batgrbproduct analysis for trigger=889443

batgrbproduct Analysis for Trigger=889443

Analysis Summary

Notes:

======================================================================
                  BAT GRB EVENT DATA PROCESSING REPORT
    Process Script Ver: batgrbproduct v2.46
    Process Start Time (local time): Mon Feb 18 20:32:58 EST 2019
             Host Name: bat1
   Current Working Dir: /local/data/bat1/prebascript/trigger889443/GCN5_download_cron
======================================================================

  Trigger: 00889443      Segment: 000

  BAT Trigger Time: 572139264   [s; MET]
      Trigger Stop: 572139328   [s; MET]
               UTC: 2019-02-17T23:34:01.564880    [includes UTCF correction] 
       Where From?: TDRSS position message

  BAT 
    RA: 299.811509908117   Dec: 35.084398485743  [deg; J2000]

     Catalogged Source?: NO
     Point Source?:      YES
     GRB Indicated?:     YES    [ by BAT flight software ]
     Image S/N Ratio:    8.19
     Image Trigger?:     YES
     Rate S/N Ratio:     0  [ if not an image trigger ]
     Image S/N Ratio:    8.19

  Flight Position:   [ source = BAT ]
    RA: 299.811509908117   Dec: 35.084398485743  [deg; J2000]

  Ground Position:   [ source = BAT pre-slew burst ]
    RA: 299.710416895183   Dec: 35.1411305584615  [deg; J2000]  
        { 19h 58m 50.5s , +35d 08' 28.1" }
         +/- 1.21521504173327 [arcmin] (estimated 90% radius based on SNR)
         +/- 0.382408379636345 [arcmin] (formal 1-sigma fit error)
    SNR: 23.0242412835006
 
  Angular difference between Flight and Ground position is 6.017135 arcmin
 
  Partial Coding Fraction: 1    [ including projection effects ]

  Duration
     T90: 197.503999948502 +/- 29.7686240801893
        Measured from: -78.9799998998642
                   to: 118.524000048637     [s; relative to TRIGTIME]
     T50: 98.3639998435974 +/- 14.8436027856423
        Measured from: -36.827999830246
                   to: 61.5360000133514     [s; relative to TRIGTIME]



  Fluence
     Peak Flux  (peak 1 second)
        Measured from: -91.3639999628067     
                   to: -90.3639999628067     [s; relative to TRIGTIME]
     Total Fluence        
        Measured from: -92.0160000324249     
                   to: 145.620000004768     [s; relative to TRIGTIME]
     
             Band 1     Band 2     Band 3     Band 4
              15-25      25-50     50-100    100-350     keV
 Total     1.867103   2.435636   1.421965   0.069597
           0.119483   0.121751   0.106466   0.097758 [error]
 Peak      0.054880   0.004154   0.016526   0.002260
           0.014579   0.013324   0.012373   0.010421 [error]

     [ fluence units of on-axis counts / fully illuminated detector ] 

======================================================================
 
=== Fluence/Peak Flux Summary ===
 
              Model    Band1    Band2    Band3    Band4    Band5    Total      
                       15-25    25-50   50-100  100-350   15-150   15-350   keV
Fluence   Power-law 5.75e-07 9.11e-07 1.09e-06 2.52e-06 3.30e-06 5.09e-06   erg/cm2
              Error 5.56e-08 5.59e-08 1.02e-07 4.87e-07 2.36e-07 5.80e-07   erg/cm2
Peak flux Power-law 3.82e-01 1.60e-01 3.94e-02 1.19e-02 5.88e-01 5.93e-01   ph/cm2/s
              Error 2.91e-01 1.21e-01 6.69e-02 5.68e-02 3.02e-01 3.11e-01   ph/cm2/s
 
Fluence   Cutoff-PL 5.18e-07 9.88e-07 1.08e-06 7.88e-07 3.05e-06 3.38e-06   erg/cm2
              Error 6.54e-08 7.34e-08 1.14e-07 5.50e-07 2.72e-07 6.14e-07   erg/cm2
Peak flux Cutoff-PL 3.86e-01 1.54e-01 3.60e-02 1.01e-02 5.83e-01 5.90e-01   ph/cm2/s
              Error 1.98e-01 1.33e-01 6.69e-02 5.64e-02 3.01e-01 3.05e-01   ph/cm2/s
 
