batgrbproduct analysis for trigger=1404904

batgrbproduct Analysis for Trigger=1404904

Analysis Summary

Notes:

======================================================================
                  BAT GRB EVENT DATA PROCESSING REPORT
    Process Script Ver: batgrbproduct v2.48
    Process Start Time (local time): Sat Oct 18 20:08:44 EDT 2025
             Host Name: batproc1
   Current Working Dir: /local/data/bat1/prebascript/trigger1404904/batgroup_hand_proc
======================================================================

  Trigger: 01404904      Segment: 000

  BAT Trigger Time: 782383281.152   [s; MET]
      Trigger Stop: 782383282.176   [s; MET]
               UTC: 2025-10-17T08:40:44.632520    [includes UTCF correction] 
       Where From?: TDRSS position message

  BAT 
    RA: 335.386417470042   Dec: 7.05068725437213  [deg; J2000]

     Catalogged Source?: NO
     Point Source?:      YES
     GRB Indicated?:     YES    [ by BAT flight software ]
     Image S/N Ratio:    9.52
     Image Trigger?:     NO
     Rate S/N Ratio:     15.7162336455017  [ if not an image trigger ]
     Image S/N Ratio:    9.52

  Flight Position:   [ source = BAT ]
    RA: 335.386417470042   Dec: 7.05068725437213  [deg; J2000]

  Ground Position:   [ source = BAT pre-slew burst ]
    RA: 335.404195153812   Dec: 7.04843941039666  [deg; J2000]  
        { 22h 21m 37.0s , +07d 02' 54.4" }
         +/- 1.26282457891258 [arcmin] (estimated 90% radius based on SNR)
         +/- 0.435853674642934 [arcmin] (formal 1-sigma fit error)
    SNR: 21.7942851268771
 
  Angular difference between Flight and Ground position is 1.067154 arcmin
 
  Partial Coding Fraction: 0.9375    [ including projection effects ]

  Duration
     T90: 116.896000027657 +/- 61.9135087019101
        Measured from: -2.16799998283386
                   to: 114.728000044823     [s; relative to TRIGTIME]
     T50: 15.6800000667572 +/- 8.32178823988608
        Measured from: 2.15200006961823
                   to: 17.8320001363754     [s; relative to TRIGTIME]



  Fluence
     Peak Flux  (peak 1 second)
        Measured from: 6.41200006008148     
                   to: 7.41200006008148     [s; relative to TRIGTIME]
     Total Fluence        
        Measured from: -5.4799998998642     
                   to: 125.080000042915     [s; relative to TRIGTIME]
     
             Band 1     Band 2     Band 3     Band 4
              15-25      25-50     50-100    100-350     keV
 Total     0.480279   0.721431   0.528098   0.158661
           0.065598   0.068529   0.057903   0.048578 [error]
 Peak      0.035327   0.064304   0.050826   0.010245
           0.006332   0.007123   0.006353   0.004772 [error]

     [ fluence units of on-axis counts / fully illuminated detector ] 

======================================================================
 
=== Fluence/Peak Flux Summary ===
 
              Model    Band1    Band2    Band3    Band4    Band5    Total      
                       15-25    25-50   50-100  100-350   15-150   15-350   keV
Fluence   Power-law 1.44e-07 2.82e-07 4.29e-07 1.42e-06 1.20e-06 2.27e-06   erg/cm2
              Error 2.82e-08 3.20e-08 5.82e-08 4.40e-07 1.41e-07 4.76e-07   erg/cm2
Peak flux Power-law 3.44e-01 4.10e-01 3.53e-01 5.17e-01 1.29e+00 1.62e+00   ph/cm2/s
              Error 7.56e-02 5.67e-02 4.93e-02 1.47e-01 1.60e-01 2.08e-01   ph/cm2/s
 
Fluence   Cutoff-PL 1.45e-07 2.83e-07 4.28e-07 1.39e-06 1.20e-06 2.25e-06   erg/cm2
              Error 2.39e-08 3.06e-08 5.81e-08 2.76e-07 1.34e-07 7.24e-07   erg/cm2
Peak flux Cutoff-PL 3.11e-01 4.33e-01 3.73e-01 2.87e-01 1.27e+00 1.40e+00   ph/cm2/s
              Error 8.73e-02 6.74e-02 5.81e-02 -------- 1.62e-01 2.03e-01   ph/cm2/s
 
Fluence        Band -------- -------- -------- -------- -------- --------   erg/cm2
              Error -------- -------- -------- -------- -------- --------   erg/cm2
Peak flux      Band -------- -------- -------- -------- -------- --------   ph/cm2/s
              Error -------- -------- -------- -------- -------- --------   ph/cm2/s
 
