batgrbproduct analysis for trigger=897653

batgrbproduct Analysis for Trigger=897653

Analysis Summary

Notes:

======================================================================
                  BAT GRB EVENT DATA PROCESSING REPORT
    Process Script Ver: batgrbproduct v2.46
    Process Start Time (local time): Wed Apr 10 13:32:10 EDT 2019
             Host Name: bat1
   Current Working Dir: /local/data/bat1/prebascript/trigger897653/GCN5_download_cron
======================================================================

  Trigger: 00897653      Segment: 000

  BAT Trigger Time: 576507704   [s; MET]
      Trigger Stop: 576507768   [s; MET]
               UTC: 2019-04-09T13:01:21.289020    [includes UTCF correction] 
       Where From?: TDRSS position message

  BAT 
    RA: 324.921589868799   Dec: -46.6073895633698  [deg; J2000]

     Catalogged Source?: NO
     Point Source?:      YES
     GRB Indicated?:     YES    [ by BAT flight software ]
     Image S/N Ratio:    7.18
     Image Trigger?:     YES
     Rate S/N Ratio:     0  [ if not an image trigger ]
     Image S/N Ratio:    7.18

  Flight Position:   [ source = BAT ]
    RA: 324.921589868799   Dec: -46.6073895633698  [deg; J2000]

  Ground Position:   [ source = BAT pre-slew burst ]
    RA: 324.96379895516   Dec: -46.5553330515481  [deg; J2000]  
        { 21h 39m 51.3s , -46d 33' 19.2" }
         +/- 4.34826443245401 [arcmin] (estimated 90% radius based on SNR)
         +/- 2.59311059577959 [arcmin] (formal 1-sigma fit error)
    SNR: 3.7259622934164
 
  Angular difference between Flight and Ground position is 3.575686 arcmin
 
  Partial Coding Fraction: 0.703125    [ including projection effects ]

  Duration
     T90: 61.055999994278 +/- 13.447617087903
        Measured from: 1.22400009632111
                   to: 62.2800000905991     [s; relative to TRIGTIME]
     T50: 39.0520000457764 +/- 16.6403677382137
        Measured from: 14.3840000629425
                   to: 53.4360001087189     [s; relative to TRIGTIME]



  Fluence
     Peak Flux  (peak 1 second)
        Measured from: 61.4520000219345     
                   to: 62.4520000219345     [s; relative to TRIGTIME]
     Total Fluence        
        Measured from: -1.23599994182587     
                   to: 68.7200000286102     [s; relative to TRIGTIME]
     
             Band 1     Band 2     Band 3     Band 4
              15-25      25-50     50-100    100-350     keV
 Total     0.361322   0.350708   0.182176   0.078275
           0.070792   0.073243   0.065093   0.060558 [error]
 Peak      0.016768   0.030543   0.021425   0.005526
           0.008570   0.008862   0.007999   0.007742 [error]

     [ fluence units of on-axis counts / fully illuminated detector ] 

======================================================================
 
=== Fluence/Peak Flux Summary ===
 
              Model    Band1    Band2    Band3    Band4    Band5    Total      
                       15-25    25-50   50-100  100-350   15-150   15-350   keV
Fluence   Power-law 1.16e-07 1.51e-07 1.45e-07 2.48e-07 4.95e-07 6.60e-07   erg/cm2
              Error 3.30e-08 3.46e-08 5.85e-08 1.95e-07 1.37e-07 2.67e-07   erg/cm2
Peak flux Power-law 2.09e-01 2.03e-01 1.38e-01 1.47e-01 6.09e-01 6.96e-01   ph/cm2/s
              Error 1.13e-01 7.34e-02 6.16e-02 1.30e-01 2.14e-01 2.46e-01   ph/cm2/s
 
Fluence   Cutoff-PL 1.06e-07 1.79e-07 1.29e-07 3.20e-08 4.39e-07 4.45e-07   erg/cm2
              Error 3.80e-08 5.12e-08 7.23e-08 1.54e-07 1.38e-07 2.62e-07   erg/cm2
Peak flux Cutoff-PL 1.60e-01 2.34e-01 1.55e-01 4.01e-02 5.80e-01 5.89e-01   ph/cm2/s
              Error 1.31e-01 9.56e-02 7.87e-02 1.04e-01 2.18e-01 2.59e-01   ph/cm2/s
 