Fluence        Band 5.14e-07 9.82e-07 1.08e-06 8.79e-07 3.06e-06 3.49e-06   erg/cm2
              Error 6.16e-08 -------- 1.08e-07 -------- -------- --------   erg/cm2
Peak flux      Band 9.04e-02 8.17e-02 4.29e-02 1.88e-02 2.27e-01 2.34e-01   ph/cm2/s
              Error -------- -------- -------- -------- -------- --------   ph/cm2/s
 
=== Time-averaged spectral analysis ===
 
Model Ph_index Ph_90err Epeak  Epeak_90err Norm     Nomr_90err chi2   dof
PL    1.746    0.113    -      -           1.51e-03 1.03e-04   63.030 57
CPL   0.950    0.517      59.7   17.6      4.05e-03 2.86e-03   54.640 56
 
 
=== 1-s peak spectral analysis ===
 
Model Ph_index Ph_90err Epeak  Epeak_90err Norm     Nomr_90err chi2   dof
PL    3.019    1.762    -      -           2.11e-03 2.63e-03   55.190 57
CPL  -9.869    1.031      18.9    4.4      1.19e+08 1.92e+09   54.370 56
 
Model      : spectral model: simple power-law (PL) and cutoff power-law (CPL)
Ph_index   : photon index: E^-{Ph_index} (minus sign is not included in the index)
Ph_90err   : 90% error of the photon index
Epeak      : Epeak in keV
Epeak_90err: 90% error of Epeak
Norm       : normalization at 50 keV in PL model and at 1 keV in CPL model
Nomr_90err : 90% error of the normalization
chi2       : Chi-Squared
dof        : degree of freedom
 
=== T90/T50 calculation in the 50-300 keV band (BATSE band) using 64 ms lc ===
 
T90 in the 50-300 keV band: 0.000000 sec.
T50 in the 50-300 keV band: 0.000000 sec.
 
=== Table of the duration information ==
 
        Value   tstart    tstop
T100  237.636  -92.016  145.620
T90   197.504  -78.980  118.524
T50    98.364  -36.828   61.536
Peak    1.000  -91.364  -90.364
  • Click here for the BAT GCN circular template
  • Estimated redshift from machine learning (Ukwatta et al. 2016) - may take a few minutes to calcaulte

    Image

    Pre-slew 15-350 keV image (Event data; bkg subtracted)

    #   RAcent  DECcent POSerr  Theta    Phi     Peak Cts     SNR  Name
      299.7104 +35.1411 0.0083    9.1   -5.4       3.0392    23.0  TRIG_00889443       
    ------------------------------------------
     
    Foreground time interval of the image:
    -16.599  71.001 (delta_t =  87.600 [sec])
    Background time interval of the image:
    

    Lightcurves

    Notes:

    1 s binning

    From T0-310 s to T0+310 s
    From T100_start - 20 s to T100_end + 30 s
    Full time interval

    64 ms binning

    Full time interval
    From T100_start to T100_end
    From T0-5 sec to T0+5 sec

    16 ms binning

    From T100_start-5 s to T100_start+5 s
    Blue+Cyan dotted lines: Time interval of the scaled map
    From 0.000000 to 64.000000
    

    8 ms binning

    From T100_start-3 s to T100_start+3 s
    Blue+Cyan dotted lines: Time interval of the scaled map
    From 0.000000 to 64.000000
    

    2 ms binning

    From T100_start-1 s to T100_start+1 s
    Blue+Cyan dotted lines: Time interval of the scaled map
    From 0.000000 to 64.000000
    

    SN=5 or 10 sec. binning (whichever binning is satisfied first)

    SN=5 or 10 sec. binning (T < 200 sec)