=== Time-averaged spectral analysis ===
 
Model Ph_index Ph_90err Epeak  Epeak_90err Norm     Nomr_90err chi2   dof
PL    1.396    0.197    -      -           9.53e-04 9.91e-05   58.860 57
CPL   2.392    0.343     133.6    0.0      2.82e-04 0.00e+00   54.550 56
 
 
=== 1-s peak spectral analysis ===
 
Model Ph_index Ph_90err Epeak  Epeak_90err Norm     Nomr_90err chi2   dof
PL    1.217    0.198    -      -           1.10e-02 1.33e-03   61.690 57
CPL   0.668    0.803     125.8    0.0      2.05e-02 0.00e+00   60.130 56
 
Model      : spectral model: simple power-law (PL) and cutoff power-law (CPL)
Ph_index   : photon index: E^-{Ph_index} (minus sign is not included in the index)
Ph_90err   : 90% error of the photon index
Epeak      : Epeak in keV
Epeak_90err: 90% error of Epeak
Norm       : normalization at 50 keV in PL model and at 1 keV in CPL model
Nomr_90err : 90% error of the normalization
chi2       : Chi-Squared
dof        : degree of freedom
 
=== T90/T50 calculation in the 50-300 keV band (BATSE band) using 64 ms lc ===
 
T90 in the 50-300 keV band: 22.208000 sec.
T50 in the 50-300 keV band: 6.592000 sec.
 
=== Table of the duration information ==
 
        Value   tstart    tstop
T100  130.560   -5.480  125.080
T90   116.896   -2.168  114.728
T50    15.680    2.152   17.832
Peak    1.000    6.412    7.412

Image

Pre-slew 15-350 keV image (Event data; bkg subtracted)

#   RAcent  DECcent POSerr  Theta    Phi     Peak Cts     SNR  Name
  335.4042  +7.0484 0.0088   21.1   -0.8       1.3200    21.8  TRIG_01404904       
------------------------------------------
 
Foreground time interval of the image:
 -5.480  15.949 (delta_t =  21.429 [sec])
Background time interval of the image:
-60.152  -5.480 (delta_t =  54.672 [sec])

Lightcurves

Notes:

1 s binning

From T0-310 s to T0+310 s
From T100_start - 20 s to T100_end + 30 s
Full time interval

64 ms binning

Full time interval
From T100_start to T100_end
From T0-5 sec to T0+5 sec

16 ms binning

From T100_start-5 s to T100_start+5 s

8 ms binning

From T100_start-3 s to T100_start+3 s

2 ms binning

From T100_start-1 s to T100_start+1 s

SN=5 or 10 sec. binning (whichever binning is satisfied first)

SN=5 or 10 sec. binning (T < 200 sec)

Spectra

Notes:

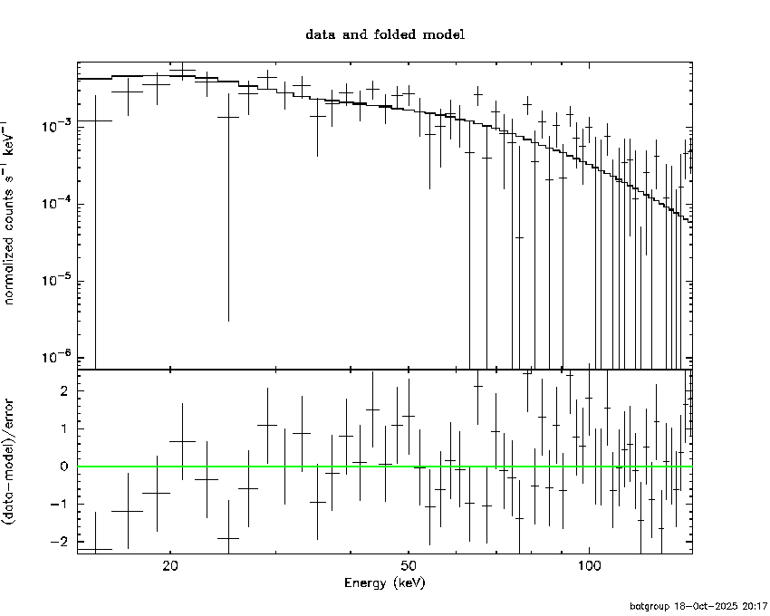
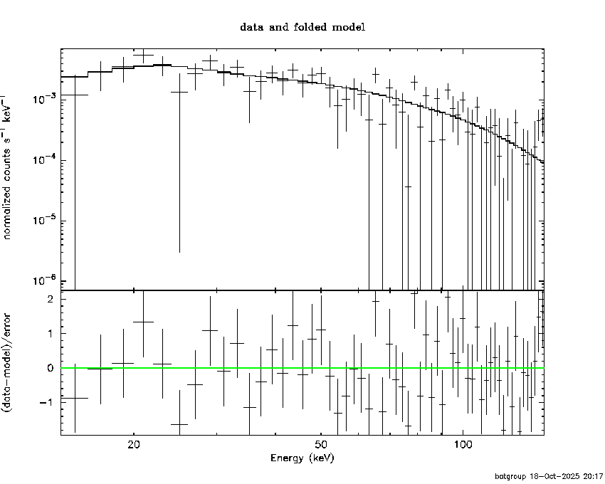
Time averaged spectrum fit using the pre-slew DRM