Fluence        Band 1.05e-07 1.78e-07 1.22e-07 6.45e-08 4.41e-07 4.72e-07   erg/cm2
              Error -------- -------- -------- -------- -------- --------   erg/cm2
Peak flux      Band 1.72e-01 2.25e-01 1.55e-01 6.19e-02 5.96e-01 6.19e-01   ph/cm2/s
              Error -------- -------- -------- -------- -------- --------   ph/cm2/s
 
=== Time-averaged spectral analysis ===
 
Model Ph_index Ph_90err Epeak  Epeak_90err Norm     Nomr_90err chi2   dof
PL    2.059    0.418    -      -           7.64e-04 2.28e-04   51.290 57
CPL   0.647    2.144      37.7    0.0      5.36e-03 1.40e-01   49.660 56
 
 
=== 1-s peak spectral analysis ===
 
Model Ph_index Ph_90err Epeak  Epeak_90err Norm     Nomr_90err chi2   dof
PL    1.559    0.585    -      -           4.80e-03 1.75e-03   44.020 57
CPL   0.003    3.579      63.3    0.0      2.98e-02 0.00e+00   42.880 56
 
Model      : spectral model: simple power-law (PL) and cutoff power-law (CPL)
Ph_index   : photon index: E^-{Ph_index} (minus sign is not included in the index)
Ph_90err   : 90% error of the photon index
Epeak      : Epeak in keV
Epeak_90err: 90% error of Epeak
Norm       : normalization at 50 keV in PL model and at 1 keV in CPL model
Nomr_90err : 90% error of the normalization
chi2       : Chi-Squared
dof        : degree of freedom
 
=== T90/T50 calculation in the 50-300 keV band (BATSE band) using 64 ms lc ===
 
T90 in the 50-300 keV band: 0.000000 sec.
T50 in the 50-300 keV band: 0.000000 sec.
 
=== Table of the duration information ==
 
        Value   tstart    tstop
T100   69.956   -1.236   68.720
T90    61.056    1.224   62.280
T50    39.052   14.384   53.436
Peak    1.000   61.452   62.452
  • Click here for the BAT GCN circular template
  • Estimated redshift from machine learning (Ukwatta et al. 2016) - may take a few minutes to calcaulte

    Image

    Pre-slew 15-350 keV image (Event data; bkg subtracted)

    #   RAcent  DECcent POSerr  Theta    Phi     Peak Cts     SNR  Name
      324.9638 -46.5553 0.0516   34.1 -161.1       0.7339     3.7  TRIG_00897653       
    ------------------------------------------
     
    Foreground time interval of the image:
     -1.236  68.720 (delta_t =  69.956 [sec])
    Background time interval of the image:
    -60.000  -1.236 (delta_t =  58.764 [sec])
    

    Lightcurves

    Notes:

    1 s binning

    From T0-310 s to T0+310 s
    From T100_start - 20 s to T100_end + 30 s
    Full time interval

    64 ms binning

    Full time interval
    From T100_start to T100_end
    From T0-5 sec to T0+5 sec

    16 ms binning

    From T100_start-5 s to T100_start+5 s
    Blue+Cyan dotted lines: Time interval of the scaled map
    From 0.000000 to 64.000000
    

    8 ms binning

    From T100_start-3 s to T100_start+3 s
    Blue+Cyan dotted lines: Time interval of the scaled map
    From 0.000000 to 64.000000
    

    2 ms binning

    From T100_start-1 s to T100_start+1 s
    Blue+Cyan dotted lines: Time interval of the scaled map
    From 0.000000 to 64.000000
    

    SN=5 or 10 sec. binning (whichever binning is satisfied first)

    SN=5 or 10 sec. binning (T < 200 sec)

    Spectra

    Notes:

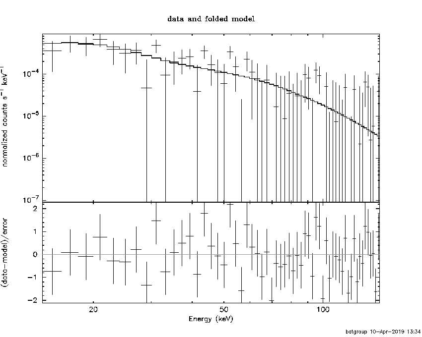
    Time averaged spectrum fit using the pre-slew DRM

    Power-law model
    Time interval is from   -1.236 sec. to   68.720 sec.
     