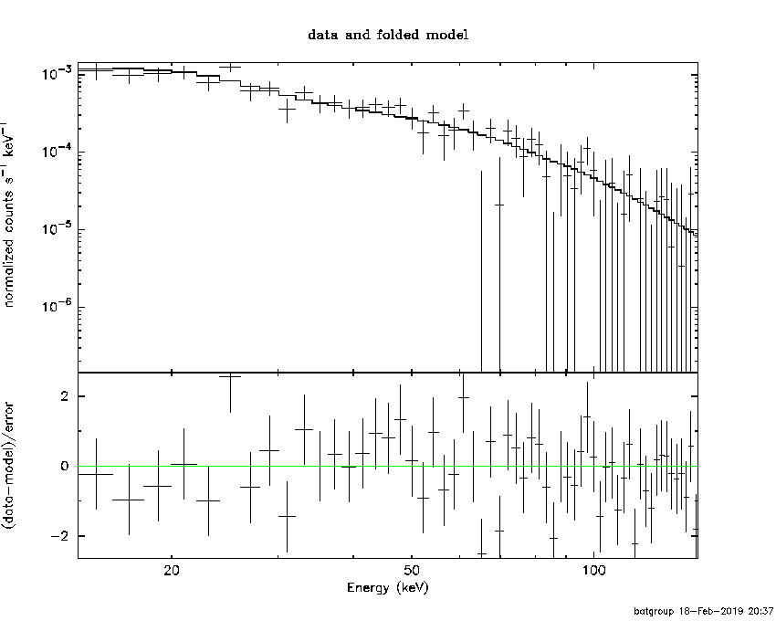
    Spectra

    Notes:

    Time averaged spectrum fit using the pre-slew DRM

    Power-law model
    Time interval is from  -92.016 sec. to  145.620 sec.
     
    Spectral model in power-law:
    ------------------------------------------------------------
    Parameters  : value       lower 90%   higher 90%
    Photon index: 1.74554     ( -0.111529   0.11361 )
    Norm@50keV  : 1.50595E-03    ( -0.000103424   0.000102497 )
    ------------------------------------------------------------
    #Fit statistic : Chi-Squared =          63.03 using 59 PHA bins.
    # Reduced chi-squared =          1.106 for     57 degrees of freedom 
    # Null hypothesis probability =   2.715407e-01
     
    Photon flux (15-150 keV)    in 237.6 sec: 0.203296 ( -0.01257  0.0125799 ) ph/cm2/s
    Energy fluence (15-150 keV)             : 3.30254e-06 ( -2.35081e-07  2.37705e-07 ) ergs/cm2
     
    
    Cutoff power-law model
    Time interval is from  -92.016 sec. to  145.620 sec.
    Spectral model in the cutoff power-law:
    ------------------------------------------------------------
    Parameters  : value       lower 90%   higher 90%
    Photon index: 0.950105     ( -0.548975   0.485429 )
    Epeak [keV] : 59.7271      ( -9.6297 25.5469 )
    Norm@50keV  : 4.04762E-03    ( -0.00180473   0.00390535 )
    ------------------------------------------------------------
    #Fit statistic : Chi-Squared =          54.64 using 59 PHA bins.
    # Reduced chi-squared =         0.9757 for     56 degrees of freedom 
    # Null hypothesis probability =   5.265469e-01
     
    Photon flux (15-150 keV)    in 237.6 sec: 0.195006 ( -0.013442  0.013451 ) ph/cm2/s
    Energy fluence (15-150 keV)             : 3.05076e-06 ( -2.67989e-07  2.75925e-07 ) ergs/cm2
     
    
    Band function
    Time interval is from  -92.016 sec. to  145.620 sec.
     
