batgrbproduct analysis for trigger=894557

batgrbproduct Analysis for Trigger=894557

Analysis Summary

Notes:

======================================================================
                  BAT GRB EVENT DATA PROCESSING REPORT
    Process Script Ver: batgrbproduct v2.46
    Process Start Time (local time): Sun Mar 24 18:44:18 EDT 2019
             Host Name: bat1
   Current Working Dir: /local/data/bat1/prebascript/trigger894557/GCN5_download_cron
======================================================================

  Trigger: 00894557      Segment: 000

  BAT Trigger Time: 575065869.824   [s; MET]
      Trigger Stop: 575065869.952   [s; MET]
               UTC: 2019-03-23T20:30:47.204380    [includes UTCF correction] 
       Where From?: TDRSS position message

  BAT 
    RA: 40.1528246982427   Dec: 61.245816597833  [deg; J2000]

     Catalogged Source?: NO
     Point Source?:      YES
     GRB Indicated?:     YES    [ by BAT flight software ]
     Image S/N Ratio:    7.26
     Image Trigger?:     NO
     Rate S/N Ratio:     11.13552872566  [ if not an image trigger ]
     Image S/N Ratio:    7.26

  Flight Position:   [ source = BAT ]
    RA: 40.1528246982427   Dec: 61.245816597833  [deg; J2000]

  Ground Position:   [ source = BAT pre-slew burst ]
    RA: 40.1392757265374   Dec: 61.220942845234  [deg; J2000]  
        { 02h 40m 33.4s , +61d 13' 15.4" }
         +/- 1.77871274244497 [arcmin] (estimated 90% radius based on SNR)
         +/- 0.968343020590824 [arcmin] (formal 1-sigma fit error)
    SNR: 13.3605506165172
 
  Angular difference between Flight and Ground position is 1.542850 arcmin
 
  Partial Coding Fraction: 0.4375    [ including projection effects ]

  Duration
     T90: 16.5639998912811 +/- 1.27769318913387
        Measured from: 0.128000140190125
                   to: 16.6920000314713     [s; relative to TRIGTIME]
     T50: 9.64800000190735 +/- 3.46114666326306
        Measured from: 0.992000102996826
                   to: 10.6400001049042     [s; relative to TRIGTIME]



  Fluence
     Peak Flux  (peak 1 second)
        Measured from: 2.80400002002716     
                   to: 3.80400002002716     [s; relative to TRIGTIME]
     Total Fluence        
        Measured from: -0.567999958992004     
                   to: 17.1280000209808     [s; relative to TRIGTIME]
     
             Band 1     Band 2     Band 3     Band 4
              15-25      25-50     50-100    100-350     keV
 Total     0.574593   0.632683   0.168122  -0.045444
           0.053821   0.055342   0.045511   0.038258 [error]
 Peak      0.159003   0.187983   0.015759   0.005149
           0.015838   0.016699   0.012220   0.009033 [error]

     [ fluence units of on-axis counts / fully illuminated detector ] 

======================================================================
 
=== Fluence/Peak Flux Summary ===
 
              Model    Band1    Band2    Band3    Band4    Band5    Total      
                       15-25    25-50   50-100  100-350   15-150   15-350   keV
Fluence   Power-law 2.26e-07 2.43e-07 1.86e-07 2.33e-07 7.43e-07 8.89e-07   erg/cm2
              Error 3.01e-08 2.82e-08 3.93e-08 9.06e-08 9.59e-08 1.49e-07   erg/cm2
Peak flux Power-law 2.10e+00 1.13e+00 3.79e-01 1.65e-01 3.70e+00 3.78e+00   ph/cm2/s
              Error 3.00e-01 1.44e-01 8.73e-02 6.62e-02 4.39e-01 4.49e-01   ph/cm2/s
 
Fluence   Cutoff-PL 2.02e-07 3.14e-07 1.21e-07 6.32e-09 6.44e-07 6.44e-07   erg/cm2
              Error 3.44e-08 4.23e-08 5.23e-08 1.51e-08 8.47e-08 8.55e-08   erg/cm2
Peak flux Cutoff-PL 1.81e+00 1.64e+00 1.45e-01 2.83e-04 3.60e+00 3.60e+00   ph/cm2/s
              Error 3.56e-01 2.40e-01 9.08e-02 1.76e-03 4.34e-01 4.34e-01   ph/cm2/s
 