Power-law model
Time interval is from   -5.480 sec. to  125.080 sec.
 
Spectral model in power-law:
------------------------------------------------------------
Parameters  : value       lower 90%   higher 90%
Photon index: 1.39628     ( -0.198098   0.196119 )
Norm@50keV  : 9.53236E-04    ( -9.92594e-05   9.892e-05 )
------------------------------------------------------------
#Fit statistic : Chi-Squared =          58.86 using 59 PHA bins.
# Reduced chi-squared =          1.033 for     57 degrees of freedom 
# Null hypothesis probability =   4.072219e-01
 
Photon flux (15-150 keV)    in 130.6 sec: 0.115989 ( -0.0123332  0.0123618 ) ph/cm2/s
Energy fluence (15-150 keV)             : 1.20384e-06 ( -1.40322e-07  1.41489e-07 ) ergs/cm2
 
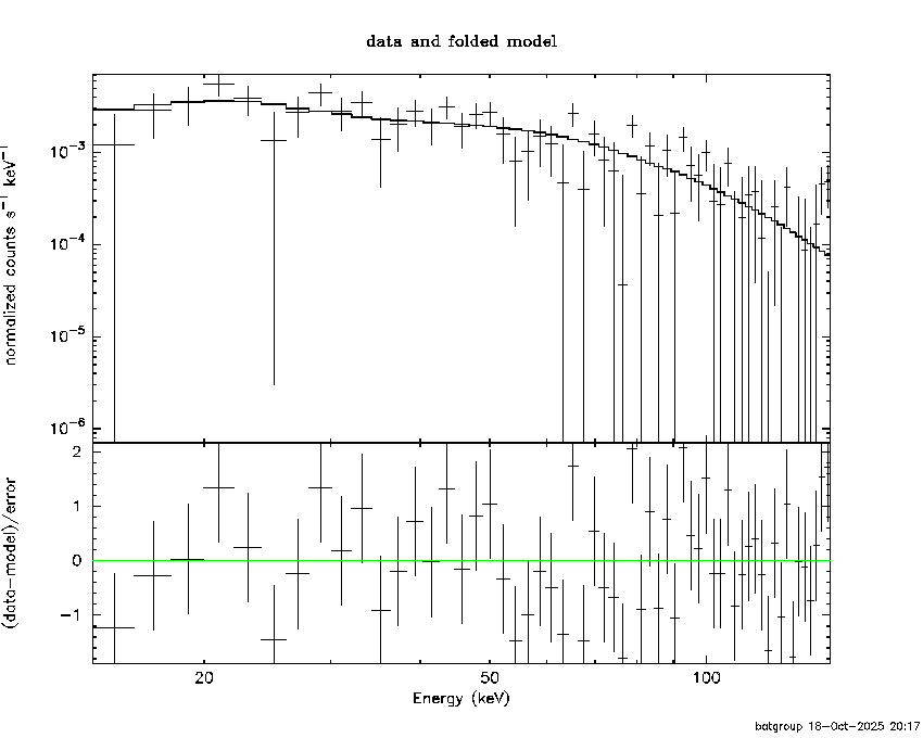
Cutoff power-law model
Time interval is from   -5.480 sec. to  125.080 sec.
Spectral model in the cutoff power-law:
------------------------------------------------------------
Parameters  : value       lower 90%   higher 90%
Photon index: 2.39203     ( -0.562586   0.122641 )
Epeak [keV] : 133.559      (   )
Norm@50keV  : 2.81580E-04    (     )
------------------------------------------------------------
#Fit statistic : Chi-Squared =          54.55 using 59 PHA bins.
# Reduced chi-squared =         0.9742 for     56 degrees of freedom 
# Null hypothesis probability =   5.297754e-01
 
Photon flux (15-150 keV)    in 130.6 sec: 0.115951 ( -0.012349  0.012343 ) ph/cm2/s
Energy fluence (15-150 keV)             : 1.20132e-06 ( -1.37757e-07  1.31168e-07 ) ergs/cm2
 
Band function
Time interval is from   -5.480 sec. to  125.080 sec.
 