    Spectral model in the Band function:
    ------------------------------------------------------------
    Parameters  : value       lower 90%   higher 90%
    alpha       : -0.950039   ( -0.364113   0.696644 )
    beta        : -10.0000    ( 10   1.77636e-15 )
    Epeak [keV] : 59.7152      ( -9.63303 25.5439 )
    Norm@50keV   : 4.04771E-03    ( -0.00180473   0.00390757 )
    ------------------------------------------------------------
    #Fit statistic : Chi-Squared =          54.64 using 59 PHA bins.
    # Reduced chi-squared =         0.9934 for     55 degrees of freedom 
    # Null hypothesis probability =   4.884075e-01
     
    Photon flux (15-150 keV)    in 237.6 sec: 0.196310 (    ) ph/cm2/s
    Energy fluence (15-150 keV)             : 3.06007e-06 ( 0  0 ) ergs/cm2
     
    
    Single BB
     
    Spectral model blackbody:
    ------------------------------------------------------------
    Parameters  : value    Lower 90%  Upper 90%
    kT [keV]    : 12.1524  (-0.86702  0.944882)
    R^2/D10^2   : 4.65646E-02  (-0.011239   0.0146639)
    (R is the radius in km and D10 is the distance to the source in units of 10 kpc)
    ------------------------------------------------------------
    #Fit statistic : Chi-Squared =          90.89 using 59 PHA bins.
    # Reduced chi-squared =          1.595 for     57 degrees of freedom 
    # Null hypothesis probability =   2.886921e-03
     
    Energy  Fluence     90% Error
    [keV]   [erg/cm2]   [erg/cm2]
    15- 25  3.459e-07   3.635e-08
    25- 50  1.105e-06   8.078e-08
    50-150  9.892e-07   1.428e-07
    15-150  2.440e-06   1.797e-07
    
    Thermal bremsstrahlung (OTTB)
     
     
    Spectral model: thermal bremsstrahlung
    ------------------------------------------------------------
    Parameters  : value         Lower 90%    Upper 90%
    kT [keV]    : 99.8785       (-15.9084      47.4527)
    Norm        : 0.900055       (-0.0934297     0.0673139)
    ------------------------------------------------------------
    #Fit statistic : Chi-Squared =          56.21 using 59 PHA bins.
    # Reduced chi-squared =         0.9862 for     57 degrees of freedom 
    # Null hypothesis probability =   5.046452e-01
     
    Energy  Fluence     90% Error
    [keV]   [erg/cm2]   [erg/cm2]
    15- 25  5.590e-07   5.548e-08
    25- 50  9.663e-07   7.271e-08
    50-150  1.565e-06   4.682e-07
    15-150  3.090e-06   5.346e-07
    
    Double BB
     
     
    Spectral model: bbodyrad<1> + bbodyrad<2>
    ------------------------------------------------------------
    Parameters  : value         Lower 90%    Upper 90%
    kT1 [keV]   : 6.11403        (-1.78713      1.96318)
    R1^2/D10^2  : 0.323466        (-0.183613      0.801924)
    kT2 [keV]   : 18.6818        (-3.47492      6.61117)
    R2^2/D10^2  : 7.31457E-03    (-0.00521133   0.0101528)
    ------------------------------------------------------------
    #Fit statistic : Chi-Squared =          55.93 using 59 PHA bins.
    # Reduced chi-squared =          1.017 for     55 degrees of freedom 
    # Null hypothesis probability =   4.398235e-01
     
    Energy  Fluence     90% Error
    [keV]   [erg/cm2]   [erg/cm2]
    15- 25  5.120e-07   1.950e-07
    25- 50  9.772e-07   2.591e-07
    50-150  1.497e-06   5.332e-07
    15-150  2.986e-06   9.113e-07
    

    Peak spectrum fit

    Power-law model
    Time interval is from  -91.364 sec. to  -90.364 sec.
     
    Spectral model in power-law:
    ------------------------------------------------------------
    Parameters  : value       lower 90%   higher 90%
    Photon index: 3.01853     ( -1.30401   2.22039 )
    Norm@50keV  : 2.11107E-03    ( -0.00211107   0.00315461 )
    ------------------------------------------------------------
    #Fit statistic : Chi-Squared =          55.19 using 59 PHA bins.
    # Reduced chi-squared =         0.9683 for     57 degrees of freedom 
    # Null hypothesis probability =   5.432265e-01
     
    Photon flux (15-150 keV)    in 1 sec: 0.588440 ( -0.29948  0.304912 ) ph/cm2/s
    Energy fluence (15-150 keV)             : 2.55825e-08 ( -1.57187e-08  2.30959e-08 ) ergs/cm2
     