Fluence        Band -------- -------- -------- -------- -------- --------   erg/cm2
              Error -------- -------- -------- -------- -------- --------   erg/cm2
Peak flux      Band -------- -------- -------- -------- -------- --------   ph/cm2/s
              Error -------- -------- -------- -------- -------- --------   ph/cm2/s
 
=== Time-averaged spectral analysis ===
 
Model Ph_index Ph_90err Epeak  Epeak_90err Norm     Nomr_90err chi2   dof
PL    2.384    0.203    -      -           4.32e-03 6.81e-04   60.300 57
CPL  -0.241    1.446      30.4    4.9      1.96e-01 1.20e+00   43.730 56
 
The chi2 of BB fit is 45.75 which shows a significant improvement in the fit over a PL.
Check the BB fit.
 
=== 1-s peak spectral analysis ===
 
Model Ph_index Ph_90err Epeak  Epeak_90err Norm     Nomr_90err chi2   dof
PL    2.576    0.221    -      -           1.80e-02 3.24e-03   86.390 57
CPL  -2.081    2.286      28.4    2.9      2.22e+01 9.58e+02   64.560 56
 
Model      : spectral model: simple power-law (PL) and cutoff power-law (CPL)
Ph_index   : photon index: E^-{Ph_index} (minus sign is not included in the index)
Ph_90err   : 90% error of the photon index
Epeak      : Epeak in keV
Epeak_90err: 90% error of Epeak
Norm       : normalization at 50 keV in PL model and at 1 keV in CPL model
Nomr_90err : 90% error of the normalization
chi2       : Chi-Squared
dof        : degree of freedom
 
=== T90/T50 calculation in the 50-300 keV band (BATSE band) using 64 ms lc ===
 
T90 in the 50-300 keV band: 0.000000 sec.
T50 in the 50-300 keV band: 0.000000 sec.
 
=== Table of the duration information ==
 
        Value   tstart    tstop
T100   17.696   -0.568   17.128
T90    16.564    0.128   16.692
T50     9.648    0.992   10.640
Peak    1.000    2.804    3.804
  • Click here for the BAT GCN circular template
  • Estimated redshift from machine learning (Ukwatta et al. 2016) - may take a few minutes to calcaulte

    Image

    Pre-slew 15-350 keV image (Event data; bkg subtracted)

    #   RAcent  DECcent POSerr  Theta    Phi     Peak Cts     SNR  Name
       40.1393 +61.2209 0.0144   40.1 -139.8       0.9516    13.4  TRIG_00894557       
    ------------------------------------------
     
    Foreground time interval of the image:
     -0.568   8.777 (delta_t =   9.345 [sec])
    Background time interval of the image:
    -239.824 -117.685 (delta_t = 122.139 [sec])
    -116.824  -0.568 (delta_t = 116.256 [sec])
    

    Lightcurves

    Notes:

    1 s binning

    From T0-310 s to T0+310 s
    From T100_start - 20 s to T100_end + 30 s
    Full time interval

    64 ms binning

    Full time interval
    From T100_start to T100_end
    From T0-5 sec to T0+5 sec

    16 ms binning

    From T100_start-5 s to T100_start+5 s
    Blue+Cyan dotted lines: Time interval of the scaled map
    From 0.000000 to 0.128000
    

    8 ms binning

    From T100_start-3 s to T100_start+3 s
    Blue+Cyan dotted lines: Time interval of the scaled map
    From 0.000000 to 0.128000
    

    2 ms binning

    From T100_start-1 s to T100_start+1 s
    Blue+Cyan dotted lines: Time interval of the scaled map
    From 0.000000 to 0.128000
    

    SN=5 or 10 sec. binning (whichever binning is satisfied first)

    SN=5 or 10 sec. binning (T < 200 sec)