Spectral model in the Band function:
------------------------------------------------------------
Parameters  : value       lower 90%   higher 90%
alpha       : -1.17743   ( 1.17742   1.17742 )
beta        : -1.39620    ( -0.196122   0.198276 )
Epeak [keV] : 20.8335      ( -20.8274 -20.8274 )
Norm@50keV   : 1.91966E-03    ( -0.001065   0.00708597 )
------------------------------------------------------------
#Fit statistic : Chi-Squared =          58.86 using 59 PHA bins.
# Reduced chi-squared =          1.070 for     55 degrees of freedom 
# Null hypothesis probability =   3.361303e-01
 
Photon flux (15-150 keV)    in 130.6 sec:  (    ) ph/cm2/s
Energy fluence (15-150 keV)             : 0 ( 0  0 ) ergs/cm2
 
Single BB
 
Spectral model blackbody:
------------------------------------------------------------
Parameters  : value    Lower 90%  Upper 90%
kT [keV]    : 16.1108  (-3.24355  4.65416)
R^2/D10^2   : 9.74714E-03  (-0.00545182   0.011483)
(R is the radius in km and D10 is the distance to the source in units of 10 kpc)
------------------------------------------------------------
#Fit statistic : Chi-Squared =         107.68 using 59 PHA bins.
# Reduced chi-squared =         1.8891 for     57 degrees of freedom 
# Null hypothesis probability =   5.757973e-05
 
Energy  Fluence     90% Error
[keV]   [erg/cm2]   [erg/cm2]
15- 25  6.821e-08   1.574e-08
25- 50  2.887e-07   4.754e-08
50-150  5.252e-07   1.075e-07
15-150  8.821e-07   1.394e-07
Thermal bremsstrahlung (OTTB)
XSPEC12>exit
 XSPEC: quit
 
 
Spectral model: thermal bremsstrahlung
------------------------------------------------------------
Parameters  : value         Lower 90%    Upper 90%
kT [keV]    : 200.000       (-44.4577      -200)
Norm        : 0.476199       (-0.0494326     0.0494326)
------------------------------------------------------------
 Reduced chi-squared = 
 
Energy  Fluence     90% Error
[keV]   [erg/cm2]   [erg/cm2]
15- 25  1.549e-07   4.361e-08
25- 50  2.979e-07   1.601e-07
50-150  6.534e-07   3.465e-07
15-150  1.106e-06   5.825e-07
Double BB
XSPEC12>exit
 XSPEC: quit
 
 
Spectral model: bbodyrad<1> + bbodyrad<2>
------------------------------------------------------------
Parameters  : value         Lower 90%    Upper 90%
kT1 [keV]   : 7.30115        (-1.34805      1.56313)
R1^2/D10^2  : 0.127228        (-0.0642974      0.144229)
kT2 [keV]   : 54.6217        (-19.5321      97.4755)
R2^2/D10^2  : 2.14996E-04    (-0.000156318   0.000465453)
------------------------------------------------------------
 Reduced chi-squared = 
 
Energy  Fluence     90% Error
[keV]   [erg/cm2]   [erg/cm2]
15- 25  1.569e-07   6.036e-08
25- 50  2.830e-07   8.580e-08
50-150  8.763e-07   4.422e-07
15-150  1.316e-06   5.113e-07

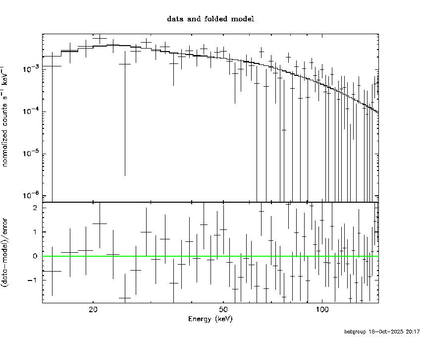
Peak spectrum fit

Power-law model
Time interval is from    6.412 sec. to    7.412 sec.
 