    
    Cutoff power-law model
    Time interval is from  -91.364 sec. to  -90.364 sec.
    Spectral model in the cutoff power-law:
    ------------------------------------------------------------
    Parameters  : value       lower 90%   higher 90%
    Photon index: -9.86866     ( 9.89981   11.9609 )
    Epeak [keV] : 18.8867      ( -4.24808 4.49848 )
    Norm@50keV  : 1.18682E+08    ( -1.40715e+08   3.70583e+09 )
    ------------------------------------------------------------
    #Fit statistic : Chi-Squared =          54.37 using 59 PHA bins.
    # Reduced chi-squared =         0.9709 for     56 degrees of freedom 
    # Null hypothesis probability =   5.367105e-01
     
    Photon flux (15-150 keV)    in 1 sec: 0.582788 ( -0.294497  0.307398 ) ph/cm2/s
    Energy fluence (15-150 keV)             : 4.3843e-16 ( 0  0 ) ergs/cm2
     
    
    Band function
    Time interval is from  -91.364 sec. to  -90.364 sec.
     
    Spectral model in the Band function:
    ------------------------------------------------------------
    Parameters  : value       lower 90%   higher 90%
    alpha       : 4.32852   ( 1.76306   1.76306 )
    beta        : -4.79218    ( 3.17773   1.44089 )
    Epeak [keV] : 17.7636      ( -5.71306 -5.71306 )
    Norm@50keV   : 2817.08    ( -2816.57   7.19929e+06 )
    ------------------------------------------------------------
    #Fit statistic : Chi-Squared =          54.66 using 59 PHA bins.
    # Reduced chi-squared =         0.9938 for     55 degrees of freedom 
    # Null hypothesis probability =   4.875245e-01
     
    Photon flux (15-150 keV)    in 1 sec: 0.226692 (    ) ph/cm2/s
    Energy fluence (15-150 keV)             : 1.43875e-08 ( 0  0 ) ergs/cm2
     
    
    Single BB
     
    Spectral model blackbody:
    ------------------------------------------------------------
    Parameters  : value    Lower 90%  Upper 90%
    kT [keV]    : 3.94539  (-1.47722  2.76678)
    R^2/D10^2   : 15.4293  (-15.4351   195.48)
    (R is the radius in km and D10 is the distance to the source in units of 10 kpc)
    ------------------------------------------------------------
    #Fit statistic : Chi-Squared =          55.15 using 59 PHA bins.
    # Reduced chi-squared =         0.9676 for     57 degrees of freedom 
    # Null hypothesis probability =   5.447364e-01
     
    Energy  Fluence     90% Error
    [keV]   [erg/cm2]   [erg/cm2]
    15- 25  1.312e-08   8.075e-09
    25- 50  4.555e-09   3.328e-09
    50-150  5.093e-11   7.535e-11
    15-150  1.773e-08   1.110e-08
    
    Thermal bremsstrahlung (OTTB)
     
     
    Spectral model: thermal bremsstrahlung
    ------------------------------------------------------------
    Parameters  : value         Lower 90%    Upper 90%
    kT [keV]    : 12.2329       (-7.75995      91.1818)
    Norm        : 13.1688       (-13.1644     118.481)
    ------------------------------------------------------------
    #Fit statistic : Chi-Squared =          55.45 using 59 PHA bins.
    # Reduced chi-squared =         0.9729 for     57 degrees of freedom 
    # Null hypothesis probability =   5.332446e-01
     
    Energy  Fluence     90% Error
    [keV]   [erg/cm2]   [erg/cm2]
    15- 25  1.219e-08   7.450e-09
    25- 50  6.740e-09   4.906e-09
    50-150  7.687e-10   8.750e-10
    15-150  1.970e-08   1.278e-08
    
    Double BB
     
     
    Spectral model: bbodyrad<1> + bbodyrad<2>
    ------------------------------------------------------------
    Parameters  : value         Lower 90%    Upper 90%
    kT1 [keV]   : 3.68878        (-3.64498      2.45014)
    R1^2/D10^2  : 20.0863        (-20.6038      551.638)
    kT2 [keV]   : 25.6547        (-25.3625      -25.3625)
    R2^2/D10^2  : 4.48504E-03    (-0.00462541   -0.00462541)
    ------------------------------------------------------------
    #Fit statistic : Chi-Squared =          53.92 using 59 PHA bins.
    # Reduced chi-squared =         0.9803 for     55 degrees of freedom 
    # Null hypothesis probability =   5.160721e-01
     