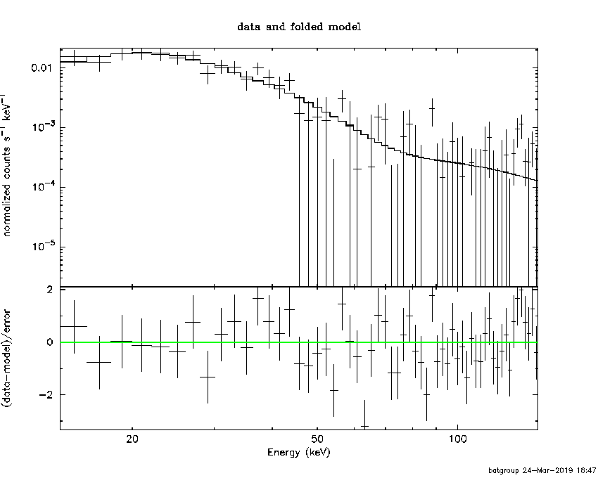
    Spectra

    Notes:

    Time averaged spectrum fit using the pre-slew DRM

    Power-law model
    Time interval is from   -0.568 sec. to   17.128 sec.
     
    Spectral model in power-law:
    ------------------------------------------------------------
    Parameters  : value       lower 90%   higher 90%
    Photon index: 2.38389     ( -0.195306   0.210192 )
    Norm@50keV  : 4.31972E-03    ( -0.000684057   0.00067793 )
    ------------------------------------------------------------
    #Fit statistic : Chi-Squared =          60.30 using 59 PHA bins.
    # Reduced chi-squared =          1.058 for     57 degrees of freedom 
    # Null hypothesis probability =   3.574881e-01
     
    Photon flux (15-150 keV)    in 17.7 sec: 0.791786 ( -0.0857431  0.0857471 ) ph/cm2/s
    Energy fluence (15-150 keV)             : 7.43103e-07 ( -9.47642e-08  9.70399e-08 ) ergs/cm2
     
    
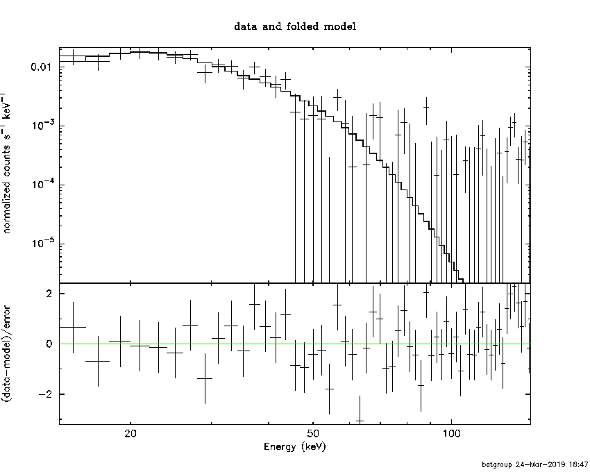
    Cutoff power-law model
    Time interval is from   -0.568 sec. to   17.128 sec.
    Spectral model in the cutoff power-law:
    ------------------------------------------------------------
    Parameters  : value       lower 90%   higher 90%
    Photon index: -0.240813     ( -1.64994   1.24244 )
    Epeak [keV] : 30.4299      ( -5.6185 4.13376 )
    Norm@50keV  : 0.195972    ( -0.208217   2.18785 )
    ------------------------------------------------------------
    #Fit statistic : Chi-Squared =          43.73 using 59 PHA bins.
    # Reduced chi-squared =         0.7810 for     56 degrees of freedom 
    # Null hypothesis probability =   8.834021e-01
     
    Photon flux (15-150 keV)    in 17.7 sec: 0.759386 ( -0.085125  0.08537 ) ph/cm2/s
    Energy fluence (15-150 keV)             : 6.43579e-07 ( -8.13386e-08  8.80911e-08 ) ergs/cm2
     
    
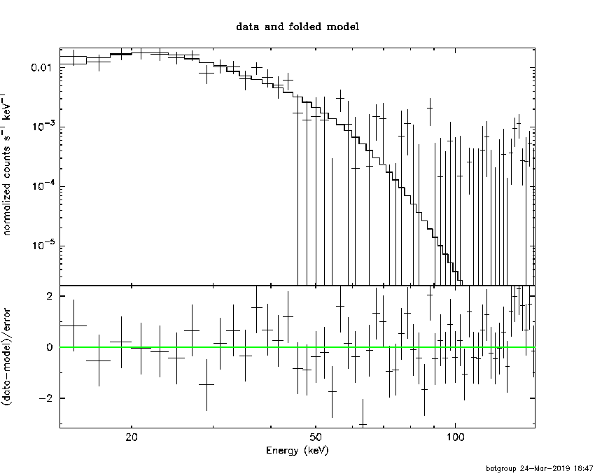
    Band function
    Time interval is from   -0.568 sec. to   17.128 sec.
     