    Spectral model in power-law:
    ------------------------------------------------------------
    Parameters  : value       lower 90%   higher 90%
    Photon index: 2.05875     ( -0.388806   0.446645 )
    Norm@50keV  : 7.63650E-04    ( -0.000232482   0.000223806 )
    ------------------------------------------------------------
    #Fit statistic : Chi-Squared =          51.29 using 59 PHA bins.
    # Reduced chi-squared =         0.8997 for     57 degrees of freedom 
    # Null hypothesis probability =   6.883472e-01
     
    Photon flux (15-150 keV)    in 69.96 sec: 0.117754 ( -0.0259196  0.0259223 ) ph/cm2/s
    Energy fluence (15-150 keV)             : 4.94591e-07 ( -1.33399e-07  1.40875e-07 ) ergs/cm2
     
    
    Cutoff power-law model
    Time interval is from   -1.236 sec. to   68.720 sec.
    Spectral model in the cutoff power-law:
    ------------------------------------------------------------
    Parameters  : value       lower 90%   higher 90%
    Photon index: 0.646592     ( -2.83957   1.44869 )
    Epeak [keV] : 37.6971      ( -37.6971 -37.6971 )
    Norm@50keV  : 5.36278E-03    ( -0.00536272   0.274143 )
    ------------------------------------------------------------
    #Fit statistic : Chi-Squared =          49.66 using 59 PHA bins.
    # Reduced chi-squared =         0.8868 for     56 degrees of freedom 
    # Null hypothesis probability =   7.120362e-01
     
    Photon flux (15-150 keV)    in 69.96 sec: 0.113671 ( -0.0256886  0.026298 ) ph/cm2/s
    Energy fluence (15-150 keV)             : 4.39152e-07 ( -1.2252e-07  1.53908e-07 ) ergs/cm2
     
    
    Band function
    Time interval is from   -1.236 sec. to   68.720 sec.
     
    Spectral model in the Band function:
    ------------------------------------------------------------
    Parameters  : value       lower 90%   higher 90%
    alpha       : -0.656115   ( 0.561258   0.561258 )
    beta        : -3.29532    ( 3.37942   4.12482 )
    Epeak [keV] : 37.0433      ( -37.0116 75.896 )
    Norm@50keV   : 5.38487E-03    ( -0.0061735   126.067 )
    ------------------------------------------------------------
    #Fit statistic : Chi-Squared =          49.68 using 59 PHA bins.
    # Reduced chi-squared =         0.9032 for     55 degrees of freedom 
    # Null hypothesis probability =   6.775136e-01
     
    Photon flux (15-150 keV)    in 69.96 sec:  (    ) ph/cm2/s
    Energy fluence (15-150 keV)             : 4.40931e-07 ( 0  0 ) ergs/cm2
     
    
    Single BB
     
    Spectral model blackbody:
    ------------------------------------------------------------
    Parameters  : value    Lower 90%  Upper 90%
    kT [keV]    : 9.70810  (-2.06795  2.53569)
    R^2/D10^2   : 6.40284E-02  (-0.0379488   0.0953903)
    (R is the radius in km and D10 is the distance to the source in units of 10 kpc)
    ------------------------------------------------------------
    #Fit statistic : Chi-Squared =          51.44 using 59 PHA bins.
    # Reduced chi-squared =         0.9025 for     57 degrees of freedom 
    # Null hypothesis probability =   6.828427e-01
     
    Energy  Fluence     90% Error
    [keV]   [erg/cm2]   [erg/cm2]
    15- 25  8.506e-08   3.888e-08
    25- 50  2.027e-07   8.080e-08
    50-150  9.703e-08   5.867e-08
    15-150  3.848e-07   1.548e-07
    
    Thermal bremsstrahlung (OTTB)
     