    Energy  Fluence     90% Error
    [keV]   [erg/cm2]   [erg/cm2]
    15- 25  1.267e-08   8.305e-09
    25- 50  6.371e-09   3.450e-09
    50-150  1.415e-08   1.114e-08
    15-150  3.320e-08   1.982e-08
    

    Pre-slew spectrum (Pre-slew PHA with pre-slew DRM)

    Power-law model
     
    Spectral model in power-law:
    ------------------------------------------------------------
    Parameters  : value       lower 90%   higher 90%
    Photon index: 1.85512     ( -0.144116   0.149062 )
    Norm@50keV  : 1.70344E-03    ( -0.000161684   0.000159234 )
    ------------------------------------------------------------
    #Fit statistic : Chi-Squared =          57.81 using 59 PHA bins.
    # Reduced chi-squared =          1.014 for     57 degrees of freedom 
    # Null hypothesis probability =   4.450773e-01
     
    Photon flux (15-150 keV)    in 87.6 sec: 0.239936 ( -0.0187847  0.0187893 ) ph/cm2/s
    Energy fluence (15-150 keV)             : 1.37197e-06 ( -1.29254e-07  1.31541e-07 ) ergs/cm2
     
    
    Cutoff power-law model
    Spectral model in the cutoff power-law:
    ------------------------------------------------------------
    Parameters  : value       lower 90%   higher 90%
    Photon index: 1.10741     ( -0.711706   0.606862 )
    Epeak [keV] : 51.2353      ( -10.2528 38.774 )
    Norm@50keV  : 4.49291E-03    ( -0.00241065   0.00678187 )
    ------------------------------------------------------------
    #Fit statistic : Chi-Squared =          53.24 using 59 PHA bins.
    # Reduced chi-squared =         0.9507 for     56 degrees of freedom 
    # Null hypothesis probability =   5.800397e-01
     
    Photon flux (15-150 keV)    in 87.6 sec: 0.231879 ( -0.019762  0.019786 ) ph/cm2/s
    Energy fluence (15-150 keV)             : 1.26771e-06 ( -1.45171e-07  1.52722e-07 ) ergs/cm2
     
    
    Band function
     
    Spectral model in the Band function:
    ------------------------------------------------------------
    Parameters  : value       lower 90%   higher 90%
    alpha       : -1.10737   ( -0.467106   0.905404 )
    beta        : -10.0000    ( 10   20 )
    Epeak [keV] : 51.2252      ( -10.2315 38.755 )
    Norm@50keV   : 4.49276E-03    ( -0.00251919   0.00679236 )
    ------------------------------------------------------------
    #Fit statistic : Chi-Squared =          53.24 using 59 PHA bins.
    # Reduced chi-squared =         0.9680 for     55 degrees of freedom 
    # Null hypothesis probability =   5.421837e-01
     
    Photon flux (15-150 keV)    in 87.6 sec: 0.233645 (    ) ph/cm2/s
    Energy fluence (15-150 keV)             : 1.26973e-06 ( 0  0 ) ergs/cm2
     
    

    S(25-50 keV) vs. S(50-100 keV) plot

    S(25-50 keV)  = 9.11e-07
    S(50-100 keV) = 1.09e-06
    

    T90 vs. Hardness ratio plot

    T90                                   = 197.503999948502 sec.
    Hardness ratio (energy fluence ratio) = 1.19649
    

    Color vs. Color plot

    Count Ratio  (25-50 keV) / (15-25 keV) = 1.3045
    Count Ratio (50-100 keV) / (15-25 keV) = 0.761589
    

    Mask shadow pattern

    IMX = 1.595078730756845E-01, IMY = 1.494283711746114E-02
    

    TIME vs. PHA plot around the trigger time

    Blue+Cyan dotted lines: Time interval of the scaled map
    From 0.000000 to 64.000000
    