    Spectral model in the Band function:
    ------------------------------------------------------------
    Parameters  : value       lower 90%   higher 90%
    alpha       : 0.350944   ( -1.44545   2.22061 )
    beta        : -9.15965    ( 9.9957   19.9936 )
    Epeak [keV] : 30.5744      ( -3.52348 3.99981 )
    Norm@50keV   : 0.230863    ( -0.230863   11.3821 )
    ------------------------------------------------------------
    #Fit statistic : Chi-Squared =          43.73 using 59 PHA bins.
    # Reduced chi-squared =         0.7952 for     55 degrees of freedom 
    # Null hypothesis probability =   8.627947e-01
     
    Photon flux (15-150 keV)    in 17.7 sec:  (    ) ph/cm2/s
    Energy fluence (15-150 keV)             : 0 ( 0  0 ) ergs/cm2
     
    
    Single BB
     
    Spectral model blackbody:
    ------------------------------------------------------------
    Parameters  : value    Lower 90%  Upper 90%
    kT [keV]    : 8.07815  (-0.797142  0.871415)
    R^2/D10^2   : 0.886558  (-0.304098   0.467992)
    (R is the radius in km and D10 is the distance to the source in units of 10 kpc)
    ------------------------------------------------------------
    #Fit statistic : Chi-Squared =          45.75 using 59 PHA bins.
    # Reduced chi-squared =         0.8027 for     57 degrees of freedom 
    # Null hypothesis probability =   8.572805e-01
     
    Energy  Fluence     90% Error
    [keV]   [erg/cm2]   [erg/cm2]
    15- 25  1.865e-07   3.287e-08
    25- 50  3.319e-07   4.788e-08
    50-150  8.998e-08   2.875e-08
    15-150  6.084e-07   8.558e-08
    
    Thermal bremsstrahlung (OTTB)
     
     
    Spectral model: thermal bremsstrahlung
    ------------------------------------------------------------
    Parameters  : value         Lower 90%    Upper 90%
    kT [keV]    : 35.7727       (-7.33553      9.93279)
    Norm        : 5.68608       (-1.04253     1.29925)
    ------------------------------------------------------------
    #Fit statistic : Chi-Squared =          48.48 using 59 PHA bins.
    # Reduced chi-squared =         0.8506 for     57 degrees of freedom 
    # Null hypothesis probability =   7.817125e-01
     
    Energy  Fluence     90% Error
    [keV]   [erg/cm2]   [erg/cm2]
    15- 25  2.218e-07   3.089e-08
    25- 50  2.774e-07   3.744e-08
    50-150  1.891e-07   6.315e-08
    15-150  6.883e-07   1.003e-07
    
    Double BB
     
     
    Spectral model: bbodyrad<1> + bbodyrad<2>
    ------------------------------------------------------------
    Parameters  : value         Lower 90%    Upper 90%
    kT1 [keV]   : 5.05401        (-5.05401      -5.05401)
    R1^2/D10^2  : 2.30291        (-2.30291      -2.30291)
    kT2 [keV]   : 9.89823        (-9.89823      -9.89823)
    R2^2/D10^2  : 0.282167    (-0.282167   0.8114)
    ------------------------------------------------------------
    #Fit statistic : Chi-Squared =          43.72 using 59 PHA bins.
    # Reduced chi-squared =         0.7948 for     55 degrees of freedom 
    # Null hypothesis probability =   8.632275e-01
     
    Energy  Fluence     90% Error
    [keV]   [erg/cm2]   [erg/cm2]
    15- 25  2.028e-07   1.107e-07
    25- 50  3.127e-07   1.668e-07
    50-150  1.263e-07   6.862e-08
    15-150  6.417e-07   3.384e-07
    

    Peak spectrum fit

    Power-law model
    Time interval is from    2.804 sec. to    3.804 sec.
     
