of the scaled map
    From 0.000000 to 2.048000
    

    Spacecraft aspect plot

    Bright source in the pre-burst/pre-slew/post-slew images

    Pre-burst image of 15-350 keV band

    Time interval of the image:
    -239.080000 -0.156000
     
    # RAcent  DECcent POSerr Theta    Phi  PeakCts   SNR AngSep     Name
    #  [deg]    [deg]    ['] [deg]  [deg]                   [']
     99.6957  28.7271    2.4  37.6   41.9   1.6797   4.7 ------	UNKNOWN                       
    110.9178   1.9867    3.1  55.9   10.7   4.0334   3.7 ------	UNKNOWN                       
    278.6078  66.5603    2.5  56.8  173.9   5.2825   4.6 ------	UNKNOWN                       
    125.2458  48.7833    2.4   9.6   47.1   0.8648   4.8 ------	UNKNOWN                       
    222.4781  53.5155    2.5  47.0 -150.3   2.1715   4.7 ------	UNKNOWN                       
    150.9208   3.1208    3.0  50.6  -39.4   3.3309   3.9 ------	UNKNOWN                       
    

    Pre-slew background subtracted image of 15-350 keV band

    Time interval of the image:
    -0.156000 26.420600
     
    # RAcent  DECcent POSerr Theta    Phi  PeakCts   SNR AngSep     Name
    #  [deg]    [deg]    ['] [deg]  [deg]                   [']
    

    Post-slew image of 15-350 keV band

    Time interval of the image:
    57.820610 963.038900
    1833.920000 2000.000000
     
    # RAcent  DECcent POSerr Theta    Phi  PeakCts   SNR AngSep     Name
    #  [deg]    [deg]    ['] [deg]  [deg]                   [']
    110.6163   9.4892    3.1  39.8   13.4   3.3594   3.7 ------	UNKNOWN                       
    117.7987  17.0442    3.2  29.9    8.7   2.2865   3.7 ------	UNKNOWN                       
    210.5680  64.2392    2.6  46.0 -171.4   5.6770   4.3 ------	UNKNOWN                       
    187.2502  29.5535    2.9  43.1 -116.7  10.5512   3.9 ------	UNKNOWN                       
    152.4612  -3.0090    2.5  48.3  -50.0  14.6864   4.7 ------	UNKNOWN                       
    
    Plot creation:
    Fri Oct 20 11:28:44 EDT 2017