    TIME vs. DetID plot around the trigger time

    Blue+Cyan dotted lines: Time interval of the scaled map
    From 0.000000 to 64.000000
    

    100 us light curve (15-350 keV)

    Blue+Cyan dotted lines: Time interval of the scaled map
    From 0.000000 to 64.000000
    

    Spacecraft aspect plot

    Bright source in the pre-burst/pre-slew/post-slew images

    Pre-burst image of 15-350 keV band

    Time interval of the image:
     
    

    Pre-slew background subtracted image of 15-350 keV band

    Time interval of the image:
    -16.599400 71.000590
     
    # RAcent  DECcent POSerr Theta    Phi  PeakCts   SNR AngSep     Name
    #  [deg]    [deg]    ['] [deg]  [deg]                   [']
    254.3327  35.4784  309.8  41.8   45.9  -0.0150  -0.0   10.2	Her X-1                       
    268.2414  -1.4678    9.2  56.1   -3.6  -0.6508  -1.3    7.6	SW J1753.5-0127               
    288.9337  10.9960    5.8  34.8  -19.7   0.3776   2.0    8.5	GRS 1915+105                  
    299.7104  35.1411    0.5   9.1   -5.4   3.0390  23.0    6.9	Cyg X-1                       
    308.0305  40.7803    8.9   0.7  -51.5  -0.1833  -1.3   11.0	Cyg X-3                       
    325.9451  38.3596    7.1  14.0 -137.2   0.2392   1.6   10.9	Cyg X-2                       
     30.0719  75.2330    2.9  48.2  145.7   2.2616   4.0 ------	UNKNOWN                       
     34.3156  64.0989    2.4  51.9  159.6   2.6007   4.7 ------	UNKNOWN                       
      0.0587  27.1689    2.6  44.5 -142.4   1.4640   4.4 ------	UNKNOWN                       
      2.6854  20.0003    2.2  50.6 -136.4   3.7982   5.2 ------	UNKNOWN                       
    318.5993   0.2291    2.2  42.3  -69.8   3.2205   5.1 ------	UNKNOWN                       
    

    Post-slew image of 15-350 keV band

    Time interval of the image:
    101.200600 368.563400
    370.000000 963.081500
     
    # RAcent  DECcent POSerr Theta    Phi  PeakCts   SNR AngSep     Name
    #  [deg]    [deg]    ['] [deg]  [deg]                   [']
    254.2544  35.2874    0.0  36.8   52.2  -4.0478  -2.2   10.5	Her X-1                       
    268.2954  -1.4729    3.7  46.9   -6.2  -4.5464  -3.1    4.5	SW J1753.5-0127               
    273.9964 -14.0173    4.7  54.9  -20.7   5.6044   2.5    1.3	GX 17+2                       
    288.8164  10.9822    1.9  26.1  -26.8   5.3063   6.2    2.4	GRS 1915+105                  
    299.5898  35.2070    0.3   0.1   79.9  30.1212  40.0    0.3	Cyg X-1                       
    308.1536  40.9459    7.0   8.8  174.8   1.3564   1.6    2.0	Cyg X-3                       
    325.9333  38.3935    0.0  21.2 -158.2   0.5351   0.6   12.0	Cyg X-2                       
    313.5920  61.5864    2.4  27.9  142.5   5.2129   4.8 ------	UNKNOWN                       
    308.4472  46.0832    3.3  12.8  156.9   2.3712   3.5 ------	UNKNOWN                       
    283.0839  17.5717    3.0  22.9   -7.3   3.0790   3.9 ------	UNKNOWN                       
    265.0134 -11.8416    3.0  57.3  -10.2  13.0518   3.9 ------	UNKNOWN                       
    285.8505   3.2277    2.2  34.4  -26.6   5.3872   5.2 ------	UNKNOWN                       
    269.4080 -16.9780    2.6  59.5  -17.6  20.6122   4.4 ------	UNKNOWN                       
    
    Plot creation:
    Mon Feb 18 20:37:36 EST 2019