    Spectral model in power-law:
    ------------------------------------------------------------
    Parameters  : value       lower 90%   higher 90%
    Photon index: 2.57583     ( -0.210006   0.231459 )
    Norm@50keV  : 1.79866E-02    ( -0.00325955   0.00321859 )
    ------------------------------------------------------------
    #Fit statistic : Chi-Squared =          86.39 using 59 PHA bins.
    # Reduced chi-squared =          1.516 for     57 degrees of freedom 
    # Null hypothesis probability =   7.236690e-03
     
    Photon flux (15-150 keV)    in 1 sec: 3.70415 ( -0.439224  0.439234 ) ph/cm2/s
    Energy fluence (15-150 keV)             : 1.83782e-07 ( -2.5093e-08  2.5509e-08 ) ergs/cm2
     
    
    Cutoff power-law model
    Time interval is from    2.804 sec. to    3.804 sec.
    Spectral model in the cutoff power-law:
    ------------------------------------------------------------
    Parameters  : value       lower 90%   higher 90%
    Photon index: -2.08114     ( -2.87961   1.69172 )
    Epeak [keV] : 28.4389      ( -3.02422 2.80636 )
    Norm@50keV  : 22.2047    ( -24.1601   1891.56 )
    ------------------------------------------------------------
    #Fit statistic : Chi-Squared =          64.56 using 59 PHA bins.
    # Reduced chi-squared =          1.153 for     56 degrees of freedom 
    # Null hypothesis probability =   2.024488e-01
     
    Photon flux (15-150 keV)    in 1 sec: 3.59666 ( -0.4337  0.43494 ) ph/cm2/s
    Energy fluence (15-150 keV)             : 1.58688e-07 ( -1.9824e-08  2.0556e-08 ) ergs/cm2
     
    
    Band function
    Time interval is from    2.804 sec. to    3.804 sec.
     
    Spectral model in the Band function:
    ------------------------------------------------------------
    Parameters  : value       lower 90%   higher 90%
    alpha       : 2.57985   ( -1.38381   -1.61787 )
    beta        : -5.51079    ( 4.94426   1.39986 )
    Epeak [keV] : 28.6244      ( -3.11199 2.79866 )
    Norm@50keV   : 48.0911    ( -48.0829   1045.39 )
    ------------------------------------------------------------
    #Fit statistic : Chi-Squared =          64.18 using 59 PHA bins.
    # Reduced chi-squared =          1.167 for     55 degrees of freedom 
    # Null hypothesis probability =   1.858103e-01
     
    Photon flux (15-150 keV)    in 1 sec:  (    ) ph/cm2/s
    Energy fluence (15-150 keV)             : 0 ( 0  0 ) ergs/cm2
     
    
    Single BB
     
    Spectral model blackbody:
    ------------------------------------------------------------
    Parameters  : value    Lower 90%  Upper 90%
    kT [keV]    : 7.22254  (-0.668871  0.716036)
    R^2/D10^2   : 6.82854  (-2.26585   3.43609)
    (R is the radius in km and D10 is the distance to the source in units of 10 kpc)
    ------------------------------------------------------------
    #Fit statistic : Chi-Squared =          64.69 using 59 PHA bins.
    # Reduced chi-squared =          1.135 for     57 degrees of freedom 
    # Null hypothesis probability =   2.261112e-01
     
    Energy  Fluence     90% Error
    [keV]   [erg/cm2]   [erg/cm2]
    15- 25  5.905e-08   1.100e-08
    25- 50  8.585e-08   1.457e-08
    50-150  1.591e-08   6.483e-09
    15-150  1.608e-07   2.505e-08
    
    Thermal bremsstrahlung (OTTB)
     
     
    Spectral model: thermal bremsstrahlung
    ------------------------------------------------------------
    Parameters  : value         Lower 90%    Upper 90%
    kT [keV]    : 27.9642       (-5.59915      7.40848)
    Norm        : 33.0002       (-6.89984     8.85777)
    ------------------------------------------------------------
    #Fit statistic : Chi-Squared =          75.68 using 59 PHA bins.
    # Reduced chi-squared =          1.328 for     57 degrees of freedom 
    # Null hypothesis probability =   4.958023e-02
     
    Energy  Fluence     90% Error
    [keV]   [erg/cm2]   [erg/cm2]
    15- 25  6.468e-08   8.935e-09
    25- 50  7.101e-08   1.107e-08
    50-150  3.539e-08   1.398e-08
    15-150  1.711e-07   2.460e-08
    