     
    Spectral model: thermal bremsstrahlung
    ------------------------------------------------------------
    Parameters  : value         Lower 90%    Upper 90%
    kT [keV]    : 56.2717       (-24.9665      65.795)
    Norm        : 0.644564       (-0.198286     0.294423)
    ------------------------------------------------------------
    #Fit statistic : Chi-Squared =          49.96 using 59 PHA bins.
    # Reduced chi-squared =         0.8765 for     57 degrees of freedom 
    # Null hypothesis probability =   7.341259e-01
     
    Energy  Fluence     90% Error
    [keV]   [erg/cm2]   [erg/cm2]
    15- 25  1.121e-07   3.674e-08
    25- 50  1.672e-07   7.089e-08
    50-150  1.801e-07   1.108e-07
    15-150  4.593e-07   1.904e-07
    
    Double BB
     
     
    Spectral model: bbodyrad<1> + bbodyrad<2>
    ------------------------------------------------------------
    Parameters  : value         Lower 90%    Upper 90%
    kT1 [keV]   : 3.47223        (-3.40715      93.6436)
    R1^2/D10^2  : 1.72351        (-1.76784      -1.76784)
    kT2 [keV]   : 11.7660        (-3.14106      -11.7265)
    R2^2/D10^2  : 2.62842E-02    (-0.0264805   0.0740468)
    ------------------------------------------------------------
    #Fit statistic : Chi-Squared =          49.10 using 59 PHA bins.
    # Reduced chi-squared =         0.8927 for     55 degrees of freedom 
    # Null hypothesis probability =   6.983595e-01
     
    Energy  Fluence     90% Error
    [keV]   [erg/cm2]   [erg/cm2]
    15- 25  1.066e-07   5.863e-08
    25- 50  1.777e-07   1.022e-07
    50-150  1.358e-07   8.937e-08
    15-150  4.201e-07   2.240e-07
    

    Peak spectrum fit

    Power-law model
    Time interval is from   61.452 sec. to   62.452 sec.
     
    Spectral model in power-law:
    ------------------------------------------------------------
    Parameters  : value       lower 90%   higher 90%
    Photon index: 1.55881     ( -0.563132   0.606621 )
    Norm@50keV  : 4.79562E-03    ( -0.00177553   0.00173013 )
    ------------------------------------------------------------
    #Fit statistic : Chi-Squared =          44.02 using 59 PHA bins.
    # Reduced chi-squared =         0.7723 for     57 degrees of freedom 
    # Null hypothesis probability =   8.959850e-01
     
    Photon flux (15-150 keV)    in 1 sec: 0.608655 ( -0.213664  0.214361 ) ph/cm2/s
    Energy fluence (15-150 keV)             : 4.50902e-08 ( -1.73057e-08  1.79271e-08 ) ergs/cm2
     
    
    Cutoff power-law model
    Time interval is from   61.452 sec. to   62.452 sec.
    Spectral model in the cutoff power-law:
    ------------------------------------------------------------
    Parameters  : value       lower 90%   higher 90%
    Photon index: 3.05454E-03     ( -4.94538   2.21319 )
    Epeak [keV] : 63.2888      (   )
    Norm@50keV  : 2.97961E-02    (     )
    ------------------------------------------------------------
    #Fit statistic : Chi-Squared =          42.88 using 59 PHA bins.
    # Reduced chi-squared =         0.7657 for     56 degrees of freedom 
    # Null hypothesis probability =   9.011473e-01
     
    Photon flux (15-150 keV)    in 1 sec: 0.580375 ( -0.217528  0.219298 ) ph/cm2/s
    Energy fluence (15-150 keV)             : 4.15906e-08 ( -1.69472e-08  1.87857e-08 ) ergs/cm2
     
    
    Band function
    Time interval is from   61.452 sec. to   62.452 sec.
     