Spectral model in power-law:
------------------------------------------------------------
Parameters  : value       lower 90%   higher 90%
Photon index: 1.21720     ( -0.199575   0.196047 )
Norm@50keV  : 1.09564E-02    ( -0.00132821   0.00132796 )
------------------------------------------------------------
#Fit statistic : Chi-Squared =          61.69 using 59 PHA bins.
# Reduced chi-squared =          1.082 for     57 degrees of freedom 
# Null hypothesis probability =   3.120339e-01
 
Photon flux (15-150 keV)    in 1 sec: 1.28926 ( -0.159625  0.159839 ) ph/cm2/s
Energy fluence (15-150 keV)             : 1.10623e-07 ( -1.47638e-08  1.48814e-08 ) ergs/cm2
 
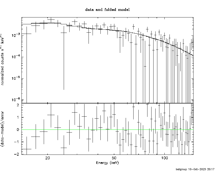
Cutoff power-law model
Time interval is from    6.412 sec. to    7.412 sec.
Spectral model in the cutoff power-law:
------------------------------------------------------------
Parameters  : value       lower 90%   higher 90%
Photon index: 0.668391     ( -0.896205   0.709206 )
Epeak [keV] : 125.848      (   )
Norm@50keV  : 2.05189E-02    (     )
------------------------------------------------------------
#Fit statistic : Chi-Squared =          60.13 using 59 PHA bins.
# Reduced chi-squared =          1.074 for     56 degrees of freedom 
# Null hypothesis probability =   3.285563e-01
 
Photon flux (15-150 keV)    in 1 sec: 1.26986 ( -0.16235  0.16224 ) ph/cm2/s
Energy fluence (15-150 keV)             : 1.06993e-07 ( -1.61105e-08  1.5892e-08 ) ergs/cm2
 
Band function
Time interval is from    6.412 sec. to    7.412 sec.
 
Spectral model in the Band function:
------------------------------------------------------------
Parameters  : value       lower 90%   higher 90%
alpha       : 2.87641   ( -4.34043   -3.72098 )
beta        : -1.44487    ( -0.392804   0.312752 )
Epeak [keV] : 36.3555      ( -20.5031 61.6652 )
Norm@50keV   : 5.95242    ( -5.94793   102.58 )
------------------------------------------------------------
#Fit statistic : Chi-Squared =          58.47 using 59 PHA bins.
# Reduced chi-squared =          1.063 for     55 degrees of freedom 
# Null hypothesis probability =   3.492536e-01
 
Photon flux (15-150 keV)    in 1 sec:  (    ) ph/cm2/s
Energy fluence (15-150 keV)             : 0 ( 0  0 ) ergs/cm2
 
Single BB
 XSPEC: quit
 
 
Spectral model blackbody:
------------------------------------------------------------
Parameters  : value    Lower 90%  Upper 90%
kT [keV]    : 17.3516  (-2.67173  3.32304)
R^2/D10^2   : 9.58920E-02  (-0.0425477   0.0728798)
(R is the radius in km and D10 is the distance to the source in units of 10 kpc)
------------------------------------------------------------
 Reduced chi-squared = 
 
Energy  Fluence     90% Error
[keV]   [erg/cm2]   [erg/cm2]
15- 25  5.846e-09   1.421e-09
25- 50  2.629e-08   5.465e-09
50-150  5.687e-08   1.358e-08
15-150  8.900e-08   1.752e-08
Thermal bremsstrahlung (OTTB)
XSPEC12>exit
 XSPEC: quit
 
 
Spectral model: thermal bremsstrahlung
------------------------------------------------------------
Parameters  : value         Lower 90%    Upper 90%
kT [keV]    : 200.000       (-37.4362      -200)
Norm        : 5.32481       (-0.656548     0.656548)
------------------------------------------------------------
 Reduced chi-squared = 
 
Energy  Fluence     90% Error
[keV]   [erg/cm2]   [erg/cm2]
15- 25  1.326e-08   7.515e-09
25- 50  2.550e-08   1.407e-08
50-150  5.593e-08   3.109e-08
15-150  9.469e-08   5.235e-08
Double BB
XSPEC12>exit
 XSPEC: quit
 
 
Spectral model: bbodyrad<1> + bbodyrad<2>
------------------------------------------------------------
Parameters  : value         Lower 90%    Upper 90%
kT1 [keV]   : 9.69680        (-3.00298      3.61869)
R1^2/D10^2  : 0.439874        (-0.256756      0.469984)
kT2 [keV]   : 37.4133        (-12.0517      -37.4211)
R2^2/D10^2  : 5.71639E-03    (-0.00514935   0.0228781)
------------------------------------------------------------
 Reduced chi-squared = 
 
Energy  Fluence     90% Error
[keV]   [erg/cm2]   [erg/cm2]
15- 25  9.412e-09   5.104e-09
25- 50  2.705e-08   1.438e-08
50-150  7.296e-08   3.957e-08
15-150  1.094e-07   5.365e-08
Plot creation:
Sat Oct 18 20:18:20 EDT 2025