    Double BB
    ------------------------------------------------------------
    Parameters  : value         Lower 90%    Upper 90%
    kT1 [keV]   : 200.000        (-200      -200)
    R1^2/D10^2  : 1.12114E-04        (-7.21762e-05      0.000272654)
    kT2 [keV]   : 7.03340        (-0.635944      0.699781)
    R2^2/D10^2  : 7.48534    (-2.49417   3.80598)
    ------------------------------------------------------------
    #Fit statistic : Chi-Squared =          64.69 using 59 PHA bins.
    #Fit statistic : Chi-Squared =          58.37 using 59 PHA bins.
    # Reduced chi-squared =          1.176 for     55 degrees of freedom 
    # Reduced chi-squared =          1.061 for     55 degrees of freedom 
    # Null hypothesis probability =   1.743591e-01
    # Null hypothesis probability =   3.525593e-01
     
    Energy  Fluence     90% Error
    [keV]   [erg/cm2]   [erg/cm2]
    15- 25  5.904e-08   1.247e+00
    25- 50  8.586e-08   9.580e+00
    50-150  1.592e-08   2.374e+02
    15-150  1.608e-07   2.396e+02
    

    Pre-slew spectrum (Pre-slew PHA with pre-slew DRM)

    Power-law model
     
    Spectral model in power-law:
    ------------------------------------------------------------
    Parameters  : value       lower 90%   higher 90%
    Photon index: 2.44478     ( -0.201691   0.217498 )
    Norm@50keV  : 5.55685E-03    ( -0.000942036   0.000938971 )
    ------------------------------------------------------------
    #Fit statistic : Chi-Squared =          90.11 using 59 PHA bins.
    # Reduced chi-squared =          1.581 for     57 degrees of freedom 
    # Null hypothesis probability =   3.400251e-03
     
    Photon flux (15-150 keV)    in 9.345 sec: 1.05574 ( -0.120487  0.120489 ) ph/cm2/s
    Energy fluence (15-150 keV)             : 5.11799e-07 ( -6.86959e-08  7.04877e-08 ) ergs/cm2
     
    
    Cutoff power-law model
    Spectral model in the cutoff power-law:
    ------------------------------------------------------------
    Parameters  : value       lower 90%   higher 90%
    Photon index: -1.05752     ( -2.23394   1.43078 )
    Epeak [keV] : 29.7390      ( -3.66117 3.29797 )
    Norm@50keV  : 1.03449    ( -1.41863   36.1561 )
    ------------------------------------------------------------
    #Fit statistic : Chi-Squared =          65.82 using 59 PHA bins.
    # Reduced chi-squared =          1.175 for     56 degrees of freedom 
    # Null hypothesis probability =   1.734753e-01
     
    Photon flux (15-150 keV)    in 9.345 sec: 1.02154 ( -0.118085  0.11831 ) ph/cm2/s
    Energy fluence (15-150 keV)             : 4.39622e-07 ( -5.55775e-08  5.87333e-08 ) ergs/cm2
     
    
    Band function
     
    Spectral model in the Band function:
    ------------------------------------------------------------
    Parameters  : value       lower 90%   higher 90%
    alpha       : 1.24596   ( -0.91397   4.04533 )
    beta        : -10.0000    ( 10   10 )
    Epeak [keV] : 29.9026      ( -3.68794 3.20334 )
    Norm@50keV   : 1.36921    ( -1.36979   36.0035 )
    ------------------------------------------------------------
    #Fit statistic : Chi-Squared =          65.77 using 59 PHA bins.
    # Reduced chi-squared =          1.196 for     55 degrees of freedom 
    # Null hypothesis probability =   1.517749e-01
     
    Photon flux (15-150 keV)    in 9.345 sec:  (    ) ph/cm2/s
    Energy fluence (15-150 keV)             : 0 ( 0  0 ) ergs/cm2
     
    

    S(25-50 keV) vs. S(50-100 keV) plot

    S(25-50 keV)  = 2.43e-07
    S(50-100 keV) = 1.86e-07
    

    T90 vs. Hardness ratio plot

    T90                                   = 16.5639998912811 sec.
    Hardness ratio (energy fluence ratio) = 0.765432
    

    Color vs. Color plot

    Count Ratio  (25-50 keV) / (15-25 keV) = 1.1011
    Count Ratio (50-100 keV) / (15-25 keV) = 0.292593
    