    Spectral model in the Band function:
    ------------------------------------------------------------
    Parameters  : value       lower 90%   higher 90%
    alpha       : 3.02480E-03   ( -1.87606   4.69637 )
    beta        : -10.0000    ( 10   0 )
    Epeak [keV] : 62.6024      ( -24.3463 214.941 )
    Norm@50keV   : 3.04765E-02    ( -0.0304112   6.63614 )
    ------------------------------------------------------------
    #Fit statistic : Chi-Squared =          42.88 using 59 PHA bins.
    # Reduced chi-squared =         0.7796 for     55 degrees of freedom 
    # Null hypothesis probability =   8.826812e-01
     
    Photon flux (15-150 keV)    in 1 sec: 0.595554 (    ) ph/cm2/s
    Energy fluence (15-150 keV)             : 4.28213e-08 ( 0  0 ) ergs/cm2
     
    
    Single BB
     
    Spectral model blackbody:
    ------------------------------------------------------------
    Parameters  : value    Lower 90%  Upper 90%
    kT [keV]    : 14.4999  (-4.58235  6.91101)
    R^2/D10^2   : 8.28345E-02  (-0.0828344   0.229313)
    (R is the radius in km and D10 is the distance to the source in units of 10 kpc)
    ------------------------------------------------------------
    #Fit statistic : Chi-Squared =          43.39 using 59 PHA bins.
    # Reduced chi-squared =         0.7612 for     57 degrees of freedom 
    # Null hypothesis probability =   9.081278e-01
     
    Energy  Fluence     90% Error
    [keV]   [erg/cm2]   [erg/cm2]
    15- 25  3.664e-09   2.354e-09
    25- 50  1.410e-08   8.815e-09
    50-150  1.987e-08   1.371e-08
    15-150  3.763e-08   2.480e-08
    
    Thermal bremsstrahlung (OTTB)
     
     
    Spectral model: thermal bremsstrahlung
    ------------------------------------------------------------
    Parameters  : value         Lower 90%    Upper 90%
    kT [keV]    : 174.964       (-119.413      -169.587)
    Norm        : 2.52208       (-0.888947     1.26614)
    ------------------------------------------------------------
    #Fit statistic : Chi-Squared =          43.55 using 59 PHA bins.
    # Reduced chi-squared =         0.7640 for     57 degrees of freedom 
    # Null hypothesis probability =   9.051898e-01
     
    Energy  Fluence     90% Error
    [keV]   [erg/cm2]   [erg/cm2]
    15- 25  6.381e-09   3.924e-09
    25- 50  1.208e-08   7.525e-09
    50-150  2.531e-08   1.566e-08
    15-150  4.377e-08   2.735e-08
    
    Double BB
     
     
    Spectral model: bbodyrad<1> + bbodyrad<2>
    ------------------------------------------------------------
    Parameters  : value         Lower 90%    Upper 90%
    kT1 [keV]   : 5.31156        (-5.29979      -5.29979)
    R1^2/D10^2  : 0.930475        (-0.943911      -0.943911)
    kT2 [keV]   : 17.1169        (-17.0963      -17.0963)
    R2^2/D10^2  : 4.06402E-02    (-0.0409218   0.22983)
    ------------------------------------------------------------
    #Fit statistic : Chi-Squared =          42.87 using 59 PHA bins.
    # Reduced chi-squared =         0.7794 for     55 degrees of freedom 
    # Null hypothesis probability =   8.829676e-01
     
    Energy  Fluence     90% Error
    [keV]   [erg/cm2]   [erg/cm2]
    15- 25  5.285e-09   2.934e-09
    25- 50  1.293e-08   7.640e-09
    50-150  2.269e-08   1.522e-08
    15-150  4.091e-08   2.470e-08
    

    Pre-slew spectrum (Pre-slew PHA with pre-slew DRM)

    Power-law model
     
    Spectral model in power-law:
    ------------------------------------------------------------
    Parameters  : value       lower 90%   higher 90%
    Photon index: 2.05875     ( -0.388806   0.446645 )
    Norm@50keV  : 7.63650E-04    ( -0.000232482   0.000223806 )
    ------------------------------------------------------------
    #Fit statistic : Chi-Squared =          51.29 using 59 PHA bins.
    # Reduced chi-squared =         0.8997 for     57 degrees of freedom 
    # Null hypothesis probability =   6.883472e-01
     
    Photon flux (15-150 keV)    in 69.96 sec: 0.117754 ( -0.0259196  0.0259223 ) ph/cm2/s
    Energy fluence (15-150 keV)             : 4.94591e-07 ( -1.33399e-07  1.40875e-07 ) ergs/cm2
     