    Mask shadow pattern

    IMX = -6.443540563718642E-01, IMY = 5.443169945274297E-01
    

    TIME vs. PHA plot around the trigger time

    Blue+Cyan dotted lines: Time interval of the scaled map
    From 0.000000 to 0.128000
    

    TIME vs. DetID plot around the trigger time

    Blue+Cyan dotted lines: Time interval of the scaled map
    From 0.000000 to 0.128000
    

    100 us light curve (15-350 keV)

    Blue+Cyan dotted lines: Time interval of the scaled map
    From 0.000000 to 0.128000
    

    Spacecraft aspect plot

    Bright source in the pre-burst/pre-slew/post-slew images

    Pre-burst image of 15-350 keV band

    Time interval of the image:
    -239.824000 -117.684700
    -116.824000 -0.568000
     
    # RAcent  DECcent POSerr Theta    Phi  PeakCts   SNR AngSep     Name
    #  [deg]    [deg]    ['] [deg]  [deg]                   [']
    254.2201  35.4370    0.0  39.6   31.7  -0.5205  -0.9   12.9	Her X-1                       
    299.5714  35.2114    0.6  39.6  -27.5   7.8950  20.2    1.1	Cyg X-1                       
    308.0346  40.9119    5.0  35.4  -40.2   0.9007   2.3    4.2	Cyg X-3                       
    325.9139  38.3095   64.5  41.9  -60.1   0.1342   0.2   12.2	Cyg X-2                       
    165.2184  54.6304    3.9  44.2  131.0   3.5848   3.0 ------	UNKNOWN                       
    220.2717  49.8512    2.8  33.7   79.5   2.3548   4.1 ------	UNKNOWN                       
    229.9572  51.2937    3.0  29.7   70.2   1.8709   3.9 ------	UNKNOWN                       
    257.0894  25.3711    3.0  49.1   26.0   3.2004   3.8 ------	UNKNOWN                       
    260.6096  19.7853    3.1  54.3   21.0   4.9793   3.7 ------	UNKNOWN                       
    122.9910  50.7220    3.9  54.8  161.8   6.4591   3.5 ------	UNKNOWN                       
    122.9729  50.8749    4.1  54.7  161.8   7.0539   3.8 ------	UNKNOWN                       
     83.0072  52.5767    3.1  53.8 -167.9   3.0058   3.8 ------	UNKNOWN                       
    

    Pre-slew background subtracted image of 15-350 keV band

    Time interval of the image:
    -0.568000 8.776600
     
    # RAcent  DECcent POSerr Theta    Phi  PeakCts   SNR AngSep     Name
    #  [deg]    [deg]    ['] [deg]  [deg]                   [']
    254.6275  35.3498    3.1  39.6   31.2  -0.3070  -3.7    8.3	Her X-1                       
    299.4355  35.1068    6.6  39.6  -27.3  -0.1157  -1.7    9.5	Cyg X-1                       
    308.1652  40.8706    9.1  35.4  -40.3  -0.0784  -1.3    5.5	Cyg X-3                       
    325.9889  38.2704    4.6  41.9  -60.2   0.3072   2.5    9.1	Cyg X-2                       
     40.1393  61.2209    0.9  40.1 -139.8   0.9510  13.3 ------	UNKNOWN                       
    

    Post-slew image of 15-350 keV band

    Time interval of the image:
    68.976590 717.376000
    718.176000 962.266000
     
    # RAcent  DECcent POSerr Theta    Phi  PeakCts   SNR AngSep     Name
    #  [deg]    [deg]    ['] [deg]  [deg]                   [']
     83.6467  22.0146    0.9  49.3  171.3  31.2970  12.3    0.7	Crab                          
    308.0878  41.0465    8.2  55.8  -17.1  -5.0064  -1.4    5.7	Cyg X-3                       
    326.3386  38.3048    6.0  49.6  -33.4   4.5459   1.9    7.9	Cyg X-2                       
     93.6694  20.5445    2.9  54.9  161.6  18.2177   3.9 ------	UNKNOWN                       
    301.2106  65.8295    2.3  39.7    9.3   6.5724   4.9 ------	UNKNOWN                       
    
    Plot creation:
    Sun Mar 24 18:48:16 EDT 2019