    
    Cutoff power-law model
    Spectral model in the cutoff power-law:
    ------------------------------------------------------------
    Parameters  : value       lower 90%   higher 90%
    Photon index: 0.646592     ( -2.83957   1.46195 )
    Epeak [keV] : 37.6971      ( -37.6971 -37.6971 )
    Norm@50keV  : 5.36278E-03    ( -0.00536272   0.274143 )
    ------------------------------------------------------------
    #Fit statistic : Chi-Squared =          49.66 using 59 PHA bins.
    # Reduced chi-squared =         0.8868 for     56 degrees of freedom 
    # Null hypothesis probability =   7.120362e-01
     
    Photon flux (15-150 keV)    in 69.96 sec: 0.113671 ( -0.0256886  0.026298 ) ph/cm2/s
    Energy fluence (15-150 keV)             : 4.39152e-07 ( -1.2252e-07  1.53908e-07 ) ergs/cm2
     
    
    Band function
     
    Spectral model in the Band function:
    ------------------------------------------------------------
    Parameters  : value       lower 90%   higher 90%
    alpha       : -0.656115   ( 0.561258   0.561258 )
    beta        : -3.29532    ( 3.37942   4.12482 )
    Epeak [keV] : 37.0433      ( -37.0116 75.896 )
    Norm@50keV   : 5.38487E-03    ( -0.0061735   126.067 )
    ------------------------------------------------------------
    #Fit statistic : Chi-Squared =          49.68 using 59 PHA bins.
    # Reduced chi-squared =         0.9032 for     55 degrees of freedom 
    # Null hypothesis probability =   6.775136e-01
     
    Photon flux (15-150 keV)    in 69.96 sec:  (    ) ph/cm2/s
    Energy fluence (15-150 keV)             : 4.40931e-07 ( 0  0 ) ergs/cm2
     
    

    S(25-50 keV) vs. S(50-100 keV) plot

    S(25-50 keV)  = 1.51e-07
    S(50-100 keV) = 1.45e-07
    

    T90 vs. Hardness ratio plot

    T90                                   = 61.055999994278 sec.
    Hardness ratio (energy fluence ratio) = 0.960265
    

    Color vs. Color plot

    Count Ratio  (25-50 keV) / (15-25 keV) = 0.970625
    Count Ratio (50-100 keV) / (15-25 keV) = 0.504193
    

    Mask shadow pattern

    IMX = -6.394442282432060E-01, IMY = 2.192258205022964E-01
    

    TIME vs. PHA plot around the trigger time

    Blue+Cyan dotted lines: Time interval of the scaled map
    From 0.000000 to 64.000000
    

    TIME vs. DetID plot around the trigger time

    Blue+Cyan dotted lines: Time interval of the scaled map
    From 0.000000 to 64.000000
    

    100 us light curve (15-350 keV)

    Blue+Cyan dotted lines: Time interval of the scaled map
    From 0.000000 to 64.000000
    

    Spacecraft aspect plot

    Bright source in the pre-burst/pre-slew/post-slew images

    Pre-burst image of 15-350 keV band

    Time interval of the image:
    -60.000000 -1.236000
     
    # RAcent  DECcent POSerr Theta    Phi  PeakCts   SNR AngSep     Name
    #  [deg]    [deg]    ['] [deg]  [deg]                   [']
     96.2908 -32.1747    2.2  57.3   -0.5   2.8770   5.2 ------	UNKNOWN                       
    

    Pre-slew background subtracted image of 15-350 keV band

    Time interval of the image:
    -1.236000 68.720000
     
    # RAcent  DECcent POSerr Theta    Phi  PeakCts   SNR AngSep     Name
    #  [deg]    [deg]    ['] [deg]  [deg]                   [']
    309.4481 -70.6022    2.6  19.2  150.6   0.7515   4.4 ------	UNKNOWN                       
     50.9860 -54.9562    2.3  23.6  -33.2   0.8387   5.1 ------	UNKNOWN                       
    358.4701 -30.2959    2.1  43.2 -113.3   3.5961   5.5 ------	UNKNOWN                       
    

    Post-slew image of 15-350 keV band

    Time interval of the image:
     
    
    Plot creation:
    Wed Apr 10 13:35:24 EDT 2019